Abstract
Identifying influential nodes in real networks is significant in studying and analyzing the structural as well as functional aspects of networks. VoteRank is a simple and effective algorithm to identify high-spreading nodes. The accuracy and monotonicity of the VoteRank algorithm are poor as the network topology fails to be taken into account.Given the nodes’ attributes and neighborhood structure, this paper put forward an algorithm based on the Edge Weighted VoteRank (EWV) for identifying influential nodes in the network. The proposed algorithm draws inspiration from human voting behavior and expresses the attractiveness of nodes to their first-order neighborhood using the weights of connecting edges. Similarity between nodes is introduced into the voting process, further enhancing the accuracy of the method. Additionally, this EWV algorithm addresses the problem of influential node clustering by reducing the voting ability of nodes in the second-order neighborhood of the most influential nodes. The validity of the presented algorithm is verified through experiments conducted on 12 different real networks of various sizes and structures, directly comparing it with 7 competing algorithms.Empirical results indicate a superiority of the presented algorithm over the remaining seven competing algorithms with respect to node differentiation ability, effectiveness, and ranked list accuracy.
Similar content being viewed by others
Introduction
The complex network is an abstract representation of the sophisticated systems existing in nature and the intricate relationships within human societies. In recent years, complex networks have become an effective method to analyze and study the relationship between complex systems and human society1,2. In a complex system, each individual or each unit is represented by a node, and the interaction between nodes forms an edge of the network3. This abstract method makes it easier to analyze and process complex systems. Currently, complex networks are widely applicable in various areas, for instance, transportation4,5, medicine6,7, weather8, finance9, city hotspot identification10, and controlling rumor propagation11. Due to the non-homogeneous topology of complex networks, each node plays a different role in the network. This characteristic results in a distinct status of an individual node in the sophisticated network, where information and energy transmission throughout networks is generally dominated within a minority of key nodes. Critical nodes in a network have a tremendous impact on the entire network. Therefore, the identification of key nodes in complex networks is crucial in analyzing the structural characteristics of the network and improving the security, destruction resistance, and robustness of the network12,13,14.
Studies have shown that rapid and effective identifying crucial nodes in complicated networks plays a significant role in controlling disease spread, preventing cascading faults in the electricity grid, and improving the efficiency of transportation networks15,16,17,18,19. To date, key node identification approaches are extensively and thoroughly studied in diverse industries. Many classical algorithms have been applied to network key node identification, for instance, degree centrality20, betweenness centrality21, K-shell centrality22, closeness centrality23, H-index centrality24 and eigenvector centrality25. The classic algorithms above all evaluate the significance of nodes on the basis of different metrics, each of which has its limitations. For example, degree centrality only considers the number of nodes in a node’s first-order neighbors and ignores global information, which cannot accurately estimate the node significance. Betweenness centrality is a type of global centrality method with high algorithmic complexity that is unsuitable for large networks. K-shell determines node significance by measuring the position of the node within the network without being able to accurately rank node significance. The closeness centrality algorithm has high computational complexity and is reliant on the networks’ topology. All of these methods have corresponding limitations, approaches that only measure the importance of nodes through a single metric are often struggling to achieve the required goals. Therefore, numerous scholars have initiated the search for novel methods and multi-metric approaches to better recognize the network’s crucial nodes.
To date, numerous scholars have proposed different novel hybrid metrics centrality methods to enhance the classic algorithms mentioned above. These methods mainly focus on three perspectives: global, local, and propagation efficiency26. The global algorithm considers the structure of the entire network and evaluates the impact of nodes on the entire network through a specific algorithm, which is described below. Zhao et al.27 raised a quantitative model of global importance, the Global Importance of each Node (GIN), to identify critical nodes in a network. Yang et al.28 introduced a new global structure-based approach to recognize critical nodes in complex networks, considering the shortest route length, the quantity of shortest routes, and the quantity of non-shortest routes. Shang et al.29 presented an approach to recognize node impact by renewing the weights of connected edges based on network efficiency. All of these methodologies measure the significance of nodes in a global viewpoint of a complex network30. In order to reduce the complexity of the algorithms and make them better applicable to large and complex networks, many scholars carry out research from the local structure of the network. Local algorithms mainly focus on the neighboring nodes of nodes or the network structure within a certain range: Liu et al.31 introduced a key node identification approach on the basis of Degree and Line Importance (DIL), which innovatively considered the contribution of node connecting edges to node importance. Li et al.32 introduced a gravity model for critical node identification based on exact radius and numerical information. Maji et al.33 employed K-shell and M-shell shell variants of both methods to rank nodes and utilized a geodesic-based approach to select initial seed nodes to maximize node influence. Meng et al.34 utilized the H-index, K-shell iteration factor, and Clustering coefficient (HIC) of a node to compute node connecting edge weights and assessed node significance based on edge weights. Ullah et al. presented a Local-and-global Centrality (LGC)35 metrology approach which recognizes critical nodes by simultaneously addressing the partial and global topological structure of the network. Some scholars are starting to calculate the node importance from the propagation probability of nodes. Recognition algorithms based on propagation probability can dynamically assess the importance of nodes and can reflect the actual propagation effect of nodes: Ai et al.36 presented a centrality approach on the basis of node spreading probability (SPC), which determines the key nodes in the network by measuring the propagation ability of each node. Xu et al.37 determine the effective propagators according to the local propagation probability of nodes. Ruan et al.38proposed an improved algorithm based on structural hole gravity model to effectively identify important nodes in complex networks. The authors proposed improved gravity method based on structure hole method (ISM) algorithms by considering node H-index, node kernel number and structural hole location. Ma ji et al.39proposed a ranking technique edge weight degree neighborhood (EwDN) based on edge weights and node degree. The method was proved to achieve better results in real world weighted networks by experiments on weighted networks. In addition, some researchers have evaluated node significance from the perspective of Multi-Criteria Decision Making (MCDM)40,41. The MCDM approach combines the advantages and disadvantages of the above algorithms to evaluate the importance of the nodes. Fei et al. combines relative entropy with the TOPSIS42 technique to recognize key nodes. Yang et al. summarized a comprehensive assessment of the nodes’ significance in real networks by combining three central indicators utilizing the entropy weight VIKOR approach43. Zhou et al.44 introduced a novel hybrid approach based on the STA and the VIKOR method to solve the impact maximization problem. Experiments proved that the method is more effective compared to others. The works of all the above scholars provide profound insights into investigating the key nodes of complex networks.
