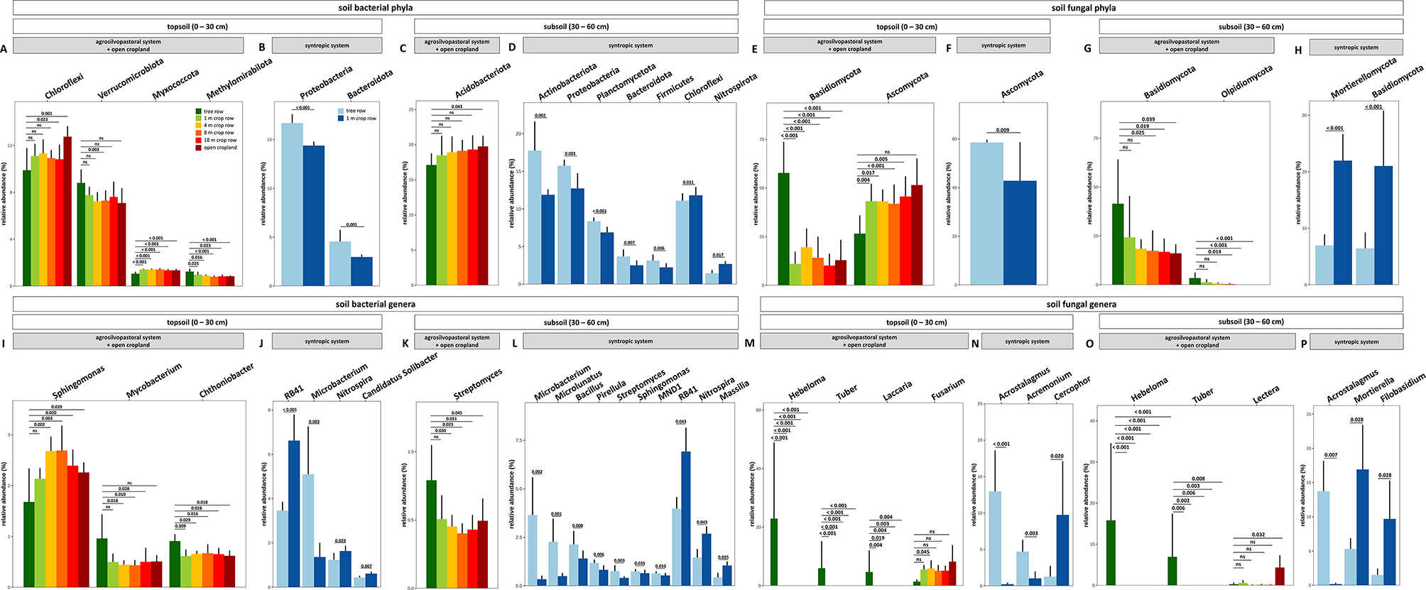
Fig. 7
From: Trees shape the soil microbiome of a temperate agrosilvopastoral and syntropic agroforestry system

Relative abundance of bacterial (A, B, C, D, I, J, K, L) and fungal (E, F, G, H, M, N, O, P) phyla and genera in topsoil and subsoil of an agrosilvopastoral and syntropic alley cropping system near Alt Madlitz, Germany (n = 6). The p-values above bars indicate statistically significant difference between the tree row and the other sampling locations within the respective alley cropping system. Statistically significant differences were analysed using linear models for differential abundance analysis (LinDA) with tree row set as reference group for differential abundance analysis (p < 0.05).