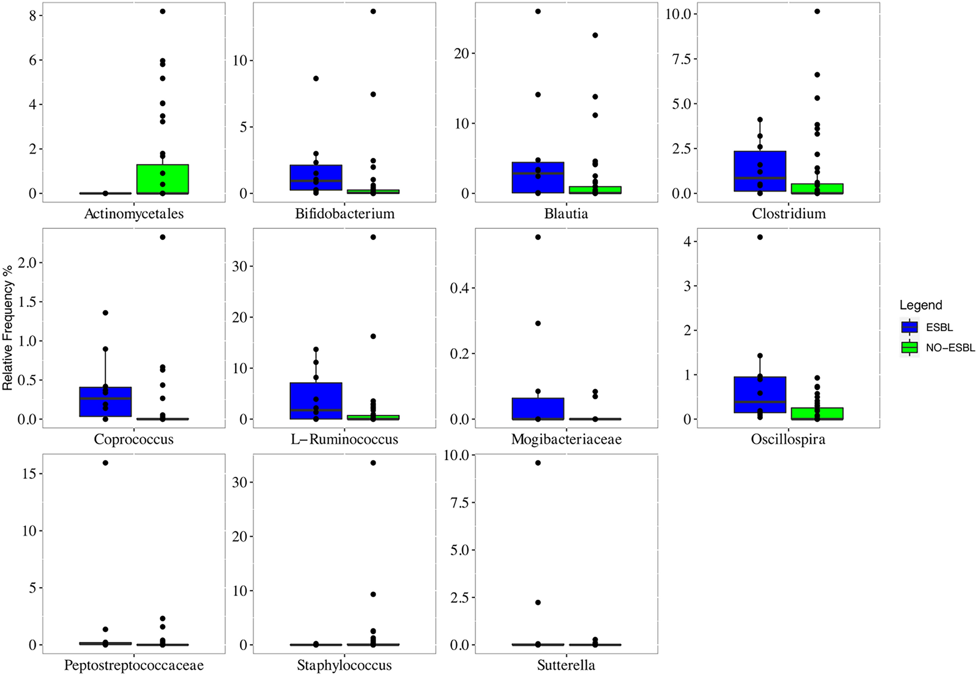
Fig. 3

Boxplots of differentially abundant ASVs in fecal samples across ESBL carriers at baseline (T0; n = 11) and non-colonized patients. ASVs frequency is obtained from ASV table summarized at the higher taxonomy resolution and testing procedure based on Wilcoxon matched pairs test (FDR < 0.05).