Abstract
Seepage experiences were conducted on coal samples with diverse levels of moisture content, gas pressure, and effective stress to investigate how gas seepage in a coal seam is affected by the interaction of gas, water, and stress. The results of the study revealed the intricate relationship between these factors and their impact on the permeability and seepage behavior of coal. The findings indicate that, with increasing gas pressure, the permeability of coal specimens containing different levels of moisture varies distinctly. When coal samples have low moisture content, their permeability displays a pattern of “increase - decrease - increase” as gas pressure increases. However, with the further increase of moisture content, the “increase-decrease” trend of permeability with the increase of gas pressure disappears. The relationship between permeability and effective stress can be modeled using either a quadratic or logarithmic function. On the other hand, the connection between permeability and moisture content, can be represented by a quadratic or exponential function. At low levels of moisture content, gas pressure has the most pronounced effect on permeability of coal samples, followed by moisture content and effective stress. Conversely, at high levels of moisture content, the most influential factor is moisture content, followed by gas pressure and effective stress. Finally, a model of permeability has been developed that takes into account the collective impacts of gas pressure, moisture content, and effective stress. The research outcomes can establish a basis for optimizing gas recovery from coal seams.
Similar content being viewed by others
Introduction
Gas extraction is a crucial method for avoiding and governance gas-related disasters in colliery1,2. It is imperative to understand these factors for effective gas extraction. The seepage characteristics in the pore and fracture structure of the coal seam influence the gas occurrence state, migration law, and extraction efficiency during the gas extraction process3. Therefore, it is necessary to investigate the seepage characteristics and the effect of coal seam structure on gas seepage laws in detail. And it is highly imperative to investigate the gas seepage characteristics and develop a model for predicting permeability. This will facilitate the advancement of technology for coal seam gas extraction and ensure secure and effective mining operations.
The factors influencing gas seepage in coal seams include gas pressure, moisture content, and ground stress. Coal possesses a potent adsorption capacity towards coalbed methane (CBM). On one hand, adsorption of coalbed methane onto coal triggers the coal matrix to undergo expansion deformation4,5,6. On the other hand, the free gas compresses coal matrix, leading to compression deformation7,8. The deformation of coal matrix caused by gas pressure will affect the effective seepage channel of coal. Water in coal seams typically affects the gas seepage characteristics in coal by changing mechanical properties9,10, obstructing the channel of pores11,12 and impeding gas adsorption13,14. Ground stresses primarily compress or release the pore space in the coal body by exerting force, thereby regulating coalbed gas seepage process15,16.
Abundant research findings exist on the impact of ground stress and gas pressure on the features of coal seam gas seepage. However, there is a lack of studies on how moisture content affects these properties during coal seam gas seepage, which are also contentious. According to Hao et al.17, Bituminous coal exhibits a crucial level of moisture content, where the coal sample’s permeability rises as moisture content increases at lower levels, yet declines as moisture content rises at higher levels. Chang et al.18 conducted experiments on gas seepage using three coal samples varying in moisture content, finding that the permeability displayed significant sensitivity to moisture levels. Specifically, permeability decreased as moisture content increased. Yin et al.‘s19 findings revealed that methane’s efficient permeability decreased linearly as moisture content of the coal samples increased. According to Wei et al.20, a negative exponential relationship exists between permeability of coals and their moisture content. Frank van Bergen et al.21 carried out a research on coals of varying ranks and concluded that coals with differing metamorphic degrees exhibit areas of water sensitivity, predominantly in low water conditions. Xin et al.22 employed NMR imaging and CT to confirm that dehydration significantly improved the lignite’s permeability.
Due to the complex nature of coal reservoirs, coal seam gas migration is often the result of several combined factors. In the last few years, researchers have increasingly concentrated on studying the characteristics of gas seepage under the comprehensive influence of multiple factors, as gas migration in coal seams often occurs in multi-faceted conditions. Pan et al.23 utilized He, CO2 and CH4 in an exploration of the adsorption and seepage properties of coal seams under different levels of pore and surrounding pressure. They identified that the compressibility of variable fissures could have a substantial effect on permeability prediction. Reisabadi et al.16 modeled the stress distribution and permeability from the perspective of the radius of gas desorption from the coal seam. Salmachi et al.24 suggested that at lower effective stresses, the pore compressibility of the coal plays an important role in counteracting the swelling effect, thus increasing the permeability. Xie et al.25 conducted an analysis of the impacts of varying loading rates, gas pressures, and confining pressure on the coal’s maximum strength .They derived the evolutionary pattern of coal stress,, stress change rate, gas flow rate and gas flow change rate for various stages of deformation. Zhang et al.26 conducted a study on how the Klinkenberg phenomenon, gas pressure, and effective stress impact the radial and axial gas migration in coal. Similarly, Li et al.27 developed a modified permeability model that takes into account the effects of moisture content and gas slip. Meanwhile, Wang et al.28 developed a model for damage to permeability that considers the impacts of hydraulic interactions.
In summary, existing research offers significant insight into the impact of gas pressure, moisture content, and ground stress on seepage of gas in coal and rock. However, the correlation between permeability and moisture content within coal seams is a subject of dispute. Additionally, experimental research has primarily concentrated on examining the impact of single or dual factors on gas seepage characteristics within coal seams. There is a lack of research regarding the creation of a permeability model that considers the collective effects of moisture content, gas pressure, and ground stress. Considering the matter, experimental research on gas seepage characteristics of coal seam under different gas pressure, moisture content, and effective stress was carried out using the RLW-2000 M coal-rock triaxial rheological testing machine. The objective was to analyze the correlation between permeability, gas pressure, moisture content and effective stress in coal. And to further explore the sensitivity of permeability to effective stress, moisture content, and gas pressure. Ultimately, a model for permeability was created that accounts for the combined influences of gas, water, and stress.
Materials and methods
Materials preparation
Basic parameters of coal
The metamorphic grade of coal exerts a significant influence on the characteristics of gas seepage. In order to provide a clear illustration of the fundamental characteristics of the coal samples employed in the experiments, we have delineated the locations from which the coal was sampled and have conducted a proximate analysis of the coal.
