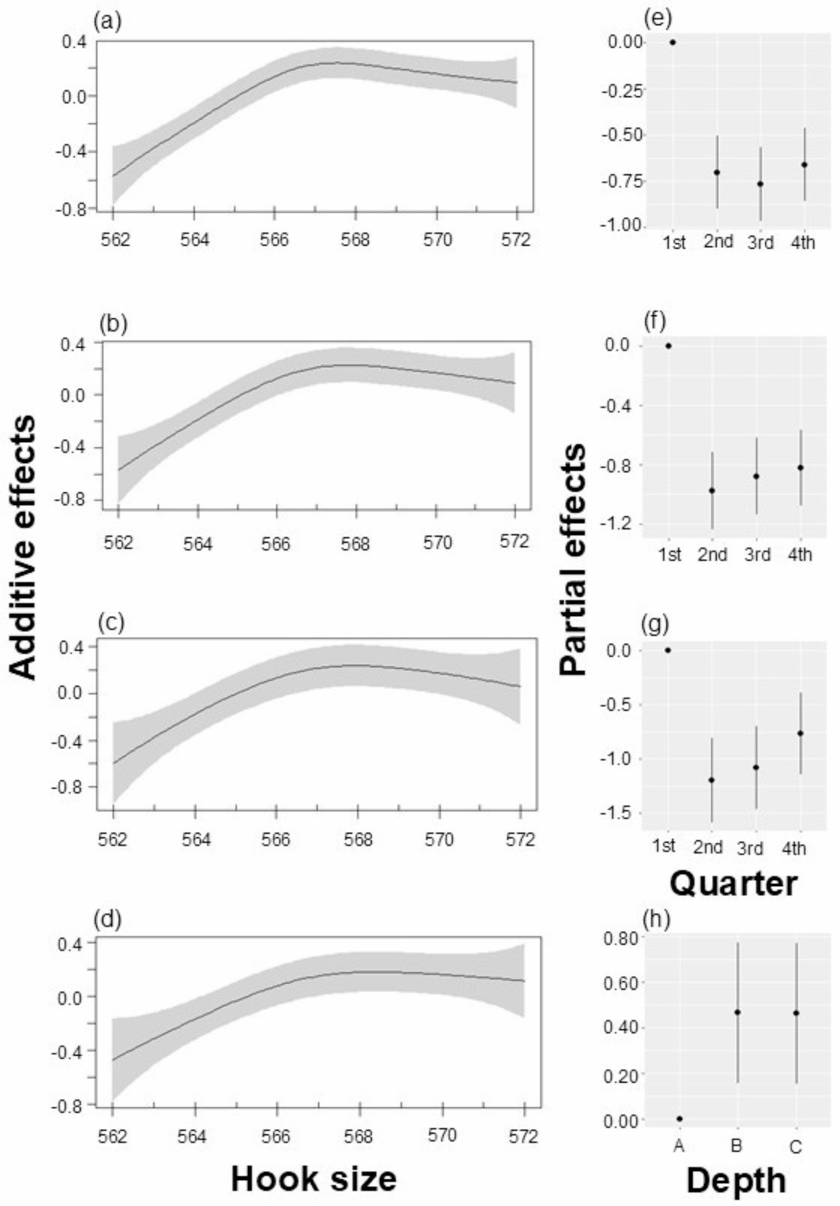
Fig. 1

Generalized additive model (GAM) plots for the additive effects on the catch counts for (a) all species, (b) Nemipteridae, (c) Nemipterus nematophorus, (d) bycatch; and partial effects on (e) all species, (f) Nemipteridae, (g) N. nematophorus, and (h) bycatch using hook size, quarter, and depth as an explanatory variable. Shaded areas in the spline represent the 95% confidence intervals.