Fig. 2

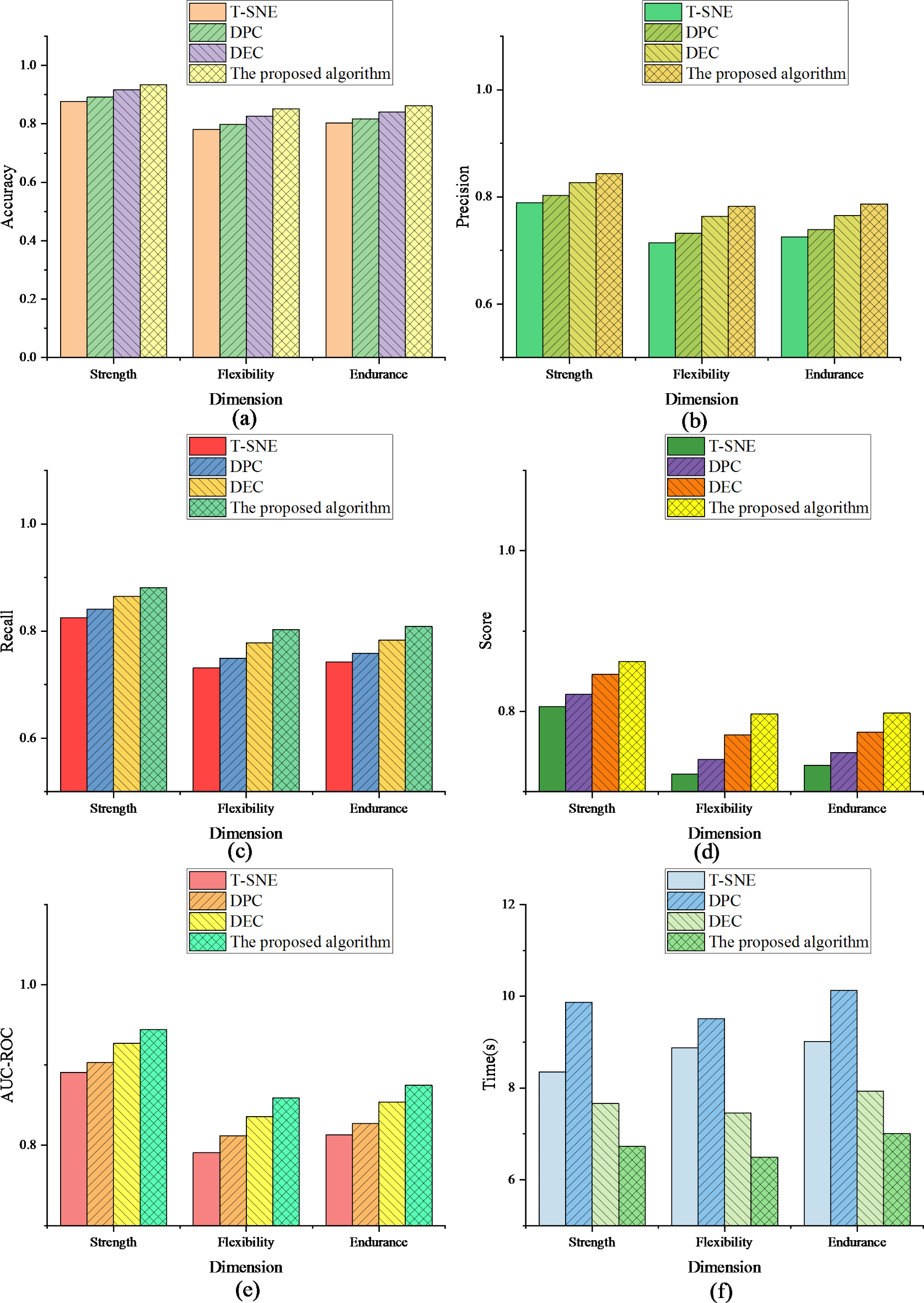
Performance comparison experiment ((a): Accuracy; (b): Precision; (c): Recall; (d): F1 Score; (e): AUC-ROC; (f): Training time).

Performance comparison experiment ((a): Accuracy; (b): Precision; (c): Recall; (d): F1 Score; (e): AUC-ROC; (f): Training time).