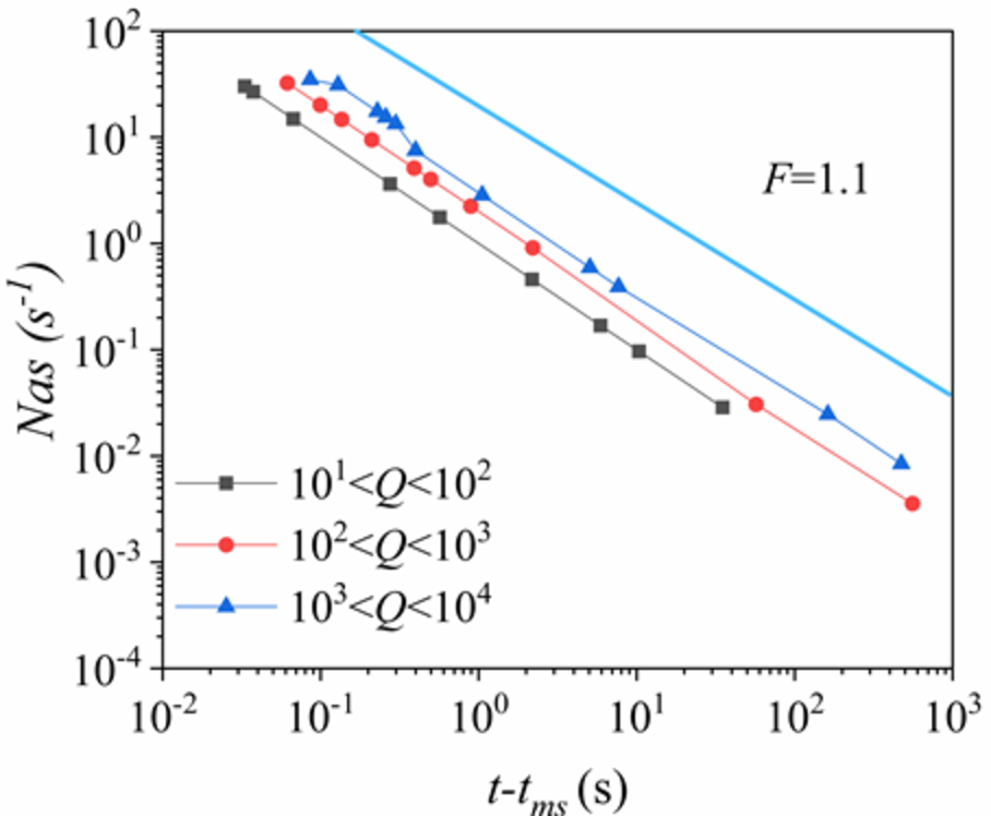
Fig. 6

Distributions of Omori-Utsu’s law in different acoustic emission energy subsets of the rock sample with a fracture length of 15 mm and a dip angle of 60°.

Distributions of Omori-Utsu’s law in different acoustic emission energy subsets of the rock sample with a fracture length of 15 mm and a dip angle of 60°.