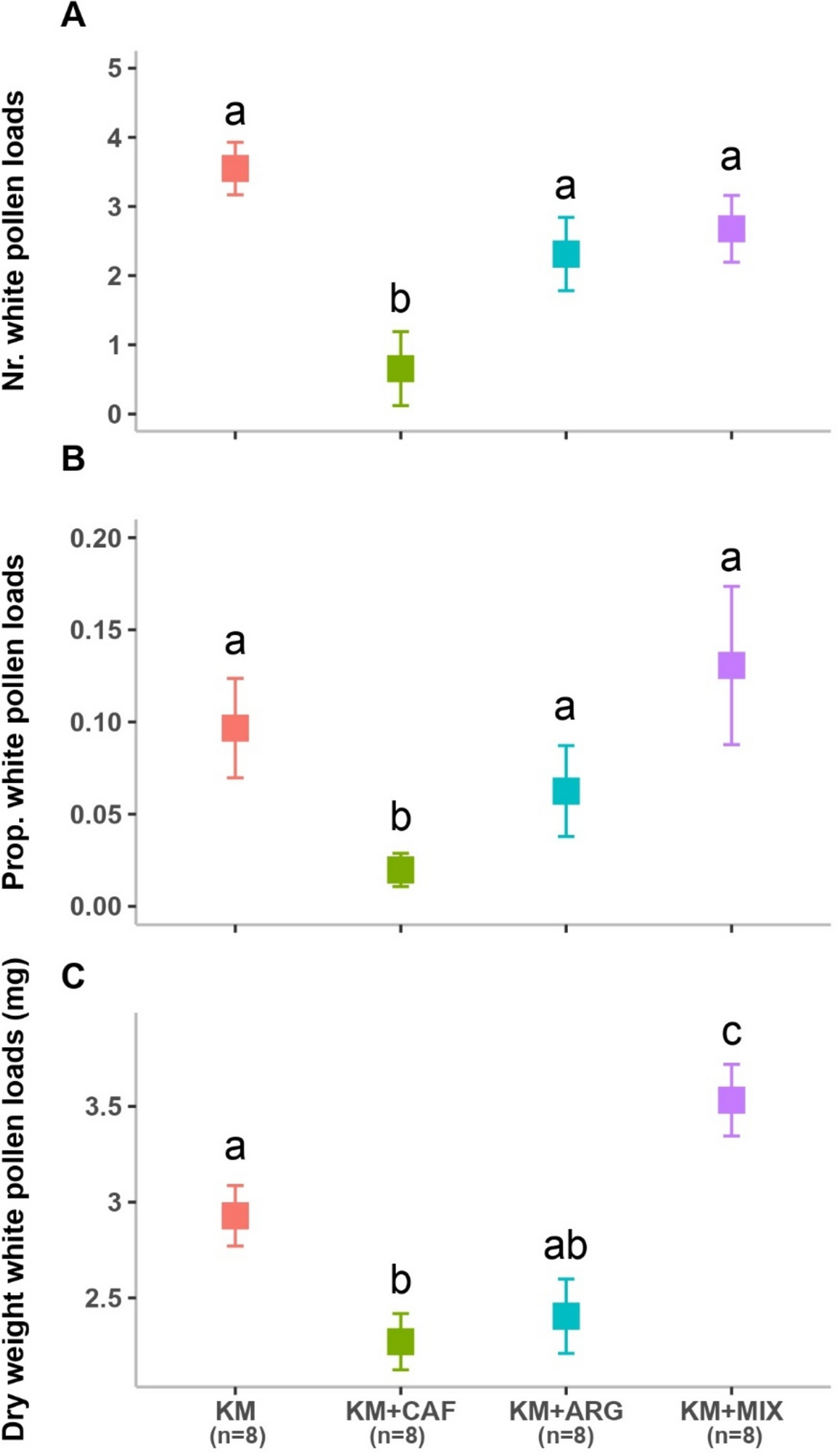
Fig. 2

Effect of kiwifruit mimic odor and nectar nonsugar compounds on the collection of kiwifruit pollen. The number and proportion of trapped kiwifruit (white) pollen loads were monitored up to three days after feeding colonies with kiwifruit mimic scented sucrose solution (KM) or KM-scented food containing individually nectar non-sugar compounds, caffeine or l-arginine, or combined (KM + CAF, KM + ARG, KM + MIX; A, B). The weight of each kiwifruit pollen load was also estimated (C). Letters indicate significant differences between treatments (see Table S3). Squares indicate the mean values and bars show the 95% confidence intervals. The number of colonies evaluated is shown in parentheses.