Complicated network generation is closely associated with mankind’s production and life, so Zhang et al.45 proposed an iterative approach of VoteRank to choose important nodes based on the voting rules of human society. The VoteRank is a localized algorithm that elects multiple key nodes by voting, sets their voting ability to 0, and iterates accordingly after each round of voting. Due to the relative simplicity and high accuracy of the VoteRank algorithm, many scholars made a thorough study of this method. Sun et al.46 introduced a WVoteRank method, which applies the VoteRank method to weighted networks. Kumar et al.47 introduced a coreness-based VoteRank method (NCVoteRank) based on the above two methods. The method considers the topological position of the node and works better than the original approach. Liu et al.48 proposed the VoteRank Plus method considering the difference in node voting ability, which is significantly better than the benchmark algorithm. Wang et al.49 introduced an adaptive adjustment of voting ability(AAVA)method for dynamically adjusting the voting ability of nodes, which provides high accuracy and effectiveness. The structure of real networks is very complex and the topological location of the nodes has a great impact on the accuracy of key node identification. All of the above voting methods start from the node’s voting ability, without taking into account the relationships between voters and candidates which is the topological location of the nodes. And in practice, the interrelationship between candidates and voters often determines the final voting result. Accordingly, this paper put forward a method based on the Edge Weighted VoteRank (EWV) model. The method not only introduces a regional influence factor to measure the voting ability of a node when calculating its voting ability but also relates the voting scores obtained by a node to the interrelationships of its neighbors to better reflect the importance of the node’s topological location. We consider the interrelationship between nodes and their neighborhoods to be mainly manifested in two aspects: on the one hand, the attractiveness of a node’s own characteristics to its neighbors, and the magnitude of the attractiveness is determined by weighting the connected edges of the nodes. On another hand, voters tend to prefer candidates who are similar to themselves, and thus we consider the similarity coefficients between a node and its neighboring nodes. The EWV algorithm overcomes the problem of low accuracy of the traditional VoteRank algorithm and its improved algorithms in key node identification. It also simulates the habit of human voting, proposes two indicators of node attractiveness and influence, and extends the local influence range to the second-order neighborhood of the node, so that the ranking accuracy and effectiveness of the whole algorithm can be improved. The specific work contributed to the article is as follows:
-
This paper presents a novel key node identification algorithm with the Edge Weighted VoteRank model. The algorithm uses the connected edge weights and similarity coefficients between nodes and their first-order neighbor nodes to measure the influence.
-
The proposed algorithm and seven existing algorithms are validated and evaluated in 12 real networks of different sizes. Simulate the propagation efficiency of nodes by SI and SIR models and analyze the accuracy of EWV arithmetic ranking.
-
The study shows that the EWV method is superior to the remaining seven methods in terms of individuation, effectiveness, and imprecision, significantly improving the node differentiation and ranking accuracy of VoteRank.
The rest of the article is organized in the following way: Section Preliminaries focuses on preparatory knowledge of the content of this article. Section Proposed method presents the content of the EWV algorithm proposed in the article and performs the complexity analysis. Section Experimental setup provides the relevant metrics and parameters of the experimental part. Section Conclusions contains the experimental results and analysis. Section VI summarizes the major contributions of this research.
Preliminaries
To better elucidate the algorithm and content proposed in this article, relevant definitions and centrality methods are introduced in this section.
Basic definition
In a non-weighted nondirected network \(G = \langle V,E\rangle\), \(\left| V \right| = N\) and \(\left| E \right| = M\) denote the number of nodes and connecting edges, respectively. The connectivity structure of the network \(G\) is usually represented using the contiguity matrix \(A_{N \times N} = \left( {a_{ij} } \right)_{N \times N}\). If nodes \(v_{i}\) and \(v_{j}\) are connected to each other, then \(a_{ij}\) = 1, conversely, \(a_{ij}\) = 0. Below we will present the fundamental definitions mentioned in the text.
Definition 1
First Order Neighbors. The collection of nodes \(u\) directly adjoining to node \(v\) is called the first-order neighborhood of \(v\), denoted by \(\Gamma_{1} \left( v \right)\). The expression is:
Definition 2
Clustering coefficient50. If there are connections between each pair of nodes within 1st order neighbors \(\Gamma_{1} \left( v \right)\) of the node \(v\), then denote this connection by \(e_{v}\). The closeness of the connection of nodes within 1st-order neighbors of node v is defined as the clustering coefficient \(C_{v}\), which is expressed by Eq. 2:
where \(k_{v}\) indicates the degree of node \(v\). Typically, the clustering coefficient of a node is larger, its own influence will be smaller. Hence this article considers that the clustering coefficient is counter-productive to the importance of the node. The average clustering coefficient of the network is defined as follows:
Definition 3
Jaccard similarity51. Jaccard similarity is employed for comparing the resemblance of two collections. Define the Jaccard similarity as the value of the intersection of two sets divided by the concatenation of the sets with the expression as in Eq. 4.
The larger the value of Jaccard similarity, the more similar elements in the set, so this uses Jaccard similarity to represent the similarity of the set.
Definition 4
Regional Influence Factor. This article introduces the regional influence factor \(R(v)\), which is given to represent the combined effect of node \(v\) and its r-order neighbors on the network, expressed as:
where \(\Gamma_{r} \left( v \right)\) denotes the r-order neighborhood of node \(v\).
Definition 5
Line weight coefficient. For three nodes in a localized region, if two of them are interconnected, the nodes together with their connecting lines will form a triangle. In a triangle structure, any one edge can be replaced by the other two edges, thus decreasing the significance of the connecting lines31. Therefore the importance of the connecting lines of the node \(v\) with its neighbor node \(u\) is expressed by the line weight coefficient \(I_{vu}\) as in Eq. 6.
where \(U = \left( {k_{v} - t + 1} \right)\left( {k_{u} - t + 1} \right)\) indicates the connectivity of the node, and \(t\) denotes the quantity of triangles composed by the node \(v\) and its neighbors. \(\lambda\) denotes the weight factor of the connectivity with a magnitude of \({{\left( {t + 2} \right)} \mathord{\left/ {\vphantom {{\left( {t + 2} \right)} 2}} \right. \kern-0pt} 2}\).
Centrality measure
Definition 6
Degree centrality20. The degree of a node \(v\) is the quantity of nodes in the 1st order neighbors of \(v\), denoted by \(k_{v}\). The degree of a node is positively correlated with its impact on the network. The expression for degree centrality is given in Eq. 7:
Definition 7
Betweenness centrality21.Betweenness centrality measures the node’s significance by accounting for the shortest quantity of paths passing by the node. Its specific formula is:
where \(\delta_{jk}\) represents the complete quantity of shortest routes from node \(v_{j}\) to node \(v_{k}\), and \(\delta_{jk} \left( v \right)\) indicates the quantity of routes passing through node \(v\) in all shortest routes from node \(v_{j}\) to node \(v_{k}\) . Betweenness centrality is a type of global centrality, and its algorithm complexity increases rapidly with the expansion of the network size.
Definition 8
K-shell centrality22.The central idea of K-shell centrality is to set a degree value (denoted by \(k\)) to each node of the network, and sequentially eliminate nodes with a \(k\) value below or equivalent to \(ks \in \left\{ {1,2, \cdots } \right\}\) along with their connecting edges. The specific steps of the algorithm are as follows: compute the degree values of all nodes of the target network, remove all nodes having degree 1 along with their connecting edges, and categorize them into the class \(ks = 1\). Recalculate the degree of the given network for every node, remove the nodes and connected edges with a degree value of 1, and categorize the nodes into the \(ks = 1\) category. If no such nodes exist, make \(ks = 2\) and repeat the above steps until all the nodes have been assigned the value of \(ks\).
