Abstract
We present a comprehensive analysis of the optical attributes of graphene sheets with charge carriers residing on a curved substrate. In particular, we focus on the fascinating case of Beltrami geometry and provide an explicit parametrization for this curved two-dimensional surface. By employing the massless Dirac description that is characteristic of graphene, we investigate the impact of the curved geometry on the optical properties within the sample. Our findings reveal that the optical properties of the system are highly sensitive to several key factors, namely the Beltrami radius, surface radius, chemical potential and relaxation time. The numerical findings demonstrate that the optical characteristics of Beltrami-shaped graphene differ significantly from those of regular graphene due to the curved geometry. This distinction opens up exciting possibilities for exploring new optical phenomena and designing graphene-based devices with customized optical properties.
Similar content being viewed by others
Introduction
The discovery of graphene and topological insulators (TIs) has sparked significant interest in Dirac fermion systems. Graphene, in particular, has gained recognition for its exceptional electronic and optical characteristics which arise from the presence of two-dimensional (2D) Dirac fermions within its electronic structure1,2.
These properties include tunable optical conductivity, strong light confinement and exceptionally high electrical mobility. The 2 + 1-dimensional massless Dirac quasiparticles in graphene exhibit an exceptional optical nonlinearity spanning a wide frequency range, including far infrared, terahertz and near infrared3,4,5,6,7,8. Various experimental techniques, such as four-wave mixing (FWM)9, self-phase modulation (SPM)10and Z-scan measurements11,12,13 have been employed to determine graphene’s nonlinear optical coefficient estimated to be around n2 = 10−11−10−15 m2/W within the visible and telecommunication spectrum. The study of graphene’s unique properties has not only deepened our understanding of condensed matter physics but also opened up possibilities for exploring novel phenomena and applications in various fields, including electronics, optoelectronics, photonics, and quantum information science.
The formulation of graphene’s physics using tight-binding models or a 2D Dirac equation, has established a strong connection between condensed matter physics and fields such as quantum electrodynamics, quantum field theory, and cosmology. This connection has provided insights into the fundamental aspects of quantum mechanics and relativistic physics, bridging the gap between condensed matter systems and theories that govern the behavior of particles in high-energy physics and cosmological contexts14,15,16.
Graphene, typically viewed as a 2D flat surface, can exhibit ripples that arise either intrinsically within the material17,18or due to substrate roughness19,20. These ripples introduce deviations from a perfectly flat surface. Exploring the impact of these ripples on the electronic properties of graphene has led researchers to consider quantum field theory in curved spaces21as a promising framework. In the study of the 2 + 1 dimensional Dirac equation, which describes the behavior of relativistic-like quasi-particles in graphene, various types of curved space-time geometries have been investigated22,23,24,25. These geometries are described by appropriate metrics, and they serve as a means to understand the quantum behavior of graphene’s quasi-particles. To model graphene ripples, the metric that characterizes the space-time geometry can be treated as a smooth perturbation of the flat metric. Often, the final outcome can be interpreted as solving a flat Dirac equation in the presence of a potential induced by the curvature26.
By considering the curved space-time formalism, researchers can gain insights into how ripples in graphene affect its electronic properties. These investigations provide a deeper understanding of the interplay between curvature and graphene’s relativistic-like quasi-particles, offering valuable knowledge for the design and optimization of graphene-based devices and systems. The knowledge gained from studying the interplay between curvature and graphene’s quasi-particles can have several potential applications such as strain engineering, nanoelectromechanical systems, topological electronics, energy harvesting and storage and novel material design. These are just a few examples of the potential applications that can arise from studying the interplay between curvature and graphene’s quasi-particles. It’s worth noting that Beltrami-shaped graphene is a specific deformation pattern of graphene and there are various other ways to deform or manipulate graphene’s geometry, each with its own unique characteristics and potential applications.
Beltrami-shaped graphene refers to a type of graphene structure that exhibits a specific geometric shape known as a Beltrami pseudosphere. The curvature of the graphene sheet in the form of a Beltrami pseudosphere can alter its electronic properties22,27,28.
Beltrami-shaped graphene structures have attracted attention due to their potential for engineering graphene’s electronic properties and exploring novel physics arising from curvature effects. They offer opportunities for designing graphene-based devices with tailored functionalities, such as strain sensors29,30, flexible electronics31,32, and devices exhibiting topological properties33,34. It should be mentioned that creating controlled and reproducible Beltrami-shaped graphene structures can be technically demanding.