The coal used in experiment was taken from Yuyang Coal Mine, Chongqing Songzao Coal Power Co., LTD. The initial coal sample’s moisture content(M) was 1.70%, ash content(Aad) was 25.81%, volatile dry ash-free basis(Vdaf) was 9.44%, fixed carbon(FCad) was 58.8%, and firmness coefficient(f) was 0.46. The coal was judged anthracite.
Coal samples preparation
As this coal seam is a dangerous outburst coal seam with soft coal, it is impossible to effectively obtain natural coal samples that meet the experimental specifications. In addition, the recombined coal sample has a more uniform texture and better experimental reproducibility compared to the nature coal sample, which makes it easier to compare seepage characteristics under different influencing factors. Therefore, we used reconstituted coal samples to investigate the characteristics of gas seepage in soft coal29,30. The process for preparing a reconstituted coal sample involves two main steps. Firstly, the coal is crushed and screened to obtain particles that are between 60 ~ 80 mesh in size (0.18 ~ 0.25 mm). Second, mix the sieved particles with 25 mL water, compressed and molded with a pressure of 100 MPa, then stabilized for 15 min. This produces reconstituted coal samples measuring approximately Φ50 × 100 mm in size.
The control and measurement of moisture content of the coal samples are shown in Fig. 1. The coal samples were placed in the drying baker and heated to 60 ℃. Reconstituted coal samples with various initial moisture levels were created by manipulating drying time during experimentation. Because the water will be lost during the gas seepage experiment, the water content after the end of the experiment is the final water content. Finally, the drying-weighing method (Eq. 1) was utilized to measure moisture content of coal samples post-experiment.
Where w is moisture content of sample (%), m1 is weight of sample before drying (g), m2 is weight of sample after drying (g).
The control and measurement of the moisture content of coal samples.
Experimental system and operating procedures
Experimental system
The experimental apparatus utilizes RLW-2000 M coal rock triaxial rheological testing machine, enabling automatic execution of coal rock’s uniaxial and triaxial compression experiment, seepage experiment, and creep experiment (Fig. 2). The apparatus is capable of applying axial and circumferential stresses through the servo control system. The equipment has a maximum axial load of 2000 kN with an accuracy of 0.5%. The confining pressure that can be exerted on the sample is 60 MPa, with an accuracy of 1% during measurement. The inlet and outlet CH4 gas pressure are measured through the use of gas pressure sensors, with a pressure measurement range of 0 to 20 MPa and a pressure accuracy of 2%. The test chamber temperature is controlled through the heating system, with a temperature control of 20 ℃ to 120 ℃ and a temperature control accuracy of 0.5 ℃.
RLW-2000 M coal-rock triaxial rheological testing machine.
Operating procedures
The experiment was conducted at room temperature of approximately 20 ℃, using CH4 with a purity level of 99.99%. The application of axial pressure and confining pressure, as well as data acquisition, were automated and controlled through computer technology. The operating procedures for the experiment are enumerated as follows:
-
(1)
Silica gel is uniformly spread onto the surface of reconstituted sample, followed by waiting for 15 min before inserting a heat shrink tube and heating it with a hot blower to wrap around the coal sample tightly, ensuring air-tightness around the sample while undergoing permeability testing. Upon completion of the necessary steps, the sample of coal is placed within the sample chamber and connected to the pipeline.
-
(2)
After purging air from the triaxial pressure chamber using oil, the specimen is subjected to 2 MPa of axial and confining pressure, held for over an hour. The axial pressure is loaded at 500 N/min and the confining pressure at 1 MPa/min.
-
(3)
Adjust the injection pressure of CH4 to 0.5 MPa, open the inlet and outlet valves, maintain the outlet in an open state, and release the air present in the device for 15 min. Subsequently, shut the outlet valve before adjusting the injection pressure of CH4 to 0.7 MPa.
-
(4)
After the coal sample has adsorbed and achieved balance with CH4, proceed to open the outlet valve. Once the outlet flow is basically stable, drainage and gas collection method is used to measure and record the stable flow at the outlet.
-
(5)
Gradually increase the axial, confining, and injection pressures as per the specified scheme in Table 1, and repeat step (4).
-
(6)
After conducting the seepage velocity test under complete stress and gas pressure (Table 1), the coal sample is quickly taken out and weighed. Subsequently, it is placed in a drying cabinet and subjected to continuous drying for over 4 h at a temperature of 105 ℃ (In order to obtain a completely dry coal sample and this coal sample will no longer be tested for seepage). The moisture content of the coal specimen is ascertained by calculating the variation in mass between the specimen before and after desiccation.
-
(7)
Repeat steps (1) to (6) with coal samples of other moisture content.
Method of calculating the effective stress and permeability
The Terzaghi formula is utilized to calculate the effective stress of coal samples31,32,33.
Where σ is effective stress (MPa), σz is axial pressure (MPa), σc is confining pressure (MPa).
Darcy’s law is followed during the seepage process in coal samples, where the permeability is determined using the following equation33.
Where k is permeability of coal sample (m2), A is seepage cross-sectional area of coal sample (m2), p1 is injection pressure (MPa), p2 is outlet pressure (MPa), Q is the gas flow of CH4 (m3/s), p0 is atmospheric pressure (0.1 MPa), L is the seepage length of coal sample (m), µ is gas viscosity (1.12 × 10− 11 MPa·s).
Results
Relationship between permeability of different moisture content coal samples and gas pressure
Figure 3 illustrates the correlation between permeability and gas pressure when the constant effective stress is 5.60 MPa and coal samples’ moisture content range from 0.89 to 5.10%. The permeability of coal samples generally increases with increased gas pressure. When coal samples’ moisture content are between 0.89% and 5.10%, an increase in gas pressure from 0.6 MPa to 1.8 MPa results in an increase in coal samples’ permeability of 1.156 × 10− 16 m2 (moisture content is 0.89%), 1.465 × 10− 16 m2 (2.26%), 0.191 × 10− 16 m2 (3.43%), 0.521 × 10− 16 m2 (4.79%), 0.937 × 10− 16 m2 (5.07%), and 0.442 × 10− 16 m2 (5.10%). The range of permeability growth rates is 4.0–181.9%.
