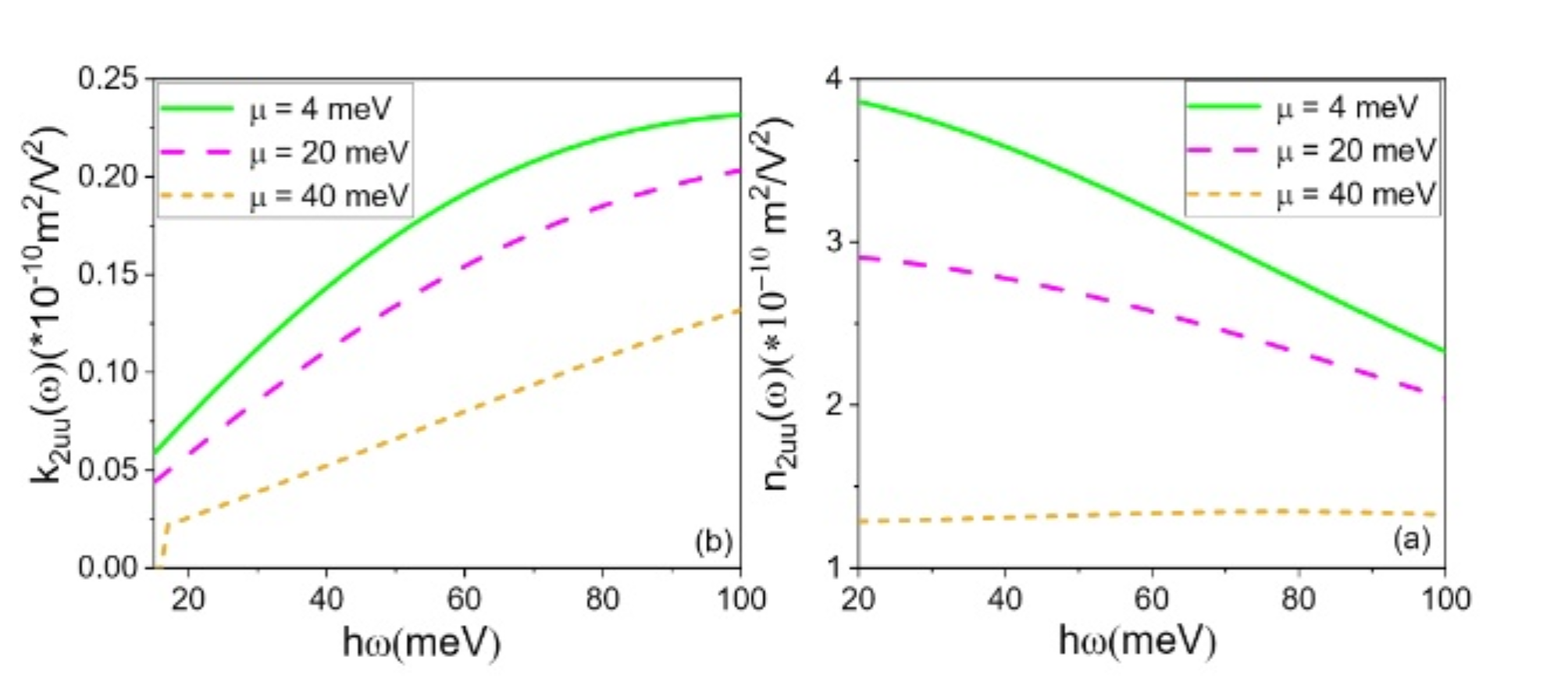
Fig. 9

(a) The complex nonlinear refractive index \(\:{n}_{2}\) and (b) the complex nonlinear extinction coefficient \(\:{k}_{2}\) in u direction as function of incident photon energy for three values of the chemical potential.

(a) The complex nonlinear refractive index \(\:{n}_{2}\) and (b) the complex nonlinear extinction coefficient \(\:{k}_{2}\) in u direction as function of incident photon energy for three values of the chemical potential.