The optical Kerr effect and third harmonic generation are two nonlinear optical phenomena that occur in various materials including graphene. The optical Kerr effect is a nonlinear optical phenomenon where the refractive index of a material changes in response to the intensity of incident light. In the case of graphene, the strong optical nonlinearity arising from the presence of Dirac fermions leads to a significant Kerr effect. The nonlinear response of graphene to intense light enables applications such as all-optical switching, optical modulation, and ultrafast optical signal processing. Third harmonic generation (THG) is a nonlinear optical process that involves the generation of a new optical frequency that is three times the frequency of the incident light. It occurs when a material exhibits a nonlinear response to intense light, resulting in the emission of light at triple the frequency.
Graphene’s nonlinear optical properties enable efficient third harmonic generation. When intense light interacts with graphene, the nonlinear polarization induced by the intense electric field leads to the emission of light at the third harmonic frequency. This phenomenon has applications in frequency conversion, nonlinear microscopy, and generation of coherent light sources at higher frequencies.
In a recent pilot study35, the semiclassical third-order nonlinear intraband optical conductivity of 3D massless Dirac fermions were investigated using perturbative Boltzmann transport theory, revealing the superior Kerr nonlinearity and nonlinear switching performance of topological Dirac semimetals. In Ref36, authors investigated the nonlinear optical conductivities of massless Dirac fermions in the quantum mechanical interband regime37,38,39,40,41,42. Their focus was essentially on investigating technologically important nonlinear phenomena specifically the third-order optical Kerr effect and high-harmonic generation (HHG) effects in flat graphene. They also calculated the corresponding nonlinear coefficients to gain a comprehensive understanding of these nonlinear optical processes.
In this examinative research study, we employ a quantum field theory approach to investigate the impact of out-of-plane deformations on the linear and nonlinear optical susceptibilities. Specifically, we consider curved graphene with a Beltrami pseudosphere geometry. We explore how the presence of out-of-plane deformations affects the optical properties of Beltrami-shaped graphene. This innovative differentiation offers promising avenues for investigating novel optical phenomena and developing graphene-based devices with tailored optical characteristics.
Theoretical model and calculations
Dirac equation
In this section, we will introduce the formalism for the massless Dirac equation within the framework of a (2 + 1)-dimensional curved graphene spacetime. Curved graphene structures can be regarded as 2D systems that exhibit pseudo-relativistic behavior. When dealing with long wavelengths, these structures can be effectively described by a massless Dirac action. By applying the principle of least action and varying this action, we can derive the equations of motion governing the behavior of pseudo-relativistic Dirac spinors, denoted as ψ24,43. Furthermore, the curvature of the graphene spacetime can be seen as an effective potential that affects the fermions, resulting in modifications to the partial derivatives in the Dirac equation. These modifications capture the impact of spacetime curvature on the dynamics of the fermionic particles. The derivation of the two-dimensional Dirac spinors involves solving the massless Dirac equation within this framework. In the context of (2 + 1) dimensions, the massless Dirac equation can be expressed as follows:
where \(\:{\Gamma}^{\mu}\) are the (2 + 1)-dimensional gamma matrices, \(\:{D}_{\mu\:}\) denotes the covariant derivative while ψ denotes the Dirac spinor. When considering the curved graphene spacetime, which exhibits nontrivial curvature, modifications to the covariant derivative become necessary. These modifications are introduced to accommodate the influence of spacetime curvature on the behavior of the Dirac spinors.
By establishing the formalism of the massless Dirac equation and solving it within the (2 + 1)-dimensional curved graphene spacetime, we can attain a more profound comprehension of the behavior and characteristics of graphene in a curved environment. This framework allows us to explore the effects of spacetime curvature on the dynamics of graphene and provides insights into its behavior under such conditions.
In this equation, the Dirac matrices in curved spacetime are represented as:
Here, the “vielbein” \(\:{e}_{A}^{\mu\:}\) establishes a local Lorentzian frame, enabling the expression of the spacetime interval as:
Here, \(\:{\eta\:}_{AB}\) = diag(1, − 1, −1)) represents the Minkowski metric. The Dirac matrices are represented as follows:
where \(\:{\sigma\:}_{i}\) are the Pauli matrices.
The covariant derivative under diffeomorphisms is defined as:
where \(\:{\sigma\:}_{AB}=\)\(\:\frac{1}{2}\:[{\gamma\:}_{A},\:{\gamma\:}_{B}]\), and the spin connection is articulated in the following manner :
In the following subsection we will introduce the 3D Beltrami pseudosphere with the explicit parametrization in terms of surface coordinates.