Definition 9
VoteRank centrality45. VoteRank assigns each node \(v\) to a tuple \(\left( {s_{v} ,va_{v} } \right)\), \(s_{v}\) is the voting score of \(v\), and \(va_{v}\) is the voting ability of \(v\). The VoteRank algorithm flows as follows.
Step 1: Initialize all tuples \(\left( {s_{v} ,va_{v} } \right)\) to \(\left( {0,1} \right)\).
Step 2: Calculate the voting score of each node through Eq. 9.
Step 3: Choose the node \(v_{\max } = \mathop {\text{arg max}}\limits_{v} \left\{ {s_{v} } \right\}\) scoring the most votes and set its tuple as \(\left( {0,0} \right)\).
Step4: Diminish t the ability of nodes in the first-order neighborhood of node \(v_{\max }\) to vote:
where \(\left\langle k \right\rangle\) denotes the average degree value of the network.
Step 5: Return to Step 2, terminating after the first \(k\) key nodes are selected.
Proposed method
Inspired by human voting activities, we present the Edge Weighted VoteRank approach to evaluate the influence of nodes. Inspired by human voting behavior, the EWV algorithm quantifies the attractiveness of candidates to voters and the degree of similarity between candidates and voters as an edge-weight metric to be introduced into the voting process. More specifically, we will describe the EWV algorithm below.
Initialization stage
The previous VoteRank method simply sets the voting capacity \(va_{v}\) in every node tuple \(\left( {s_{v} ,va_{v} } \right)\) to one, without differentiating the voting capacity of the nodes. However, a node’s own attributes and local attributes are important factors that affect its voting ability. To distinguish node voting capacity, a node’s voting capacity is computed as
where \(R(v)\) is the regional influence factor of the node \(v\) and \(k_{\max }\) is the largest degree value among all nodes.
Calculation of voting scores
The final scores of the nodes of the target network are correlated with their voting ability and the voting scores obtained by the node from its first-order neighbors, and the voting scores are updated iteratively to finally select the critical nodes from the target network. In the voting phase, nodes will receive a certain number of voting scores from their first-order neighbors, and for the same voter, each node will receive different scores from them. Based on this, the variation of scores was attributed to both the attractiveness of the candidate to voters and the similarity of the candidate to the voters. Simply put, it is the attractiveness and similarity between nodes. Here we express the attraction in terms of the weights of the connecting edges across the nodes, the higher the weights of connecting edges, the more votes a node receives from its neighboring nodes. The expression for weighing the connecting edges of a node \(v\) with its neighbor node \(u\) is shown below:
Equation 12 is represented by two main parts. The left part of the formula \(I_{vu}\) denotes the line weight of the node \(v\) with its connection point \(u\). The second part is the partial impact of the node \(v\). The higher the partial impact of the node \(v\), the more its neighbor node \(u\) tends to give a higher voting score. Together, these two components form the weights of the connecting edges of nodes \(v\) and \(u\).
The similarity between nodes is also a momentous element contributing to the voting scores. The similarity of nodes \(v\) and \(u\) is denoted by \(J\left( {v,u} \right)\), and its magnitude is the ratio of Jaccard similarity of node \(v\) and node \(u\) to the sum in Jaccard similarity of \(u\) and its first-order neighboring nodes as in Eq. 13:
By combining the voting capabilities of a node with the received voting scores, the comprehensive influence of the node \(v\) can ultimately be determined:
Update stage
The influential nodes are selected based on the voting score in descending order after computing the composite scores of the full nodes. During key node identification, closely connected nodes and their neighbors tend to have the same ranking, which leads to the phenomenon of rich club, i.e., the key nodes are concentrated in a certain region of the network, which affects the efficiency of node spreading throughout the network. To improve this phenomenon, this paper adopts the approach of resetting the voting capacity to zero of the elected node with the highest influence and weakening the voting ability of its neighbors to increase the propagation efficiency of the selected node in the whole network. The updated formula of voting capacity is given as
Considering that the clustering coefficient reflects the level of aggregation of nodes, Eq. 15 uses the clustering coefficient as a countervailing factor, to weaken the voting ability of nodes with higher clustering coefficients to a greater extent.
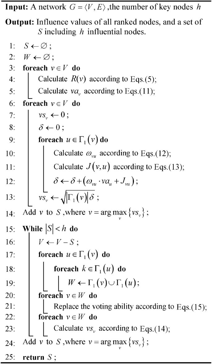
Algorithm process and complexity analysis
Algorithm 1 demonstrates the specific procedure of the EWV method. In lines 3 ~ 5, the voting capacity of every node is calculated by Eq. 10 with a complexity of \(N{\langle }k{\rangle }\). \(N\) and \({\langle }k{\rangle }\) represent the scale and average degree of the target network, respectively. In line 6 ~ 14, the node edge weights, similarity, and voting scores are calculated according to Eqs.12 to 14, respectively, with a computational complexity of \(2N{\langle }k{\rangle }^{2} + N{\langle }k{\rangle }\). The complexity of computing both node edge weights and similarity is \(N{\langle }k{\rangle }^{2}\), and the complexity of computing the voting score is \(N{\langle }k{\rangle }\). Thus in the first stage, the total complexity of computing the voting score is \(2N{\langle }k{\rangle }^{2} + N{\langle }k{\rangle }\).
Next, in lines 16 to 19, the most influential node is removed and all points in its second-order neighborhood are identified. Lines 17 ~ 23 update the voting capacity of the most influential node and recalculate combined scores of its second-order neighbors with computational complexity \(N{\langle }k{\rangle }^{2}\) , where \(w = |W|\). In lines 15 to 24, the top \(h\) key nodes are selected in sequence, with a total complexity of \(hw{\langle }k{\rangle }^{2}\). Summarizing, the computational effort of Algorithm 1 is \(\left( {wh + 2N} \right){\langle }k{\rangle }^{2} + 2N{\langle }k{\rangle }\). Since \({\langle }k{\rangle < < }n\), the computational complexity of Algorithm 1 is simplified to \(N{\langle }k{\rangle }^{2} + wh{\langle }k{\rangle }^{2}\)
The EWV algorithm.
Example explanation
In this section, we detail the computational process of the EWV algorithm through the network structure of Fig. 1. The network of Fig. 1 is composed of 11 nodes and 16 edges, each node represents a voter. Nodes are linked to each other if a voting relationship exists between two voters, otherwise they are not linked. Node 5 is chosen as an example and its first-order neighbors are nodes 3, 4, 6, 7, 8, and 9.
An example network with 11 nodes and 16 edges, where each node represents a voter.