Changes of coal samples permeability with gas pressure.
When coal samples have low moisture content (0.89% and 2.26%), their permeability displays a pattern of “increase - decrease - increase” as gas pressure increases. This pattern arises from the gas slippage, pore expansion and adsorption-swelling effects. The slippage effect is typically determined by the mean free path of the gas and the effective radius of the pore34,35. At lower gas pressures, the mean free path of CH4 molecules is greater than the size of the migratory pores. This allows molecular diffusion to proceed without obstruction from wall collisions, leading to enhanced permeability of the coal samples. With adsorption-swelling of coal samples, the pore radius of the coal matrix decreases as the gas pressure rises. This decrease outweighs the pore radius increase due to pore expansion from free gas, causing the effective pore radius of the coal matrix to diminish and enhancing the gas slippage effect, resulting in increased permeability of the coal samples. As gas pressure continues to increase, the higher pressure gradient significantly reduces the molecular mean free path, leading to a weakening of the gas slippage effect. Consequently, the permeability of coal samples declines with rising gas pressure. Moreover, as gas pressure further elevates, the impact of gas slippage on permeability diminishes significantly. The impact of pore expansion (due to free gas) on coal sample permeability surpasses that of adsorption-swelling, resulting in a rising permeability trend.
When the moisture content is 3.43%, coal sample’s permeability shows a “decrease - increase” trend as gas pressure increases. The presence of higher moisture content results in lower mechanical properties of coal samples9,10. Therefore, the expansion deformation is more likely to be caused by free gas in coal matrix pores. Additionally, the adsorption-swelling effect is weakened due to water occupying some of the effective adsorption sites of the gas. This weakening is evident in the increased effective radius of the coal matrix pores, resulting in reduced gas sliding effect and decreased permeability of coal samples as gas pressure increases. The promotion of permeability by pore expansion effect outweighs the inhibition of permeability by adsorption-swelling, resulting in an increase in permeability.
At moisture contents of 4.79 to 5.10%, the mechanical properties of coal deteriorate significantly because of the large amount of water. The increase in permeability resulting from pore expansion surpasses the decrease in permeability that arises from adsorption-swelling and gas slippage effect.
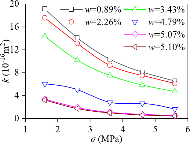
Relationship between permeability of different moisture content coal samples and effective stress
The permeability of coal samples changes with varying moisture content under different effective stress levels, as demonstrated in Fig. 4. When the effective stress is increased, the permeability decreases, albeit the magnitude of the reduction diminishes (The permeability of the coal sample with a moisture content of 4.76% fluctuates somewhat with the effective stress, but does not affect the overall pattern). For instance, when a coal sample with 3.43% moisture content experiences an effective stress increase from 1.6 MPa to 3.6 MPa (a 2.0 MPa rise), the permeability drops from 14.379 × 10− 16 m2 to 7.526 × 10− 16 m2 accounting for a 47.7% decline. Similarly, with an effective stress increase from 3.6 MPa to 5.6 MPa (a 2.0 MPa rise), the permeability decreases from 7.526 × 10− 16 m2 to 4.753 × 10− 16 m2, indicating a 36.8% reduction. Evidently, as the effective stress progressively rises, its impact on coal samples’ permeability diminishes. The initial state of coal holds a large pore space, leading to a reduction or closure of numerous pores when external stress compresses the coal. Consequently, there is a rapid decline in the coal sample’s permeability. As the external stress increases further, the pore space of coal continues to shrink, resulting in reduced ability to continue compression35. Under conditions of elevated external stress, the pores within the coal formation undergo compaction, leading to a significant reduction in compressibility and resulting in relatively stable permeability.
Relationship between permeability and effective stress under different moisture content conditions.
Based on the curve shape of Fig. 4, the experimental data was fitted with a quadratic polynomial function, an exponential function, and a logarithmic function. The corresponding findings are detailed in Table 2.
By contrast, the quadratic and logarithmic functions have a fitting accuracy greater than 0.95, and can hence effectively represent the correlation between permeability and effective stress under different moisture content. Equations (4) and (5) demonstrate this relationship.
Where a, b, c, A, B ,C are fitting coefficients.
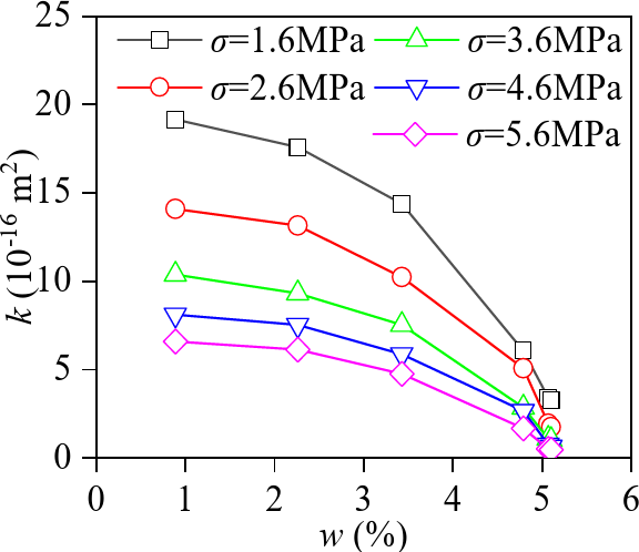
Relationship between coal samples’ permeability and moisture content under different effective stresses
Figure 5 demonstrates the correlation between the permeability of coal samples and their moisture content at varying effective stress levels. It is evident from Fig. 5 that for identical effective stress conditions, the permeability of coal samples decreases as the moisture content increases, and the extent of reduction also increases with the moisture content. This relationship deviates from the linear or negative exponential pattern reported in the literature’s experimental findings19,20. Differently, The data in Fig. 5 were fitted with quadratic polynomial function and exponential function (Table 3).
Relationship between permeability and moisture content under different effective stress conditions.