Beltrami spacetime
The Beltrami pseudosphere is a bidimensional surface (Fig. 1) with following explicit parameterization22,27;
The surface radius is defined by \(\:r=\text{exp}\left(\frac{u}{R}\right)\) and is restricted to the interval \(\:\left[0,R\right].\)
The vielbein is easily found to be22 :
And the non-vanishing components of spin connection \(\:{w}_{\mu\:}^{AB}\)are detailed in22 :
Our current objective is to obtain explicit solutions for the Dirac fields in curved space that satisfy Eq. (1), representing relativistic pseudoparticles moving on a Beltrami surface22,27;
Where \(\:{\phi\:}_{A}\) and \(\:{\phi\:}_{B}\) are mathematically formulated as below :
Here \(\:{I}^{(\pm\:)}\:\) are the modified Bessel function of the first kind. In addition, the quantization condition is articulated as :
In Eq. (13) the notation \(\:n\) signifies the integer number while R is the maximal radius of circle.
Beltrami pseudosphere plot for \(\:{\upphi\:}\:{\epsilon}\:\left[0,\:2{\uppi\:}\right].\)
Optical properties
Now we can inspect some optical and measurable attributes of a graphene curved surface where charge carriers are defined by a massless Dirac spectrum. In particular, we are interested in studying the optical conductivity of a graphene sheet and obtaining the linear and nonlinear susceptibilities.
The optical response of the Dirac fermions is described by the dynamic conductivity tensor44:
Here \(\:\alpha\:\:\)and \(\:\beta\:\) denote \(\:u\) and \(\:\phi\:\:\)coordinates, \(\:\omega\:\) presents the frequency of the incident electromagnetic wave, g is the degeneracy factor, \(\:e\) is the charge of electron, \(\:{\widehat{v}}_{j}=i\left[\widehat{H},x\right]\:\)is the velocity operator in which\(\:\:\left(x=u,\phi\:\right)\:\)and\(\:\:j=(\:\alpha\:,\:\beta\:)\). In addition, \(\:<\varPsi\:(u,\phi\:,s)|\) and \(\:\left|\varPsi\:\right(u,\phi\:,s{\prime\:})>\) show the initial and the final electron states, \(\:{f}_{ns}=\frac{1}{1+\text{e}\text{x}\text{p}\left(\frac{{\epsilon\:}_{ns}-\mu\:}{{k}_{B}T}\right)}\) is the equilibrium Fermi-Dirac distribution function with the chemical potential \(\:\mu\:\) and temperature T and \(\:\tau\:\) is the relaxation time, \(\:{\epsilon\:}_{ns}=sk\:\text{a}\text{n}\text{d}\:k=\sqrt{{k}_{\phi\:}^{2}+\:{k}_{u}^{2}}\). The interband optical conductivities can be straightforwardly obtain for s = −1 (conduction band) and the s = + 1 (valence band).
In order to show the optical response, optical susceptibilities are evaluated by referring to34:
where \(\:n\:=\:1,\:3\) for Kerr and HHG process, respectively. The third-order optical conductivity is composed of two terms: the single-frequency Kerr term \(\:{\chi\:}^{\left(3\right)}\left(\omega\:\right)\)and the triple-frequency high-harmonic generation (HHG) term \(\:{\chi\:}^{\left(3\right)}\left(3\omega\:\right)\).
To determine the intraband conductivity, we will solve the Boltzmann equation as stated in45. By considering the relevant scattering mechanisms and solving the Boltzmann equation, we can obtain insights into the intraband transport properties and conductivity of graphene.
The nth-order nonlinear distribution function f, can be written as45:
Next, we study the complex nonlinear refractive index, \(\:{n}_{2}\), and the complex nonlinear extinction coefficient, \(\:{k}_{2}\), using the following relations35:
In these equations, \(\:c\) represent the speed of light, \(\:{\chi\:}_{R}^{\left(3\right)}\) represents the real part of the third-order nonlinear susceptibility and \(\:{\chi\:}_{I}^{\left(3\right)}\)represents the imaginary part.
Results and discussions
In this section, we report the main results of Kerr and HHG in Beltrami curved graphene structure.
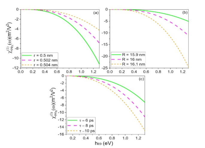
Figure 2 shows the real part of linear intraband susceptibility \(\:{\chi\:}_{\phi\:\phi\:}^{\left(1\right)}\) vs. the incident photon energy for three values of (a) beltrami radius r, (b) surface radius R, and (c) relaxation time \(\:\tau\:\). We further investigate the dependence of the \(\:r,\:R\:,\)\(\:\tau\:\) and \(\:\mu\:\:\)on parameter\(\:{\chi\:}_{{\phi\:\phi\:}_{I}}^{\left(1\right)}\) in Fig. 3. It is observed that both the real and the imaginary parts of \(\:{\chi\:}_{\phi\:\phi\:}^{\left(1\right)}\) strongly depends on these parameters. They increase as \(\:R\) and \(\:\tau\:\:\)increase, while decrease as \(\:r\)increases. In Beltrami-shaped graphene, the Beltrami radius refers to the characteristic radius of curvature of the curved substrate on which the graphene sheet is placed. The Beltrami radius holds a core function in shaping the electronic atttributes and optical response of the material including its Kerr effect and linear susceptibility45,46,47,48.