Figure 2 better illustrates the voting association of node 5 with its first-order neighboring nodes. The red arrows represent the voting scores obtained by node 5 and the blue arrows represent the voting of node 5 on its connection. Firstly, the regional impact factor of each node is calculated through Eq. 5, which can be obtained as \(R\left( 5 \right) = 31\). Subsequently, the voting capacity of nodes is calculated through Eq. 11, resulting in \(va_{5} \approx 5.167\). Since points scored by a node are correlated with the voting ability of its first-order neighbor nodes, \(va_{8} \approx 4.833\) and \(va_{9} \approx 4.833\) are calculated. Finally, the final score of node 5 is computed by Eq. 14 as \(vs_{5} \approx 48.2334\). The voting scores of the remaining nodes are solved sequentially based on this computational procedure, and the final scores of the entire nodes of the target network are given in Table 1.
Voting process diagram of EWV algorithm. The red arrows represent the voting scores obtained by node 5 and the blue arrows represent the voting of node 5 to its neighboring nodes.
According to Table 1, it can be observed that the final score of node 5 is the largest, thus designating node 5 as the most influential node. By iterating the aforementioned calculation procedure can further calculate the voting scores of the network nodes after the update.
Experimental setup
Data description
To properly analyze the efficacy of the algorithm, 12 real-world networks with various scales, structures, and functions, and the specific parameter indicators of the networks as given in Table 2. A brief introduction to the given networks is provided below.
-
1.
Karate52: A small-scale social network consisting of 34 Karate Club members.
-
2.
Dolphin53: A social network describing frequent interactions and communication between 62 New Zealand dolphins in contact, a commonly used unprivileged and undirected network.
-
3.
Adjnoun54: An adjacency network consisting of nouns and adjectives from the novel “David Copperfield”.
-
4.
Football55: A network describing the match-ups of college American soccer games in 2000, consisting of 115 nodes and 613 edges.
-
5.
C. Elegans56: The neural network representing Caenorhabditis elegans consists of 297 nodes and 2359 edges.
-
6.
USAir9757: Aviation data for 1997, collected and organized by American Airlines, mainly describes the distribution and flights of the U.S. aviation network.
-
7.
Email58: An information exchange network consisting of messages sent via e-mail between members of the URV University.
-
8.
Netscience54: A network consisting of the co-authorship of a total of 1589 scientists working on network theory.
-
9.
Yeasts59: A complex network composed of protein-related interactions in budding yeast, with a total of 2000 nodes and 2122 edges.
-
10.
Facebook60: A social network composed of Facebook data, consisting of 4039 nodes and 88,234 edges.
-
11.
Power61: A network describing the topology of the electrical grid in the western USA, containing a total of 4941 network nodes and 6594 edges.
-
12.
Hep-th62: A co-authored network between scientists publishing preprints in High Energy Theory from 1995-1999, consisting of 8491 nodes.
Propagation model
In general, the spreading ability of nodes is proportional to their influence and many infectious disease models have been used to analyze the spreading ability of nodes. In this context we use two classical infectious disease models susceptible-infected(SI) model and the susceptible-infected-recovered (SIR)model to describe the process of node spreading. The SI model is applied to emulate the spread of infectious diseases in human society. The SI model categorizes the crowd into susceptible (S) and infected (I), and all the crowd is in the S or I state at the initial state, and individuals once infected will not be cured or recovered63. The specific propagation process is as follows: full nodes in the given network are in S-state initially. When a stochastic node is infected with an I-state, the node will infect the S-state nodes in its first-order neighborhood with the spreading probability \(\beta\) until all nodes become I-state. The SIR model has additional recovery R states than the SI model. Infected individuals (I) switch to Recovered (R) with a certain probability of recovery, and Recovered (R) do not get infected again. In this paper, the initial nodes in both the SI model and the SIR model are set as easily infected (I). In order to get the effective node spreading influence, this paper conducts 1000 independent experiments on each node, and the average of the results is taken as the node’s spreading influence.
Evaluation metrics
Monotonicity64 is utilized to assess the uniqueness of node ranking. Various algorithms will rank the significance of nodes depending on their influence in the procedure of key node identification. The nodes will have the same ranking when they have the same influence. The fewer nodes having the same rank, the higher the monotonicity of the rank, and the better the personalization of the algorithm. The expression of monotonicity is given in Eq. 16.
where \(R\) is the node ranking vector computed from the algorithm, \(N\) is the overall quantity of nodes, and \(n_{r}\) is the total quantity of nodes with rank \(r\).
The Complementary Cumulative Distribution Function(CCDF)65 can be utilized to distinguish the differences between the results of different rankings. When a ranking contains a larger number of nodes, the CCDF will decrease with a steeper slope. If nodes are ranked differently, the CCDF function will decrease slowly with a smaller slope. The expression for the CCDF is:
where \(R\) is the node ranking vector acquired through a particular method and \(CDF\left( r \right) = P\left( {R \le r} \right)\) is the cumulative distribution function employed for the proportion of nodes ranked higher than \(r\).
The imprecision function22 is an effective tool for measuring that the spreading capability of the higher-ranked nodes differs from the spreading capability of the nodes obtained from the SI model. The expression of this function is:
where \(p = q/N\) denotes the proportion occupied by top \(q\) nodes in the ranking and \(S\left( p \right)\) is the mean propagation influence of the top \(q\) nodes ranked by the algorithm. \(S_{eff} \left( p \right)\) is the average propagation influence of the top \(q\) nodes obtained from the SI model. The lower the imprecision function \(\varepsilon \left( p \right)\) indicates that the faster the influence of the first \(q\) nodes of the algorithm propagates, the better the algorithm performs. On the contrary, the slower the influence of the first \(q\) nodes propagates.
Kendall coefficient66 is an indicator for measuring the accuracy of the rank of a specific algorithm and serves as a standard method for comparing the correlation between two random sequences. In this context, we use the ranking vector of the SI model as a standard sequence and compare its correlation with the ranking vectors generated by a specific algorithm. The expression of the Kendall coefficient is shown in Eq. 19.
where \(A\) and \(B\) denote arbitrary two random sequences, and any two node pairs in \(A\) and \(B\) can be denoted as \(\left( {a,b} \right)\). For different pairs of nodes, \(\left( {a_{i} ,b_{i} } \right)\) and \(\left( {a_{j} ,b_{j} } \right)\) are considered to be consistent, if \(\left( {a_{i} ,b_{i} } \right) \in A\) and \(\left( {a_{j} ,b_{j} } \right) \in B\). Conversely, if \(a_{i} < a_{j}\) and \(b_{i} > b_{j}\) or \(a_{i} > a_{j}\) and \(b_{i} < b_{j}\), then the two node pairs are considered to be inconsistent. If \(a_{i} = a_{j}\) or \(b_{i} = b_{j}\) exists, the pair of nodes is both consistent and inconsistent. The quantity of consistent pairs of nodes and inconsistent node pairs for two sequences are \(N_{c}\) and \(N_{d}\) respectively. A larger Kendall coefficient indicates that the sequences are more similar and vice versa indicates that they are not similar. The maximum value of \(\tau\) is 1.