The data presented in Table 3 illustrates the correlation between coal sample moisture content and permeability at various levels of effective stress. It is evident that the relationship conforms to both a quadratic model (as described in Eq. (6)) and an exponential model (as shown in Eq. (7)), with a high coefficient of determination (R2) exceeding 0.99.
Where w is moisture content of coal samples (%), a1, b1, c1, A1, B1, C1 is the fitting coefficient.
The modifications in permeability may be ascribed to changes in coal structure deformation and porosity due to moisture levels. Water’s impact on coal primarily includes adsorption-swelling, blocking, and softening effects.
-
(1)
Adsorption-swelling effect. The absorption of water by coal samples causes “internal expansion stress”, which results in cracks reduction (or closure) and an increase in the volume of the coal matrix36. Due to external stress limitations, the coal matrix swelling into the void by overcoming the pore gas pressure, leading to a decrease in coal matrix pore space, as well as in porosity and permeability36.
-
(2)
Blocking effect. Water can block some pores and cracks. This blocks gas seepage channels and reduces permeability11.
-
(3)
Softening effect. As moisture content increases, the plastic strength of the coal samples improve and mechanical strength of the coal samples decrease9. Additionally, the adsorption-swelling of water and gas enhance pore compression, leading to decreased permeability.
The presence of water causes a decrease in permeability due to adsorption expansion, blocking and softening effects. The effects mentioned above become increasingly evident as the moisture content rises within the experimental parameters, leading to a quicker decrease in permeability.
It is evident from Fig. 5 that as moisture content increases, the permeability values become closer under varying effective stress conditions. This implies that the sensitivity of permeability to effective stress diminishes with high moisture content. This is because the softening impact of water on the coal is amplified under circumstances of high moisture content. Further, low effective stress loading drastically decreases the pore space found within the coal matrix, resulting in reduced sensitivity to permeability with any growth in effective stress.
Permeability sensitivity analysis of coal samples
To accurately demonstrate the impact of gas pressure, effective stress, and moisture content on the permeability of coal samples, a sensitivity coefficient is employed to show the level of sensitivity of coal sample permeability to these influencing parameters. The calculation method for the sensitivity coefficient is outlined in Ref.37.
Where \(\alpha\)is the permeability sensitivity coefficient, \({k_0}\)is the initial permeability of coal sample (10-16 m2), \({i_0}\)is the initial gas pressure (MPa, or effective stress (MPa), or moisture content (%)), \({i_n}\)is the n th gas pressure (MPa, or effective stress (MPa), or moisture content (%)); \({k_n}\)is the n th permeability (10–16 m2), n = 1, 2, 3….
Sensitivity of coal sample permeability to effective stress
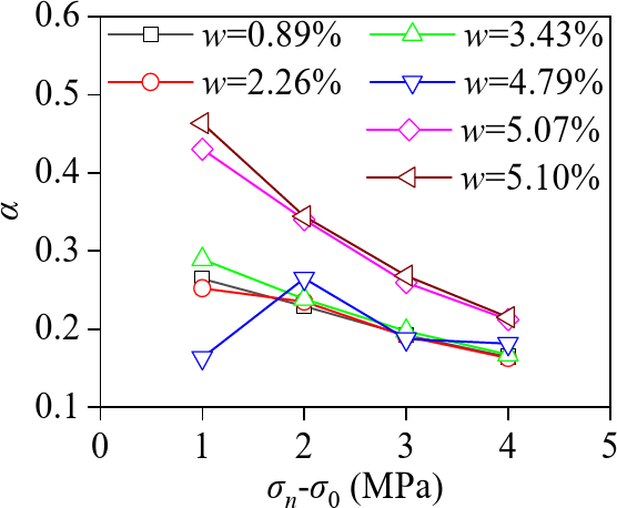
By utilizing Eq. (8), the correlation between the sensitivity coefficient of permeability and effective stress in a coal specimen under identical gas pressure conditions could be ascertained (Fig. 6). Analysis of the data in Fig. 6 revealed a consistent decline in the sensitivity coefficient of permeability for the coal sample with increasing effective stress. However, in various moisture content ranges, the coal sample exhibits different patterns of reduction in sensitivity to the permeability coefficient with increasing effective stress.
-
(1)
When the moisture content falls between 0.89 and 3.43%, the coal sample permeability exhibits a linear relationship with effective stress sensitivity (R2 > 0.97).
-
(2)
For moisture content within the range of 5.07–5.10%, the sensitive coefficient of effective stress and coal sample permeability follows a quadratic function (R2 > 0.99).
-
(3)
The large fluctuations observed in the relationship curve for the 4.79% moisture content sample can be attributed to the abrupt change in the sensitivity of permeability to moisture content, given that the 4.79% moisture content lies between the higher and lower moisture contents.
Relationship between permeability sensitivity coefficient and effective stress under the same gas pressure.
Under higher moisture content conditions, the water significantly softens the coal, lower effective stress reduction significantly reduces the pore space in coal. As effective stress increases, compression of the pore space becomes more difficult, leading to a reduced sensitivity of the coal samples’ permeability to higher effective stress.
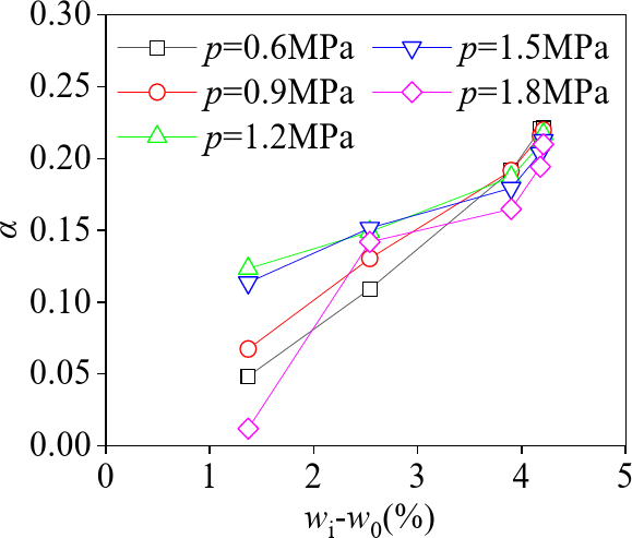
Furthermore, when the coal sample moisture content is at 0.89%, 2.26%, 3.43%, 5.07% and 5.10%, an increase in effective stress difference from 1.0 MPa to 5.0 MPa, the sensitivity coefficient of coal sample permeability to effective stress decreases by 37.9%, 35.5%, 42.1%, 50.7% and 53.6%, respectively. It is important to mention that the sensitivity of coal sample permeability to effective stress increases as the moisture content increases.