The real part of linear interband susceptibility \(\:{\chi\:}_{\phi\:\phi\:}^{\left(1\right)}\)versus the incident photon energy for three values of (a) beltrami radius r, (b) surface radius R, and (c) relaation time \(\:\tau\:\) at T = 300K and \(\:\mu\:\) = 0.08eV along the \(\:\phi\:\)-direction.
The specific impact of the Beltrami radius on the Kerr effect in linear susceptibility would require a detailed theoretical analysis or experimental investigation specific to this geometry49,50,51,52. As the Beltrami radius decreases, the curvature of the substrate becomes more pronounced. This increased curvature can lead to stronger modification of the electronic band structure and density of states, potentially resulting in a more significant impact on the Kerr effect in linear susceptibility. In addition, the curvature-induced geometric confinement in Beltrami-shaped graphene can alter the electronic wavefunctions and their spatial distribution. This confinement effect may lead to changes in the carrier dynamics and optical response, potentially influencing the Kerr effect in the linear susceptibility. More than, the combination of the graphene’s intrinsic quantum confinement and the curvature-induced geometric confinement can give rise to unique electronic attributes. This quantum confinement effect can affect the energy spectrum and wavefunction characteristics which in turn can influence the Kerr effect in linear susceptibility53,54,55,56.
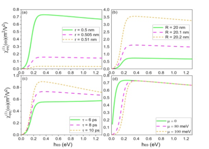
The imaginary part of linear interband susceptibility versus the incident photon energy for three values of (a) beltrami radius r, (b) surface radius R, (c) relaxation time \(\:\tau\:\) and (d) chemical potential \(\:\mu\:\) at T = 300K along the \(\:\phi\:\)-direction.
The surface radius plays a crucial role in determining the electronic and optical properties of the material, including its Kerr effect and linear susceptibility.
The real and imaginary parts of Kerr effect in nonlinear susceptibility \(\:{\chi\:}_{\phi\:\phi\:}^{\left(3\right)}\left(\omega\:\right).\) as a function of the incident photon energy for three values of (a) beltrami radius r, (b) surface radius R, (c) relaxation time \(\:\tau\:\) and (d) chemical potential \(\:\mu\:\) at T = 300K along the \(\:\phi\:\)-direction.
The real and imaginary parts of Kerr effect vs. the incident photon energy for three values of (a) r radius, (b) R radius, (c) relaxation time and (d) chemical potential are plotted in Fig. 4. As expected, these parameters can effectively control the values of\(\:{\chi\:}_{\phi\:\phi\:}^{\left(3\right)}\left(\omega\:\right).\)It is apparent that the surface radius of Beltrami-shaped graphene significantly impacts its electronic attributes. As the curvature increases, the degree of geometric confinement experienced by charge carriers grows leading to quantum confinement effects that alter the electronic wavefunctions and energy levels. These modifications can impact the electronic response and, consequently, the Kerr effect in the linear susceptibility. The chemical potential plays a crucial role in determining the linear susceptibility of graphene. It sets the position of the Fermi level, affecting the availability of electronic states for interband transitions and influencing the carrier concentration. These metrics, in turn, impact the optical response and linear susceptibility of the material. The relaxation time also affects the linear susceptibility. A longer relaxation time implies slower decay of excited states, leading to a more persistent induced polarization and a stronger response to an applied electric field. In summary, the linear susceptibility of Beltrami-shaped graphene is influenced by a complex interplay of geometric confinement, chemical potential and relaxation time. Understanding these factors is essential for designing and optimizing graphene-based devices with tailored optical properties57,58,59,60.
In addition, we should mention that the surface radius of Beltrami-shaped graphene modulates the Kerr effect and high harmonic generation by influencing the curvature-induced changes in the electronic band structure, carrier dynamics and light-matter interactions.
From the Fig. 5, it is evident that the geometric constraints and quantum confinement imposed by the Beltrami radius influence the resonance frequencies and harmonic amplitude in HHG. The surface radius further affects the spatial confinement of electron wave functions leading to shifts in the photon energy required for HHG and modifying the spectral response. The relaxation time (τ) determines the linewidth.
of the harmonic peaks, with longer τ values resulting in sharper peaks and shorter values causing broader features. Variations in the chemical potential (µ) shift the energy levels and electronic populations, altering the nonlinear interaction strength and affecting both the amplitude and position of the HHG peaks. These combined effects of r, R, τ and µ create a complex and tunable nonlinear optical response in HHG, highly sensitive to the incident photon energy.