Experimental results
To assess the effectiveness of the approach, we contrast the EWV algorithm with seven other algorithms, including global algorithms such as betweenness centrality and K-shell centrality, and local algorithms like degree centrality, DIL31, NCVoteRank47, AAVA49, and VoteRank Plus48, in 12 real networks.
Parameter analysis
In the EWV algorithm, the magnitude of the voting capacity mainly depends on the regional influence factor \(R\left( v \right)\). Therefore, it is necessary to discuss the magnitude of the parameter \(r\),the neighbor order of the nodes in \(R\left( v \right)\). To verify the reasonableness of setting the neighbor order \(r\) to 2 in this paper, six complex networks with different sizes and structures are selected for experiments in this subsection.
As shown in Eq. 5, the magnitude of \(R\left( v \right)\) is determined by the sum of the degrees of the node and its \(r\)-order neighbor nodes. To explore the influence of the neighbor order \(r\) on the effectiveness of the EWV algorithm, different values of \(r\) are used in this paper for discussion. Considering the balance between algorithmic effectiveness and computational efficiency, this paper only studies \(r\) from order 0 to order 4, and uses Kendall’s coefficient \(\tau\) to evaluate the influence of nodes. Figure 3 illustrates the average value of the Kendall coefficient \(\tau\) in six complex networks with different neighborhood orders.
The average value of Kendall \(\tau\) for six complex networks with different neighbor orders.
Figure 3 shows that in Dolphin, Yeasts, USAir97, Adjnoun, and Email networks, the Kendall coefficient reaches its maximum value when the neighbor order is 2, and the value of the Kendall coefficient decreases when the order is larger than 2. When the order is too high, the number of neighboring nodes is high and the distance from the source node is far, resulting in the regional influence factor of the node not fully reflecting the influence of the node. In the Hep-th network, the Kendall coefficient reaches its maximum value when the neighbor order is 3. Considering the computational efficiency and the effect of the algorithm, in this paper, the order of neighboring nodes in the regional influence factor is set to 2 in the subsequent experiments.
Individuation
The node distinguishing ability of centrality algorithms is a crucial aspect for evaluating algorithm effectiveness. Effective algorithms can assign different values to each node as much as possible, thereby avoiding multiple nodes having the same value. To analyze the node differentiation ability of different centrality algorithms, two experiments were selected for analysis. In the first experiment, monotonicity metrics are chosen to analyze the overall discriminative ability of centrality algorithms. The higher the monotonicity metrics, the better the distinguishing capability of the algorithm. Monotonicity metrics for each algorithm in 12 networks are calculated according to Eq. 16. Table 3 illustrates the magnitude of the monotonicity metrics of the eight algorithms in the 12 real networks, and the value with the highest monotonicity is bolded. It can be concluded that the monotonicity metric of the EWV algorithm is the highest value and exceeds 0.98 in all 11 networks, and the monotonicity metric is second only to the NCVoteRank algorithm in USAir97. Therefore, the overall discriminative ability of EWV is superior to the remaining seven centrality algorithms.
To analyze the monotonicity of the algorithms more intuitively, we visualize Table 3 and the results are shown in Fig. 4. The NCVoteRank, AAVA, VoteRank Plus, and EWV algorithms all have good discriminative ability, while the three centrality algorithms, BC, DC, and K-shell, have relatively poor discriminative ability. The monotonicity index of the EWV algorithm is close to or equal to 1 in all the nine networks. The monotonicity index of the EWV algorithm is close to 1 or equal to 1. The monotonicity index of the remaining seven algorithms in Karate, Netscience, and Hep-th networks is relatively poor, but the EWV algorithm still has a high monotonicity index.
Monotonicity metrics for eight centrality algorithms in 12 real networks.
In the second experiment, the CCDF is introduced to analyze the ranking distribution of different centrality algorithms more clearly. When nodes are clustered under a certain ranking, the CCDF graph will show a steep decline. If the ranking distribution of nodes is uniform, the CCDF graph will slowly decrease with a smaller slope. The smaller the slope of the CCDF graph, the smoother the curve, indicating that the centrality algorithm is more capable of differentiation. Figure 5 shows the CCDF graphs of the eight algorithms in 12 real networks.
CCDF plots of different centralized algorithms in 12 real networks.
From Fig. 5, the DC and K-shell centrality algorithms have steeply decreasing CCDF function values in all networks. In the first 6 small-scale networks, the CCDF graphs of the DIL, NCVoteRank, AAVA, VoteRank Plus, and EWV algorithms all decrease slowly along the diagonal. In the latter 6 large-scale networks, only the EWV algorithm has a slowly decreasing CCDF profile, which indicates that the presented algorithm is capable of distinguishing individual ranked nodes without ambiguity.
In summary, the results of both experiments indicate that the EWV algorithm has better node differentiation ability than the remaining 7 centrality algorithms and has better applicability in most networks.
Kendall coefficient
The Kendall coefficient is utilized to measure the accuracy of a specific algorithm’s ranking. In this section, the number of nodes infected during the simulation of the SI model is used to measure the propagation ability of the nodes, with 20 iterations per node, where each iteration is obtained by averaging the results of 1000 independent experiments. Infection probability \(\beta\) is a crucial element that affects the node spreading ability, too low infection probability \(\beta\) will result in infected nodes being restricted to a certain area. While a too-high infection probability leads to a large quantity of nodes being infected within fewer iterations, inconvenient to compare the spreading capabilities of nodes. To comprehensively assess the spreading ability of each node, we select 20 values at equal intervals in the proximity interval of the network’s spreading threshold \(\beta_{th}\) as the infection probability. For example, the infection thresholds of the Dolphin and Netscience networks are 0.1440 and 0.1441, respectively. Thus, the range of propagation probabilities for the two networks is \(\left[ {0.050.25} \right]\).
Figure 6 illustrates the comparison plots of the EWV algorithm and the remaining 7 centrality algorithms in 12 different networks. One can see that the ranked list obtained by the EWV algorithm has the most similarity with the actual propagated ranked list obtained by the SI model. The magnitudes of Kendall coefficients of the EWV algorithm is significantly higher than the remaining seven algorithms. In USAir97 and the C. Elegans network, the Kendall coefficients of the EWV algorithm and AAVA are similar and higher than the remaining six algorithms, but in general the EWV algorithm is better than the AAVA algorithm overall. In the Yeasts network, the Kendall coefficient of the EWV algorithm is approaching 0.9 in every range of infection probability. In Adjnoun and Email networks, the Kendall coefficient of the EWV algorithm is higher than 0.9 or even close to 0.95. The Kendall coefficients of the EWV algorithm are significantly higher than the rest of them in Dolphin, Football, Email, Netscience, Yeasts, Facebook, Power and Hep-th networks. In summary, the ranked list of the EWV algorithm has high accuracy and the algorithmic effect is significantly more effective than the remaining seven competing algorithms.
Kendall coefficient \(\tau\) among the rankings derived from eight centrality algorithms and the rankings produced by the SI simulation in 12 real networks, where \(\beta\) indicates the infection probability in the SI model.