This is due to the adsorption of water on the surface of mineral particles, which makes the soluble salts and colloids hydrolyzed, resulting in weakened bonding force between mineral particles, reduced friction38, increased plasticity of the coal, and reduced compressive strength and elastic modulus.The resulted in more pronounced compression of the high-moisture-content coal matrix under the same effective stress conditions.
Sensitivity of coal sample permeability to gas pressure
The graph in Fig. 7 displays the correlation between the sensitivity coefficient of permeability in coal samples and gas pressure at consistent effective stress levels. This relationship can be divided into two clear categories.
The correlation between the sensitivity coefficient of permeability and gas pressure at consistent effective stress levels.
-
(1)
When the coal sample has a moisture content ranging from 0.89 to 4.79% and the gas pressure is increased, its permeability sensitivity coefficient fluctuates within a certain range. The sample displays weak sensitivity to gas pressure.
-
(2)
When the coal sample has a moisture content ranging from 5.07 to 5.10%, the sensitivity coefficient of permeability increases as the gas pressure increases. The coal sample exhibits a higher sensitivity to gas pressure in terms of permeability. In other words, the higher the moisture content, the stronger the impact of gas pressure on the sensitivity coefficient of permeability for the coal sample, making the permeability more responsive to changes in gas pressure.
The analysis presented indicates that the moisture content significantly impacts permeability sensitivity to effective stress and gas pressure. The sensitivity coefficient of coal permeability to gas pressure varies within a certain range at lower moisture content, and increasing with higher gas pressure at higher moisture content. On the other hand, the sensitivity coefficient of coal permeability to effective stress varies linearly and quadratically with experimental moisture content. Therefore, it is essential to study the sensitivity of coal permeability to gas pressure and effective stress in relation to varying moisture content.
The permeability sensitivity coefficient variation rule under the influence of coal sample moisture content can be determined using Eq. (8). This calculation is based on the difference in moisture content between a specific coal sample and the lowest moisture content (0.89%) recorded during the experiment. Table 4 displays the sensitivity comparison findings of the permeability of coal samples to gas pressure and effective stress across varying moisture content conditions.
Table 4 reveals that\(\overline {{\alpha (p)}}\)is substantially higher than\(\overline {{\alpha (\sigma )}}\)for varying moisture content differentials (when the moisture content differential is 4.18%,\(\overline {{\alpha (p)}}\)is marginally lower than\(\overline {{\alpha (\sigma )}}\)of 0.95%). Moreover, the gradient of gas pressure growth (0.6 ~ 1.8 MPa) is lower than effective stress growth (1.6 ~ 5.6 MPa), a lesser pressure gradient produces a more significant sensitivity to permeability. Therefore, it can be concluded that coal’s permeability is more responsive to gas pressure than to effective stress.
Sensitivity of coal sample permeability to moisture content
Sensitivity comparison of permeability to effective stress and moisture content
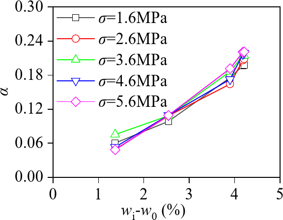
Figure 8 displays the correlation between the sensitivity coefficient of permeability and the moisture content of coal specimens under varying effective stresses. As the moisture content rises, the permeability sensitivity coefficient of coal samples increases in the form of a quadratic function (R2 > 0.98). In other words, in the range of experimental moisture content, the curve tangent slope becomes increasingly steeper as the moisture content increases, causing the permeability sensitivity coefficient of the coal sample to increase rapidly. The analysis indicates that absorption-swelling of water and the blocking effect cause this. At the low moisture content stage, the coal sample’s expansion deformation is mainly influenced by the adsorption of water, which mostly takes place at the adsorption site. Additionally, a small portion of non-adsorbed water exists in the pore space, leading to blocking. With escalating moisture levels in the coal samples, the blocking effect of water is significantly enhanced. Due to the adsorption-swelling and blocking of water, further reduce the overall permeability of coal samples at a faster pace. During this process, an extra adsorption expansion deformation caused by the softening effect of water on the coal samples exists simultaneously.
Relationship between permeability sensitivity coefficient and moisture content under different effective stress.
Figure 8 illustrates the relationship between moisture content and permeability sensitivity coefficient of coal samples at varying effective stress conditions. It shows that sensitivity coefficients for different effective stresses are similar under the same moisture content conditions, with the sensitivity coefficient of effective stress having little impact on coal sample permeability. From this, it can be inferred that coal permeability is more affected by moisture content than by effective stress.
Sensitivity comparison of permeability to gas pressure and moisture content
Figure 9 illustrates the correlation between the permeability sensitivity coefficient and the moisture content of coal samples under varying gas pressures. Under identical gas pressure, the permeability sensitivity coefficient rises with increased variance in moisture content. Combined with Fig. 9, when moisture content is low, the sensitivity coefficient is dispersed. This indicates that coal seam permeability is more influenced by gas pressure and less affected by moisture content. At higher moisture levels, the permeability sensitivity coefficient becomes closer, indicating a weak sensitivity to changes in gas pressure and a strong sensitivity to changes in moisture content.
Relationship between permeability sensitivity coefficient and moisture content under different gas pressure.
In summary, the sensitivity of coal sample permeability to gas pressure, effective stress and moisture content is affected by coupling effect, and its sensitivity can be divided into two categories: (1) When the moisture content is low, α (p) > α (w) > α (σ). (2) Higher moisture content, α (w) > α (p) > α (σ).
