Fig. 8
From: Damage analysis and grading control technology of surrounding rock in high geo-stress roadway

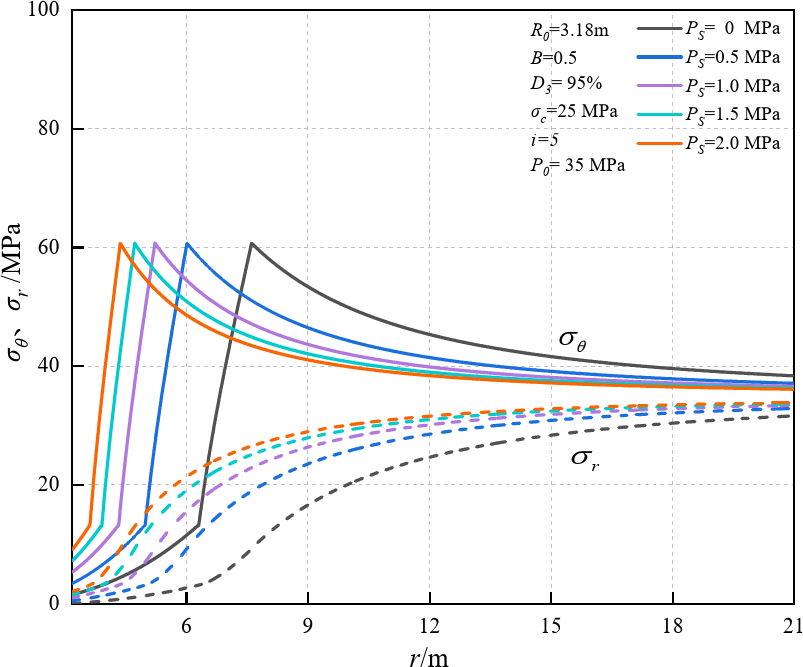
The relationship among \({P_S}\), \({\sigma _\theta }\)and \({\sigma _r}\) as r changes
From: Damage analysis and grading control technology of surrounding rock in high geo-stress roadway

The relationship among \({P_S}\), \({\sigma _\theta }\)and \({\sigma _r}\) as r changes