To more clearly show the Kendall coefficients obtained by the 8 algorithms in 12 real networks, Table 4 gives the average Kendall coefficients \(\sigma \left( \tau \right)\) of the 8 algorithms in 12 networks. The larger the value of \(\sigma \left( \tau \right)\), the more accurate the ranking is and the better the algorithm performs. The equation of \(\sigma \left( \tau \right)\) is given below:
where \(\beta_{\min }\) and \(\beta_{\max }\) denote the maximum and minimum values of the selected infection probabilities in Fig. 6, respectively. \(N_{\beta }\) is the number of selected infection probabilities with size 20. As shown in Table 4, the \(\sigma \left( \tau \right)\) of the EWV algorithm in all 11 networks, is higher than the remaining 7 algorithms, and the \(\sigma \left( \tau \right)\) of the EWV algorithm in the Karate network is second only to the NCVoteRank algorithm. In summary, the EWV algorithm has better ranking accuracy compared to the remaining 7 algorithms.
Imprecision function
The imprecision function is a metric for comparing the accuracy of the top-ranked nodes usually employed to analyze the spreading ability of the nodes. From Eq. 18, the lower the magnitude of the imprecision function, the stronger the propagation ability of the top \(q\) ranked nodes and the higher the accuracy of the algorithm. In this section, the propagation probability of each network is placed in the vicinity of the network’s propagation threshold \(\beta_{th}\), and the total number of nodes infected by individual nodes is taken as the propagation capacity of the nodes. The results of each iteration are obtained by averaging the results of 1000 independent experiments.
Figure 7 shows the imprecision function values \(\varepsilon\) of EWV and the remaining 7 competitive algorithms for 12 target networks, with horizontal coordinates denoting the proportion of the top \(q\) ranked nodes. Owing to the different network sizes, the values of \(p\) for the Karate and Dolphin networks, with small network sizes, range from \(\left[ {0.010.3} \right]\) and \(\left[ {0.010.2} \right]\), respectively. The range of values of \(p\) for the remaining 10 networks is \(\left[ {0.010.1} \right]\). From Eq. 18, the performance of the algorithm is enhanced a lowering the magnitude of the imprecise function \(\varepsilon\). From Fig. 6, the imprecision function value \(\varepsilon\) of the EWV algorithm in Adjnoun, Karate, C. Elegans, Email, Yeasts, Facebook, and Power and Hep-th networks are minimum in the selected range of proportions indicating that EWV performs best in all the eight networks. In the Netscience network, the imprecision function value \(\varepsilon\) of EWV is higher than DIL and BC centrality algorithms. The imprecision function values \(\varepsilon\) of the EWV algorithm in the remaining nine networks are minimal in most of the ranges. The imprecision function value \(\varepsilon\) of the EWV algorithm in Karate, Adjnoun, C. Elegans, USAir97, and Email networks are approaching 0 in terms of imprecision function value magnitude. In conclusion, the proposed EWV approach can recognize nodes with high propagation ability in the target network more accurately.
The imprecision function values \(\varepsilon\) of eight algorithms on twelve real-world networks, with the probability of infection for each network set to \(\beta \approx \beta_{th}\).
Top-k nodes
In this section, we focus on the spreading ability of the top-k nodes in the node ranking of different key node identification algorithms. Usually, the top 10 key nodes in a complex network are considered to be the most influential nodes. Therefore, in this section, the nodes of six complex networks of different sizes are ranked and the spreading ability of the top 10 key nodes is calculated independently 100 times using the actual spreading ability of the SIR model. In the nine algorithms, EWV-US is the top 10 nodes of the EWV algorithm obtained after node update. In Fig. 8, \(F\left( t \right)\) is the total number of nodes in infected and recovered states, and the larger \(F\left( t \right)\) indicates the larger propagation capacity of the node.
The infection capacity of the top 10 nodes obtained by the nine algorithms in six different complex networks, obtained by 100 simulations through the SIR model, with \(F\left( t \right)\) being the cumulative total number of infected and recovered nodes at moment \(t\).
As shown in Fig. 8, the value of \(F\left( t \right)\) increases with \(t\) in the 9 algorithms and stabilizes when the maximum number of infections-recovery is reached. From Fig. 8, the EWV-US algorithm is able to infect more nodes in 6 real networks at a faster rate as compared to the remaining 8 algorithms. In the Power network, the spreading rate of the top-10 key nodes sought by EWV-US is not the highest at the beginning of the propagation, and when the spreading tends to be stabilized, the \(F\left( t \right)\) value of EWV-US reaches the highest, which is related to mainly with the structure of the network itself. To summarize, the top 10 nodes identified by the EWV-US algorithm have better propagation ability.
Correlation analysis
This Section of the experiment is focused on the correlation of the EWV algorithm with the remaining seven competing algorithms. For simplicity, three networks of different scales are selected for analysis, respectively USAir97, Power, and Hep-th networks. In Fig. 9, every circle represents a node in the target network, and the node’s color is indicated by the propagation capability value obtained from ten iterations of the SI model, and the nodes with higher spreading capability are closer to red in color and darker in color. On the contrary, the lower the node propagation ability, the closer the node color to blue, the darker the color is. The values of the horizontal and vertical coordinates of the graph indicate the influence of the EWV algorithm and the competing algorithms, respectively. \(\tau\) is Kendall correlation coefficient of the EWV method and the competing algorithms in the network, with larger values the higher the algorithm similarity.
Relation among the presented EWV and the comparison algorithm algorithms on USAir97, Power, and Hep-th networks, with the infected probability of each network is \(\beta \approx \beta_{th}\).
As shown in Fig. 9, the EWV algorithm is positively correlated with the DC, NCVoteRank, AAVA, and VoteRank Plus methods in the USAir97 network, and the impact values of methods are correlated with the actual propagation capacity received from the SI model. In the Power and Hep-th networks, the EWV algorithm is strongly correlated with the AAVA and NCVoteRank algorithms. In summary, the EWV algorithm has a strong correlation with excellent algorithms and accurately identifies the key nodes in the target network.
Conclusions
Identifying critical nodes in complicated networks is an efficient method to study and analyze the structural and functional aspects of networks. From the perspective of the local structure of the network, this article presented an approach of edge Weight-based Vote Ranking called EWV. Most existing vote ranking algorithms ignore the effect of inter-relationships between voters on the voting results. To that end, we draw inspiration from the actual behavioral habits of the people voting and introduce the similarity and attraction between voters into the voting session by quantifying them as side weight indicators, and use this approach to identify influential nodes in the network. At the beginning of the voting process, regional influence indicators are introduced to distinguish the voting capacity of different nodes. Second, the attractiveness and similarity among nodes in the voting phase are calculated using the connecting line weights and Jaccard-similarity coefficients, respectively. Finally, the significance level of nodes is determined by the combination of voting ability and voting score of nodes. To reduce the rich club phenomenon, nodes adaptively adjust their voting ability by introducing their own clustering coefficients.