Most coal seams mined in China are low-permeability coal seams39. Improving permeability is a crucial aspect of China’s coal seam gas governance40. Currently, coal mines frequently implement hydraulic penetration enhancement to enhance gas permeability. And its main technologies include hydraulic fracturing, hydraulic slotting and high pressure water jet40. To improve coal seam permeability, hydraulic penetration enhancement presents an effective approach. While hydraulic penetration enhancement technology can enhance coal seam permeability by disrupting its primary structure, it also elevates the moisture content of the coal seam, leading to suboptimal long-term gas extraction results. The experimental results detailed in this study suggest that as the moisture content of the coal seam rises, its permeability becomes more responsive to changes in moisture content, emphasizing the significant impact of moisture content on coal seam permeability. Hence, it is crucial to consider draining the coal seam before gas extracting for those with using hydraulic penetration enhancement technology and high initial moisture content, in order to decrease the moisture level and enhance the efficiency of gas extraction.
Calculation model of coal sample permeability under comprehensive influence
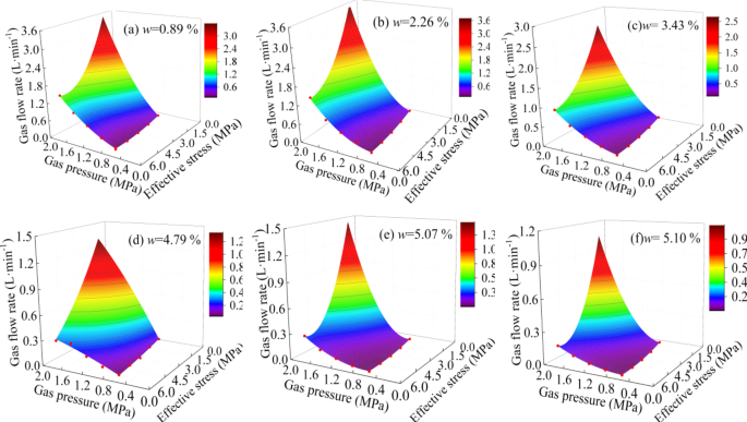
As previously stated, the correlation between permeability, effective stress, and moisture content can be delineated using quadratic functions. However, various factors such as gas slippage effect and pore expansion effect influence the correlation between gas pressure and permeability, which makes the functional relationship between the two unclear. Hence, gas flow rate instead of permeability was utilized to evaluate the influence of effective stress, gas pressure, and moisture content on seepage properties (Fig. 10).
Relationship between gas flow rate, gas pressure, moisture content and effective stress: (a) relationship between gas flow rate and gas pressure; (b) relationship between gas flow rate and moisture content; (c) relationship between gas flow rate and effective stress.
As shown in Fig. 10, the relationship curves of gas flow, gas pressure, moisture content and effective stress all have the form of quadratic function curves (except for the curves of 4.79% moisture content’s fitting accuracy is 0.95 in Fig. 9a and c, the accuracy of other curves is greater than 0.99). Since the influence of gas pressure, moisture content and effective stress on the gas seepage characteristics of coal seam is the result of coupling action, it is assumed that the multi-factor nonlinear relationship between them is:
Where \({Q_0}\)is the initial flow (m3/s), \(f(p)\)is quadratic function relations between gas flow rate and gas pressure,\(f(w)\)is quadratic function relations between gas flow rate and moisture content,\(f(\sigma )\)is quadratic function relations between gas flow rate and effective stress.
Multifactor nonlinear fitting results: (a) w = 0.89%; (b) w = 2.26%; (c) w = 3.43%; (d) w = 4.79%; (e) w = 5.07%; (f) w = 5.10%.
Figure 11 demonstrates that Eq. (9) effectively models the experimental data (R2>0.96 at 4.79% moisture content, and R2 > 0.99 for all other instances). By substituting Eq. (9) into Eq. (3), we can obtain a mathematical model for gas permeability under the combined influence of gas pressure, moisture content, and effective stress:
Where a2, a3, a4, b2, b3, b4, c2, c3 and c4 are model parameters.
The gas flow rate at the lowest gas pressure, effective stress and moisture content (p = 0.6 MPa, w = 0.89%, σ = 1.6 MPa) was taken as Q0. We used Origin data processing software to apply the experimental data to Eq. (10) to obtain the values of each fitted parameter (see Table 5), and the fitting accuracy was higher (R2 > 0.992). That is, Eq. (10) can accurately characterize the correlation between permeability, gas pressure, moisture content and effective stress.
Combining Fig. 10 and Eq. (10), we found that during the process of gas seepage, gas pressure facilitates seepage, while effective stress and moisture inhibit seepage. When f(p)×f(w)×f(σ) > 1, the coupling of gas, water and stress exerts a promoting effect on gas seepage. In the case of f(p)×f(w)×f(σ) < 1, the coupling of gas, water and stress exerts an inhibitory effect on the process of gas seepage.
Conclusions
Through a series of experiments investigating gas seepage in coal seams, we have identified the gas seepage characteristics of coal seams under the combined influences of gas, water, and stress. Subsequently, we developed a mathematical model to analyze seepage patterns. The main discoveries include:
-
(1)
The permeability of coal samples, varying in moisture content, is affected by factors such as gas slippage, pore expansion, and adsorption-swelling. Our observations revealed that at low moisture levels, the permeability of coal samples follows an “increase-decrease-increase” trend with rising gas pressure. Conversely, higher moisture levels lead to increased permeability with escalating gas pressure.
-
(2)
Under equal gas pressure and moisture conditions, the relationship between permeability and effective stress can be effectively represented by quadratic and logarithmic functions. Furthermore, when gas pressure and effective stress are constant, heightened moisture content significantly decreases coal sample permeability. The correlation between permeability and moisture content can be modeled using quadratic and exponential functions.
-
(3)
As the moisture content of the coal samples increased, the value of \(\overline {{\alpha (p)}}\) varied from 0.073 to 0.216, while that of \(\overline {{\alpha (\sigma )}}\) varied from 0.057 to 0.212. The sensitivity of coal sample permeability to gas pressure, effective stress, and moisture content is influenced by their interrelationships. At lower moisture levels, the sensitivity follows the hierarchy of α (p) > α (w) > α (σ). Conversely, at higher moisture levels, the order shifts to α (w) > α (p) > α (σ).