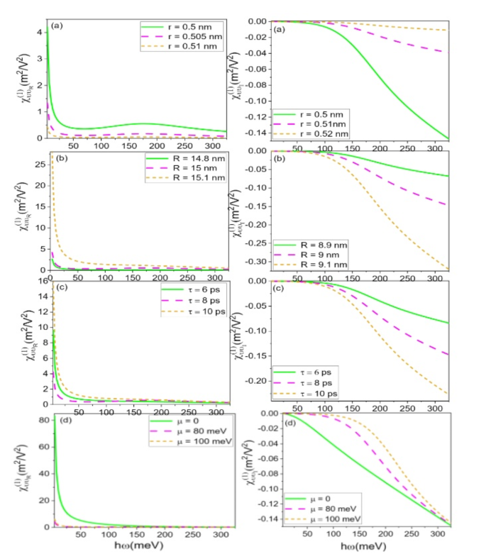
The real and imaginary parts of HHG in nonlinear susceptibility as a function of the incident photon energy for three values of (a) beltrami radius r, (b) surface radius R, (c) relaxation time \(\:\tau\:\) and (d) chemical potential \(\:\mu\:\) at T = 300K along the \(\:\phi\:\)-direction.
The real and imaginary parts of linear susceptibility versus the incident photon energy for three values of (a) beltrami radius r, (b) surface radius R, (c) relaxation time \(\:\tau\:\) and (d) chemical potential \(\:\mu\:\) at T = 300K along the \(\:u\)-direction.
As shown in Fig. 6, for different values of the beltrami radius, the curvature of the system modifies the quantum confinement which leads to shifts in resonance peaks in both real and imaginary parts. The surface radius sensitively affects the spatial distribution of the electron wave functions which in turn impacts the optical response by adjusting the energy spacing between electronic states. Changes in relaxation time influence the broadening of spectral lines. In fact with larger τ values we get a reducing damping effects and sharpening the peaks while shorter τ values increase broadening. Finally, variations in the chemical potential alter the population of electronic states thereby shifting the energy range over which the material responds to the incident photon energy affecting the susceptibility’s amplitude and peak positions61,62,63,64. In addition, as shown in the plot, (r, R and ) can effectively control the HHG.
Meanwhile, chemical potential plays a minor role and by changing the \(\:\mu\:\) from 0 to 100meV, both the real and imaginary parts \(\:{\chi\:}^{\left(3\right)}\)(\(\:\omega\:)\) change very slightly. A longer relaxation time can enhance HHG as it allows for a more extended interaction time between the material and the laser field, resulting in a higher efficiency of harmonic generation. Both the Kerr term and the HHG term contribute to the overall behavior of the third-order optical conductivity and play significant roles in nonlinear optical phenomena. Understanding and characterizing these terms are important for applications such as nonlinear optics, frequency conversion and the generation of coherent radiation at high harmonics.
The real and imaginary parts of Kerr effect in nonlinear susceptibility versus the incident photon energy for three values of (a) beltrami radius r, (b) surface radius R, (c) relaxation time \(\:\tau\:\) and (d) chemical potential \(\:\mu\:\) at T = 300K along the \(\:u\)-direction.
The Kerr effect, a nonlinear optical phenomenon, is crucial for a wide range of applications65,66,67,68. In nonlinear optics, it enables the generation of new frequencies and the manipulation of light intensity. In ultrafast laser pulse shaping, the Kerr effect can be used to compress or stretch laser pulses allowing for precise control over their temporal profiles. All-optical switching, a technique for controlling optical signals with other optical signals, relies on the Kerr effect to induce changes in the refractive index of a material. Optical signal processing, which involves manipulating and processing optical signals, can benefit from the Kerr effect for tasks such as wavelength conversion, modulation and demultiplexing. By carefully controlling the Kerr term in the third-order optical conductivity, researchers can tailor the nonlinear optical response of materials to suit specific applications. This enables the design and development of novel devices with enhanced functionalities, such as ultrafast optical switches, optical modulators, and nonlinear optical frequency converters. By analyzing the Fig. 7, we clearly confirm that all the real parts exhibit strong sensitivity to the mentioned factors. Indeed, as r, R and τ increase, the real part broadens and shows a strong response with negative values. The effect of the chemical potential is quite the opposite, where an increase in this metric is accompanied by a decrease in the real part.
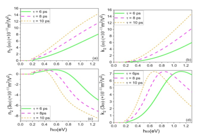
(a), (c) The complex nonlinear refractive index and (b), (d) the complex nonlinear extinction coefficient along the - direction versus the incident photon energy for three values of the relaxation time.