The effectiveness of the presented algorithm is demonstrated and directly compared with seven competing algorithms through experiments on 12 realistic networks of different scales and structures. Monotonicity, CCDF function, and imprecision function are used as performance measures to adequately evaluate the algorithmic effects and the SI model serves as a criterion to assess and compare the accuracy and effectiveness of the 8 algorithms. In terms of monotonicity and algorithm ranking accuracy, the EWV algorithm works significantly better than the other algorithms in larger networks, with a more pronounced effect on node differentiation and better ranking accuracy than the other competitive algorithms. In small-scale networks, the algorithm works slightly better than other algorithms. In terms of the accuracy of the ranking of the top-ranked nodes, the EWV algorithm works better than other algorithms in large-scale networks in terms of accuracy. The imprecision function value of EWV algorithm with other algorithms is camera and close to 0 in small scale networks. The obtained results indicated that the EWV algorithm can correctly and efficiently identify influential nodes in the network and the presented algorithm outperforms other competing algorithms in most of the networks. In future research, the algorithm needs to be optimized more profoundly to adapt to dynamically changing real-world networks.
Data availability
The datasets used and/or analysed during the current study available from the corresponding author on reasonable request.
References
Li, M. et al. Percolation on complex networks: Theory and application. Phys. Rep. 907, 1–68 (2021).
Lü, L. et al. Vital nodes identification in complex networks. Phys. Rep. 650, 1–63 (2016).
Shao, Z., Liu, S., Zhao, Y. & Liu, Y. Identifying influential nodes in complex networks based on Neighbours and edges. Peer-to-Peer Netw. Appl. 12, 1528–1537 (2019).
Du, Y. et al. Identifying influential airports in airline network based on failure risk factors with TOPSIS. Chaos, Solitons Fractals 169, 113310 (2023).
Peng, P. et al. A fine-grained perspective on the robustness of global cargo ship transportation networks. J. Geog. Sci. 28, 881–889 (2018).
Huang, B., Yang, J.-X. & Li, X. Identifying influential links to control spreading of epidemics. Physica A 583, 126291 (2021).
Firth, J. A. et al. Using a real-world network to model localized COVID-19 control strategies. Nat. Med. 26, 1616–1622 (2020).
Boers, N. et al. Complex networks reveal global pattern of extreme-rainfall teleconnections. Nature. 566, 373–377 (2019).
Helbing, D. Globally networked risks and how to respond. Nature. 497, 51–59 (2013).
Maji, G., Mandal, S. & Sen, S. Identification of city hotspots by analyzing telecom call detail records using complex network modeling. Expert Syst. Appl. 215, 119298 (2023).
Wu, P. & Pan, L. Scalable influence blocking maximization in social networks under competitive independent cascade models. Comput. Netw. 123, 38–50 (2017).
Wang, S., Du, Y. & Deng, Y. A new measure of identifying influential nodes: Efficiency centrality. Commun. Nonlinear Sci. Numer. Simul. 47, 151–163 (2017).
Yang, P., Hu, S., Zhou, S. & Zhang, J. A topological sensitive node importance evaluation method in aerospace information networks. Sensors 23, 266 (2022).
Liu, Y., Liu, Y., Liu, F., Fan, J. & Tao, Z. An algorithm for discovering vital nodes in regional networks based on stable path analysis. Sci. Rep. 13, 15395 (2023).
Caunhye, A. M., Nie, X. & Pokharel, S. Optimization models in emergency logistics: A literature review. Socio-Econ. Plan. Sci. 46, 4–13 (2012).
Motter, A. E. Cascade control and defense in complex networks. Phys. Rev. Lett. 93, 098701 (2004).
Wang, Z., Chen, G., Liu, L. & Hill, D. J. Cascading risk assessment in power-communication interdependent networks. Phys. A: Stat. Mech. Appl. 540, 120496 (2020).
Nagarajan, K., Muniyandi, M., Palani, B. & Sellappan, S. Social network analysis methods for exploring SARS-CoV-2 contact tracing data. BMC Med. Res. Methodol. 20, 1–10 (2020).
Xin, X., Yang, Z., Liu, K., Zhang, J. & Wu, X. Multi-stage and multi-topology analysis of ship traffic complexity for probabilistic collision detection. Expert Syst. Appl. 213, 118890 (2023).
Freeman, L. C. Centrality in social networks: Conceptual clarification. Soc. Netw.: Crit. Concepts Sociol. Londres: Routledge. 1, 238–263 (2002).
Freeman, L. C. A set of measures of centrality based on betweenness. Sociometry 40, 35–41 (1977).
Kitsak, M. et al. Identification of influential spreaders in complex networks. Nat. Phys. 6, 888–893 (2010).
Sabidussi, G. The centrality index of a graph. Psychometrika. 31, 581–603 (1966).
Lü, L., Zhou, T., Zhang, Q.-M. & Stanley, H. E. The H-index of a network node and its relation to degree and coreness. Nat. Commun. 7, 10168 (2016).
Bonacich, P. & Lloyd, P. Eigenvector-like measures of centrality for asymmetric relations. Soc. Netw. 23, 191–201 (2001).
Zhu, S., Zhan, J. & Li, X. Identifying influential nodes in complex networks using a gravity model based on the H-index method. Sci. Rep. 13, 16404 (2023).
Zhao, J., Wang, Y. & Deng, Y. Identifying influential nodes in complex networks from global perspective. Chaos, Solitons & Fractals. 133, 109637 (2020).
Yang, Y., Wang, X., Chen, Y. & Hu, M. Identifying key nodes in complex networks based on global structure. IEEE Access. 8, 32904–32913 (2020).
Shang, Q., Zhang, B., Li, H. & Deng, Y. Identifying influential nodes: A new method based on network efficiency of edge weight updating. Chaos: Interdisciplinary J. Nonlinear Sci. https://doi.org/10.1063/5.0033197 (2021).
Nandi, S., Curado Malta, M., Maji, G. & Dutta, A. IC-SNI: measuring nodes’ influential capability in complex networks through structural and neighboring information. Knowl. Inf. Syst. https://doi.org/10.1007/s10115-024-02262-9 (2024).
Liu, J., Xiong, Q., Shi, W., Shi, X. & Wang, K. Evaluating the importance of nodes in complex networks. Physica A: Stat. Mech. Appl. 452, 209–219 (2016).
Li, S. & Xiao, F. The identification of crucial spreaders in complex networks by effective gravity model. Inf. Sci. 578, 725–749 (2021).
Maji, G., Dutta, A., Malta, M. C. & Sen, S. Identifying and ranking super spreaders in real world complex networks without influence overlap. Expert Syst. Appl. 179, 115061 (2021).
Meng, L., Xu, G., Yang, P. & Tu, D. A novel potential edge weight method for identifying influential nodes in complex networks based on neighborhood and position. J. Comput. Sci. 60, 101591 (2022).
Ullah, A. et al. Identifying vital nodes from local and global perspectives in complex networks. Expert Syst. Appl. 186, 115778 (2021).
Ai, J., He, T., Su, Z. & Shang, L. Identifying influential nodes in complex networks based on spreading probability. Chaos, Solitons & Fractals. 164, 112627 (2022).