-
(4)
By establishing a comprehensive mathematical model (R2 > 0.99) that considers gas pressure, moisture content, and effective stress, we can accurately predict the impact of these factors on coal seam permeability.
Data availability
The data that support the findings of this study are available from the corresponding author, upon reasonable request.
References
Li, D. Hydraulic drill hole reaming technology with large flow and draining of coal mine gas. Int. J. Min. Sci. Technol. 29, 925–932. https://doi.org/10.1016/j.ijmst.2018.06.003 (2019).
Hao, C., Cheng, Y., Wang, L., Liu, H. & Shang, Z. A novel technology for enhancing coalbed methane extraction: hydraulic cavitating assisted fracturing. J. Nat. Gas Sci. Eng. 72, 103040. https://doi.org/10.1016/j.jngse.2019.103040 (2019).
Lin, B., Liu, T. & Yang, W. Solid-gas coupling model for coal-seams based on dynamic diffusion and its application. J. China Univ. Min. Technol. 47, 32–39. https://doi.org/10.13247/j.cnki.jcumt.000811 (2018).
Zhou, Y., Guan, W., Cong, P. & Sun, Q. Effects of heterogeneous pore closure on the permeability of coal involving adsorption-induced swelling: a micro pore-scale simulation. Energy 258, 124859. https://doi.org/10.1016/j.energy.2022.124859 (2022).
Czerw, K., Baran, P. & Zarębska, K. Application of the stretched exponential equation to sorption of mine gases and sorption induced swelling of bituminous coal. Int. J. Coal Geol. 173, 76–83. https://doi.org/10.1016/j.coal.2017.02.010 (2017).
Mosleh, H., Turner, M., Sedighi, M. & Vardon, J. Carbon dioxide flow and interactions in a high rank coal: permeability evolution and reversibility of reactive processes. Int. J. Greenhouse Gas Control 70, 57–67. https://doi.org/10.1016/j.ijggc.2018.01.002 (2018).
Pan, Z. & Connell, L. D. A theoretical model for gas adsorption-induced coal swelling. Int. J. Coal Geol. 69, 243–252. https://doi.org/10.1016/j.coal.2006.04.006 (2007).
Durucan, S., Ahsan, M. & Shi, J. Matrix shrinkage and swelling characteristics of European coals. Energy Procedia 1, 3055–3062. https://doi.org/10.1016/j.egypro.2009.02.084 (2009).
Zhou, K., Dou, L., Song, S., Ma, X. & Chen, B. Experimental study on the mechanical behavior of coal samples during water saturation. ACS Omega 49, 33822–33836. https://doi.org/10.1021/acsomega.1c05077 (2022).
Chen, W. et al. Aging deterioration of mechanical properties on coal-rock combinations considering hydro-chemical corrosion. Energy 282, 128770. https://doi.org/10.1016/j.energy.2023.128770 (2023).
Huang, L. et al. Effect of organic type and moisture on CO2/CH4 competitive adsorption in kerogen with implications for CO2 sequestration and enhanced CH4 recovery. Appl. Energy. 210, 28–43. https://doi.org/10.1016/j.apenergy.2017.10.122 (2018).
Meng, Z. & Li, G. Experimental research on the permeability of high-rank coal under a varying stress and its influencing factors. Eng. Geol. 162, 108–117. https://doi.org/10.1016/j.enggeo.2013.04.013 (2013).
Ge, Z. et al. Expansion deformation and permeability characteristics of bituminous coal with different moisture content after CO2 adsorption. Geoenergy Sci. Eng. 227, 211828. https://doi.org/10.1016/j.geoen.2023.211828 (2023).
Fan, K. et al. Three stages of methane adsorption capacity affected by moisture content. Fuel 231, 352–360. https://doi.org/10.1016/j.fuel.2018.05.120 (2018).
Cui, X. & Bustin, R. Volumetric strain associated with methane desorption and its impact on coalbed gas production from deep coal seams. AAPG Bull. 89, 1181–1202. https://doi.org/10.1306/05110504114 (2005).
Reisabadi, Z., Haghighi, M., Sayyafzadeh, M. & Khaksar, A. Stress distribution and permeability modelling in coalbed methane reservoirs by considering desorption radius expansion. Fuel 289, 119951. https://doi.org/10.1016/j.fuel.2020.119951 (2021).
Hao, D., Zhang, L., Ye, Z., Tu, S. & Zhang, C. Experimental study on the effects of the moisture content of bituminous coal on its gas seepage characteristics. Arab. J. Geosci. 11, 1–16. https://doi.org/10.1007/s12517-018-3758-1 (2018).
Chang, Y., Yao, Y., Liu, D., Liu, Y. & Cui, C. Behavior and mechanism of water imbibition and its influence on gas permeability during hydro-fracturing of a coalbed methane reservoir. J. Petrol. Sci. Eng. 208, 109745. https://doi.org/10.1016/j.petrol.2021.109745 (2022).
Yin, G., Jiang, C., Xu, J., Peng, S. & Li, W. Experimental study of influences for moisture content in coalbed gas reservoirs on methane seepage. Chin. J. Rock Mech. Eng. 30, 3401–3406 (2011).
Wei, J., Wei, L. & Wang, D. Experimental study of moisture content influences on permeability of coal containing gas. J. China Coal Soc. 39, 97–103. https://doi.org/10.13225/j.cnki.jccs.2013.0209 (2014).
Bergen, F., Spiers, C., Floor, G. & Bots, P. Strain development in unconfined coals exposed to CO2, CH4 and ar: effect of moisture. Int. J. Coal Geol. 77, 43–53. https://doi.org/10.1016/j.coal.2008.10.003 (2008).
Xin, F. et al. Experimental study on the change of reservoir characteristics of different lithotypes of lignite after dehydration and improvement of seepage capacity. Fuel 277, 118196. https://doi.org/10.1016/j.fuel.2020.118196 (2022).