The imaginary part is also significantly influenced by the decisive metrics, but this specific response is of lower intensity when compared to the real part. For the same variation ranges, the curves of the imaginary parts are closer to one another. The Beltrami geometry can also induce strain and deformation in the graphene lattice, especially at smaller radii. These strain and deformation effects can further influence the electronic and phononic properties of the material which can in turn heavily impact the nonlinear optical response and the optical Kerr effect.
In Fig. 8, both \(\:{n}_{2}\) and \(\:{k}_{2}\) coefficients of the Kerr and HHG processes in the \(\:\phi\:\) -direction are presented.
The cross-over from positive-valued at low energies to negative-valued at high energies occurs for HHG process in complex nonlinear refractive index \(\:{n}_{2}\) [see Fig. 8(c)]. Both \(\:{n}_{2}\) and \(\:{k}_{2}\) behave rather differently between the Kerr [Fig. 8(a) and 8(b)] and the HHG process [Fig. 8(c) and 8(d)]. Meanwhile, relaxation time can effectively control the \(\:{n}_{2}\) and \(\:{k}_{2}\) magnitudes. More importantly, n₂ and k₂ of first order increase as the incident pump photon energy rises and in parallel with increased τ. For n₂ and k₂ of third-order, the response is more complicated, as we first observe an increase, then all the curves show an extremum, followed by a gradual decrease.
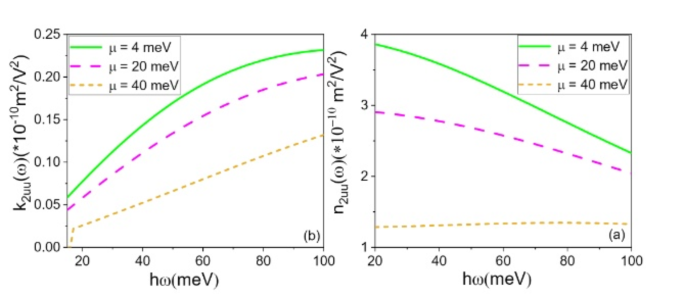
To conclude our quantitative exploration, we have identified the significant impact of chemical potential in the behavior of n2 and k2. Figure 9 illustrates the major outcomes.
(a) The complex nonlinear refractive index \(\:{n}_{2}\) and (b) the complex nonlinear extinction coefficient \(\:{k}_{2}\) in u direction as function of incident photon energy for three values of the chemical potential.
As expected, both \(\:{n}_{2}\) and coefficients associated to the Kerr effect in the \(\:u\) -direction for three different values of the chemical potential are heavily impacted. As chemical potential increases, both and \(\:{k}_{2}\) decrease while as incident photon energy increases, \(\:{n}_{2}\) decreases and \(\:{k}_{2}\) increases. This behavior suggests that higher chemical potential leads to increased electronic energy levels, which may result in reduced nonlinear interactions related to the Kerr effect. The decrease in n2 implies that the material’s ability to refract light nonlinearly diminishes while the reduction in k2 indicates a lower degree of light absorption or extinction at these higher energy levels. The decrease in n2 with increasing photon energy may be attributed to enhanced electronic transitions that lead to a reduced refractive response of the medium. On the other hand, the increase in k2 suggests that at higher photon energies, the material becomes more effective at absorbing light likely due to the resonance effects and enhanced interaction with the incident photons.
Conclusion
Our research offers a comprehensive understanding of the optical attributes of graphene sheets on curved substrates, particularly focusing on Beltrami geometry. We demonstrated that the optical response of Beltrami-shaped graphene is tunable due to structural deformations. By controlling the curvature or strain distribution, we can effectively modify its optical aspects. Additionally, we derive an analytical solution for the pseudoparticle modes on such a curved surface. Using the massless Dirac description characteristic of graphene, we explore how the curved geometry influences the electronic properties within the sample. Our findings revealed a high sensitivity of the optical properties to factors like the Beltrami radius, surface radius, chemical potential and relaxation time. The numerical results highlight significant differences in the optical characteristics of Beltrami-shaped graphene compared to regular graphene primarily attributed to the curved geometry and out-of-plane deformations. Our major outcomes are listed below:
-
Involved parameters can effectively offer a precise control of \(\:{\chi\:}_{\phi\:\phi\:}^{\left(3\right)}\left(\omega\:\right).\)
-
A longer relaxation time implies slower decay of excited states which leads to a more persistent induced polarization and a stronger response to an applied electric field.
-
The beltrami radius and the curvature of the system modifies the quantum confinement and are responsible of a visible shifts in resonance peaks for both real and imaginary parts.
-
As r, R and τ increase, the real part broadens and shows a strong response with negative values in comparaison to the imaginary part.
We strongly believe that these insights will pave the way for advancements in graphene-based instruments by opening new possibilities for unique optical applications in the future.