Xu, G. & Meng, L. A novel algorithm for identifying influential nodes in complex networks based on local propagation probability model. Chaos, Solitons & Fractals. 168, 113155 (2023).
Yi-Run, R., Song-Yang, L., Jun, T., Liang, B. & Yan-Ming, G. Node importance ranking method in complex network based on gravity method. ACTA Physica Sinica. 71, 176401 (2022).
Maji, G. & Sen, S. Ranking influential nodes in complex network using edge weight degree based shell decomposition. J. Comput. Sci. 74, 102179 (2023).
Opricovic, S. & Tzeng, G.-H. Compromise solution by MCDM methods: A comparative analysis of VIKOR and TOPSIS. Eur. J. Opera. Res. 156, 445–455 (2004).
Song, J., He, Z., Jiang, L., Liu, Z. & Leng, X. Research on hybrid multi-attribute three-way group decision making based on improved VIKOR model. Mathematics. 10, 2783 (2022).
Fei, L. & Deng, Y. A new method to identify influential nodes based on relative entropy. Chaos, Solitons & Fractals. 104, 257–267 (2017).
Yang, Y. et al. A novel method to evaluate node importance in complex networks. Physica A: Stat. Mech. Appl. 526, 121118 (2019).
Zhou, X., Zhang, R., Yang, K., Yang, C. & Huang, T. Using hybrid normalization technique and state transition algorithm to VIKOR method for influence maximization problem. Neurocomputing. 410, 41–50 (2020).
Zhang, J.-X., Chen, D.-B., Dong, Q. & Zhao, Z.-D. Identifying a set of influential spreaders in complex networks. Sci. Rep. 6, 27823 (2016).
Sun, H.-l, Chen, D.-b, He, J.-l & Ch’ng, E. A voting approach to uncover multiple influential spreaders on weighted networks. Physica A: Stat. Mech. Appl. 519, 303–312 (2019).
Kumar, S. & Panda, B. Identifying influential nodes in Social Networks: Neighborhood Coreness based voting approach. Physica A: Stat. Mech. Appl. 553, 124215 (2020).
Liu, P., Li, L., Fang, S. & Yao, Y. Identifying influential nodes in social networks: A voting approach. Chaos, Solitons & Fractals. 152, 111309 (2021).
Wang, G. et al. Influential nodes identification method based on adaptive adjustment of voting ability. Heliyon. 9, e16112 (2023).
Berahmand, K., Bouyer, A. & Samadi, N. A new centrality measure based on the negative and positive effects of clustering coefficient for identifying influential spreaders in complex networks. Chaos, Solitons & Fractals. 110, 41–54 (2018).
Yu, Z., Shao, J., Yang, Q. & Sun, Z. Profitleader: Identifying leaders in networks with profit capacity. World Wide Web. 22, 533–553 (2019).
Zachary, W. W. An information flow model for conflict and fission in small groups. J. Anthropol. Res. 33, 452–473 (1977).
Lusseau, D. The emergent properties of a dolphin social network. Proc. Royal Soc. London Series B: Biol. Sci. 270, S186–S188 (2003).
Newman, M. E. Finding community structure in networks using the eigenvectors of matrices. Phys. Rev. E. 74, 036104 (2006).
Girvan, M. & Newman, M. E. Community structure in social and biological networks. Proc. Nat. Acad. Sci. 99, 7821–7826 (2002).
White, J. G., Southgate, E., Thomson, J. N. & Brenner, S. The structure of the nervous system of the nematode Caenorhabditis elegans: the mind of a worm. Phil. Trans. R Soc. Lond. 314, 340 (1986).
Colizza, V., Pastor-Satorras, R. & Vespignani, A. Reaction–diffusion processes and metapopulation models in heterogeneous networks. Nat. Phys. 3, 276–282 (2007).
Guimera, R., Danon, L., Diaz-Guilera, A., Giralt, F. & Arenas, A. Self-similar community structure in a network of human interactions. Phys. Rev. E. 68, 065103 (2003).
Bu, D. et al. Topological structure analysis of the protein–protein interaction network in budding yeast. Nucleic Acids Res. 31, 2443–2450 (2003).
Leskovec J, Mcauley J. Learning to discover social circles in ego networks. Advances in neural information processing systems. 2012;25.
Watts, D. J. & Strogatz, S. H. Collective dynamics of ‘small-world’networks. Nature. 393, 440–442 (1998).
Newman, M. E. Scientific collaboration networks II Shortest paths, weighted networks, and centrality. Phys. Rev. E. 64, 016132 (2001).
Dorogovtsev, S. N., Goltsev, A. V. & Mendes, J. F. Critical phenomena in complex networks. Rev. Modern Phys. 80, 1275 (2008).
Bae, J. & Kim, S. Identifying and ranking influential spreaders in complex networks by neighborhood coreness. Phys. A: Stat. Mech. Appl. 395, 549–559 (2014).
Wang, Z., Du, C., Fan, J. & Xing, Y. Ranking influential nodes in social networks based on node position and neighborhood. Neurocomputing. 260, 466–477 (2017).
Kendall, M. G. A new measure of rank correlation. Biometrika. 30, 81–93 (1938).
Acknowledgements
This work is not funded and supported by any organization or institute.
Author information
Authors and Affiliations
Contributions
H.L., conceived, performed the analyses and wrote the paper; X.W., performed the analyses and wrote the paper; Y.C., performed the research and simulations; S.C., analyzed the data ; D.L.validated the results derived from these analyses..
Corresponding author
Ethics declarations
Competing interests
The authors declare no competing interests.
Additional information
Publisher’s note
Springer Nature remains neutral with regard to jurisdictional claims in published maps and institutional affiliations.
Rights and permissions
Open Access This article is licensed under a Creative Commons Attribution-NonCommercial-NoDerivatives 4.0 International License, which permits any non-commercial use, sharing, distribution and reproduction in any medium or format, as long as you give appropriate credit to the original author(s) and the source, provide a link to the Creative Commons licence, and indicate if you modified the licensed material. You do not have permission under this licence to share adapted material derived from this article or parts of it. The images or other third party material in this article are included in the article’s Creative Commons licence, unless indicated otherwise in a credit line to the material. If material is not included in the article’s Creative Commons licence and your intended use is not permitted by statutory regulation or exceeds the permitted use, you will need to obtain permission directly from the copyright holder. To view a copy of this licence, visit http://creativecommons.org/licenses/by-nc-nd/4.0/.
About this article
Cite this article
Li, H., Wang, X., Chen, Y. et al. A novel voting measure for identifying influential nodes in complex networks based on local structure. Sci Rep 15, 1693 (2025). https://doi.org/10.1038/s41598-025-85332-4
Received:
Accepted:
Published:
Version of record:
DOI: https://doi.org/10.1038/s41598-025-85332-4
Keywords
This article is cited by
-
Modeling and analysis of the coupling effect for large-scale multi-band optical networks
Scientific Reports (2025)