Pan, Z., Connell, L. D. & Camilleri, M. Laboratory characterisation of coal reservoir permeability for primary and enhanced coalbed methane recovery. Int. J. Coal Geol. 82, 252–261. https://doi.org/10.1016/j.coal.2009.10.019 (2010).
Salmachi, A. et al. Experimental study of the impact of CO2 injection on the pore structure of coal: a case study from the Bowen Basin, Australia. Int. J. Coal Geol. 275, 104314. https://doi.org/10.1016/j.coal.2023.104314 (2023).
Xie, H. et al. Study on the precursor characteristics of instability failure of gas-bearing coal based on stress and gas seepage volume. Geofluids 202 https://doi.org/10.1155/2022/4474243 (2022).
Zhang, L., Hao, D., Ye, Z., Zhang, C. & Chen, S. Experimental study of gas pressure and effective stress influencing on gas seepage characteristics of bituminous coal in both axial and radial directions. Int. J. Oil Gas Coal Technol. 22, 527–553. https://doi.org/10.1504/ijogct.2019.103505 (2019).
Li, J. et al. A permeability model for gas flow in coal considering the water content and slippage effect. Int. J. Petrol. Eng. 3, 305–329. https://doi.org/10.1504/IJPE.2020.116235 (2020).
Wang, Z. et al. A permeability model for coal based on elastic and plastic deformation conditions under the interaction of hydro-mechanical effects. J. Petrol. Sci. Eng. 212, 110209. https://doi.org/10.1016/j.petrol.2022.110209 (2022).
Niu, Q. et al. The adsorption-swelling and permeability characteristics of natural and reconstituted anthracite coals. Energy 141, 2206–2217. https://doi.org/10.1016/j.energy.2017.11.095 (2017).
Liu, Q. et al. Experimental observations of matrix swelling area propagation on permeability evolution using natural and reconstituted samples. J. Nat. Gas Sci. Eng. 34, 680–688. https://doi.org/10.1016/j.jngse.2016.07.035 (2016).
Terzaghi, K. Principles of soil mechanics. Eng. News Rec. 95, 874–878 (1925).
Terzaghi, K. Principles of soil classification. Am. Soc. Civil Eng. 8, 41–53 (1927).
Harpalani, S. & Schraufnagel, R. A. Shrinkage of coal matrix with release of gas and its impact on permeability of coal. Fuel 69, 551–556. https://doi.org/10.1016/0016-2361(90)90137-F (1990).
Zang, S., Sang, Q. & Dong, M. Experimental study of pressure sensitivity in shale rocks: effects of pore shape and gas slippage. J. Nat. Gas Sci. Eng. 89, 103885. https://doi.org/10.1016/j. jngse.2021.103885 (2021).
Li, B. et al. Coal seepage mechanism effected by stress and temperature. J. China Univ. Min. Technol. 49, 844–855. https://doi.org/10.13247/j.cnki.jcumt.001183 (2020).
Zhang, Y. et al. Swelling effect on coal micro structure and associated permeability reduction. Fuel 182, 568–576. https://doi.org/10.1016/j.fuel.2016.06.026 (2016).
Geng, Y. et al. Experimental study on permeability stress sensitivity of reconstituted granular coal with different lithotypes. Fuel 202, 12–22. https://doi.org/10.1016/j.fuel.2017.03.093 (2017).
Jiang, Y. Coupling Seepage Characteristics of Loaded coal Containing gas and Water. Ph.D, China University of Mining and Technology, 56–62 (2018).
Xu, X. Combined permeability enhancement technology of ultra-high pressure hydraulic slot and hydraulic fracturing in low permeability coal seam. Coal Sci. Technol. 48, 311–317. https://doi.org/10.13199/j.cnki.cst.2020.07.034 (2020).
Qin, D., Zhu, H., Zhang, M., Shen, J. & Yang, C. Application and research on seam hydraulic fracture permeability improvement technology. Coal Sci. Technol. 41, 79–81. https://doi.org/10.13199/j.cst.2013.05.89.qindx.010 (2013).
Acknowledgements
We are grateful for the important support from the National Natural Science Foundation of China (No. 51704147), the Scientific Research Fund of Liaoning and Hunan Provincial Education Department (No. LJKZ0345, 21A0572), and the National Natural Science Foundation of Hunan Provincial (No. 2021JJ30206).
Author information
Authors and Affiliations
Contributions
Z.Z. conceived the study, also review and editing the manuscript, C.T. and Y.C. collected and analyzed the data, wrote the original draft, H.Z. and Y.C. collected the primary data, Y.Z. review and editing the manuscript. All authors have read and agreed to the published version of the manuscript.
Corresponding author
Ethics declarations
Competing interests
The authors declare no competing interests.
Additional information
Publisher’s note
Springer Nature remains neutral with regard to jurisdictional claims in published maps and institutional affiliations.
Rights and permissions
Open Access This article is licensed under a Creative Commons Attribution-NonCommercial-NoDerivatives 4.0 International License, which permits any non-commercial use, sharing, distribution and reproduction in any medium or format, as long as you give appropriate credit to the original author(s) and the source, provide a link to the Creative Commons licence, and indicate if you modified the licensed material. You do not have permission under this licence to share adapted material derived from this article or parts of it. The images or other third party material in this article are included in the article’s Creative Commons licence, unless indicated otherwise in a credit line to the material. If material is not included in the article’s Creative Commons licence and your intended use is not permitted by statutory regulation or exceeds the permitted use, you will need to obtain permission directly from the copyright holder. To view a copy of this licence, visit http://creativecommons.org/licenses/by-nc-nd/4.0/.
About this article
Cite this article
Zhang, Z., Tang, C., Chen, Y. et al. Experimental investigation of gas seepage characteristics in coal seams under gas-water-stress function. Sci Rep 15, 1758 (2025). https://doi.org/10.1038/s41598-025-85265-y
Received:
Accepted:
Published:
Version of record:
DOI: https://doi.org/10.1038/s41598-025-85265-y
Keywords
This article is cited by
-
Mining-induced stress–gas permeability characteristics based on protective layer pressure-relief mining
Scientific Reports (2025)