Data availability
Data are however available from the corresponding authors upon reasonable request.
References
Novoselov, K. S. et al. Science 306, 666 (2004).
Castro Neto, A. H., Guinea, F., Peres, N. M. R., Novoselov, K. S. & Geim, A. K. Rev. Mod. Phys. 81, 109 (2009).
Yamashita, S. Nonlinear optics in carbon nanotube, graphene, and related 2d materials. APL Photonics. 4 (3), 034301 (2019).
Singh, A., Bolotin, K. I., Ghosh, S. & Agarwal, A. Phys. Rev. B 95(15), 155421 (2017).
Singh, A., Ghosh, S. & Agarwal, A. Phys. Rev. B 97(20), 205420 (2018).
Singh, A., Ghosh, S. & Agarwal, A. Phys. Rev. B 99(12), 125419 (2019).
Hendry, E., Hale, P. J., Moger, J., Savchenko, A. & Mikhailov, S. A. Phys. Rev. Lett. 105(9), 097401 (2010).
Wu, R. et al. Nano Lett. 11(12), 5159–5164 (2011).
Yang, H. et al. Nano Lett. 11(7), 2622–2627 (2011).
Zhang, H. et al. Opt. Lett. 37(11), 1856 (2012).
Chen, W. et al. AIP Adv. 3(4), 042123 (2013).
Miao, L. et al. Photonics Res. 3(5), 214 (2015).
Gu, T. et al. Nat. Photonics 6(8), 554–559 (2012).
Semenoff, G. W. Phys. Rev. Lett. 53, 2449–2452 (1984).
Naderi, F. & Rezaei-Aghdam, A. Eur. Phys. J. C 81, 23 (2021).
Naderi, F. & Rezaei-Aghdam, A. Eur. Phys. J. C 79, 995 (2019).
Meyer, J. C. et al. Solid State Commun. 143, 101–109 (2007).
Fasolino, A., Los, J. H. & Katsnelson, M. I. Nat. Mater. 6, 858–861 (2007).
Ishigami, M., Chen, J. H., Cullen, W. G., Fuhrer, M. S. & Williams, E. D. Nano Lett. 7, 1643–1648 (2007).
Stolyarova, E. et al. Proc. Natl. Acad. Sci. 104, 9209–9212 (2007).
Birrell, N. D. & Davies, P. Quantum Fields in Curved Space (Cambridge University Press, 1984).
Gallerati, A. J. Phys. : Condens. Matter 33, 135501 (2021).
de Juan, F., Cortijo, A. & Vozmediano, M. A. H. Phys. Rev. B 76, 165409 (2007).
Cortijo, A. & Vozmediano, M. A. H. Europhys. Lett. 77, 47002 (2007).
Guinea, F., Katsnelson, M. I. & Vozmediano, M. A. H. Phys. Rev. B 77, 075422 (2008).
Vozmediano, M. A. H., Katsnelson, M. I. & Guinea, F. Phys. Rep. 496, 109–148 (2010).
Hasanirokh, K. et al. J. Phys. : Condens. Matter 35, 29570227 (2023).
Naderi, F. & Hsanirokh, K. Sci. Rep. 14, 1, (2024).
Chittibabu, S. K. & Chintagumpala, K. Microelectronic En 276, 112013 (2023).
Lin, Y., Yin, Q., Jia, H., Ji, Q. & Wang, J. Chem. Eng. J. 487, 150777 (2024).
Wang, Y., Xu, C., Yu, X., Zhang, H. & Han, M. Mater. Today Phys. 23, 100647 (2022).
Han, T-H., Kim, H., Kwon, S-J. & Lee, T-W. Mater. Sci. Eng. :R:Rep 118,1 (2017).
Cortijo, A. & Vozmediano, M. H. Nuclear Phys. B, 763, 293 (2007).
Yu, X-L. & Wu, J. Phys. Chem. Chem. Phys. 20, 2296 (2018).
Ooi, K. J. et al. APL Photonics 4(3), 034402 (2019).
Zhang, T., Ooi, K. J. A., Chen, W., Ang, L. K. & Ang, Y. S. Opt. Express 27, 38271 (2019).
Ang, Y. S. & Zhang, C. J. Phys. D: Appl. Phys. 45(39), 395303 (2012).
Ang, Y. S. & Zhang, C. Appl. Phys. Lett. 98(4), 042107 (2011).
Cao, W. H. & Ang, Y. S. Europhys. Lett. 107(3), 37007 (2014).
Shareef, S., Ang, Y. S. & Zhang, C. J. Opt. Soc. Am. B 29(3), 274 (2012).
Wright, A. R., Xu, X. G., Cao, J. C. & Zhang, C. Appl. Phys. Lett. 95(7), 072101 (2009).
Xu, X. G., Sultan, S., Zhang, C. & Cao, J. C. Appl. Phys. Lett. 97(1), 011907 (2010).
Wald, R. M. General Relativity (University of Chicago Press, 2010).
Ghosh, B., Dattagupta, S. & Bandyopadhyay, M. Phys. Scr., 99, 11 (2024).
Sanderson, M. et al. Appl. Phys. Lett. 107, 203113 (2015).
Chen, Y., Li, C. & Yang, X. Opt. Express, 31, (4), 6203 (2023).
Khaliq, A. et al. IEEE Access., 12, 50595 (2024).
Lin, X. et al. J. Alloys Compd. 990, 174455 (2024).
Shan, Z. et al. Front. Chem. 9, 755836 (2021).
Pan, J. et al. Nat. Commun. 15(1), 8732 (2024).
Guo, R. et al. Appl. Phys. Rev. 11(2), 021417 (2024).
Chen, S. et al. Laser Photonics Rev. 18, 2400469 (2024)
Wan, L., Raveh, D., Yu, T., Zhao, D. & Korotkova, O. Mech. Astronomy, 66(7), 274213 (2023).
Shen, Z., Dong, R., Li, J., Su, Y. & Long, X. J. Manuf. Process. 109, 359–366 (2024).
Long, X. et al. J. Manuf. Process. 131, 1897 (2024).
Liang, S., Gao, Y., Hu, C., Hao, A. & Qin, H. IEEE Trans. Vis. Comput. Graph doi: https://doi.org/10.1109/TVCG.2024.3447668. (2024).
Li, X., Dunkin, F. & Dezert, J. Chin. J. Aeronaut., 37 (7), 24, (2024).
Wang, Y. et al. J. Light Technol. 42 (10), 3621, (2024).
Ling, W. et al. J. Plasma Phys. 90(1), 345900101, (2024).
Wang, J., Ji, J., Jiang, Z. & Sun, L. IEEE Trans. Knowl. Data Eng. 35 (9), 9073, (2023).
Yu, X., Feng, B., Yao, M., Peng, J. & Yang, S. Small, 2310573 (2024).
Li, J. et al. J. Mater. Chem. A, 12, 18733 (2024)
Fan, J., Pan, Y., Wang, H. & Song, F. Appl. Surf. Sci., 674, 160937, (2024).
Huang, B., Kang, F., Li, X. & Zhu, S. Autom. Constr., 163, 105430, (2024).
Wu, Y., Kang, F., Zhang, Y., Li, X. & Li, H. Struct, 60, 105956, (2024).
Ren, H. et al. J. Mater. Chem. A, 12, 23416 (2024).
Wang, C., Yang, L., Hu, M., Wang, Y. & Zhao, Z. Transp. A: Transp. Sci., 1–35 (2024).
Chen, Q. et al. Adv. Eng. Inf. 62, 102741 (2024).
Funding
There is no fund for this manuscript.
Author information
Authors and Affiliations
Contributions
A. Naifar, and K. Hasanirokh were responsible for numerical calculations, figures and writing of the manuscript.
Corresponding author
Ethics declarations
Ethical approval
Authors participated actively in this research and agree with the final version of the manuscript and give their consent for it to be published, accepting all the ethical standards of the journal. The authors certify that this manuscript has not been published elsewhere and that it is not under consideration for publication in another journal.
Competing interests
The authors declare no competing interests.
Additional information
Publisher’s note
Springer Nature remains neutral with regard to jurisdictional claims in published maps and institutional affiliations.
Rights and permissions
Open Access This article is licensed under a Creative Commons Attribution-NonCommercial-NoDerivatives 4.0 International License, which permits any non-commercial use, sharing, distribution and reproduction in any medium or format, as long as you give appropriate credit to the original author(s) and the source, provide a link to the Creative Commons licence, and indicate if you modified the licensed material. You do not have permission under this licence to share adapted material derived from this article or parts of it. The images or other third party material in this article are included in the article’s Creative Commons licence, unless indicated otherwise in a credit line to the material. If material is not included in the article’s Creative Commons licence and your intended use is not permitted by statutory regulation or exceeds the permitted use, you will need to obtain permission directly from the copyright holder. To view a copy of this licence, visit http://creativecommons.org/licenses/by-nc-nd/4.0/.
About this article
Cite this article
Hasanirokh, K., Naifar, A. Quantitative analysis on the optical kerr impact and third harmonic generation in beltrami-shaped curved graphene. Sci Rep 15, 1666 (2025). https://doi.org/10.1038/s41598-025-85303-9
Received:
Accepted:
Published:
Version of record:
DOI: https://doi.org/10.1038/s41598-025-85303-9











