Abstract
In the Philippines, nemipterid fishes hold substantial economic importance due to their high market value. However, the local longline fisheries lack specific regulations for managing the capture of these fishes. This study aimed to determine the optimum hook size for increasing catchability in nemipterid fishing while minimizing bycatch, thus promoting sustainable fisheries. We conducted experimental fishing at three depth ranges, using Mustad J-type hooks of 11 different sizes, ranging from #562, the largest, to #572, the smallest. All Mustad J-type hooks utilized medium-sundried Sardinella lemuru as bait. Seven Nemipteridae species and 31 other bycatch species were collected, with Nemipterus nematophorus emerging as the predominant species, constituting 61.96% and 56.99% of the catch by count and weight, respectively. The largest hook size (#562) demonstrated the lowest catch in both fish count and weight, revealing its inefficacy in capturing a wider size variation of fish. However, larger fish were collected with larger hooks, as suggested by the generalized additive model (GAM). In contrast, the generalized additive model suggested that middle-sized hooks (#566 to #568) yielded the highest catches but with an increased bycatch. Thus, these hook sizes, commonly used by many fishermen, were identified as the most exploitative and risky in terms of increasing bycatch. Using large hooks, preferably #562 to #565, would lead to an increase in the individual catch size for nemipterids, to reduce the small-size fish, and to minimize bycatch. These results suggest that regulating hook sizes is essential for sustainable fishing, which can result in a potential short-term reduction in catch rates but offer long-term benefits for nemipterid fisheries management.
Similar content being viewed by others
Introduction
Longline fishing has been one of the primary methods for catching high-value fish species worldwide. Most local fishing gear used by the fishermen has unique features and accessories tailored to the sea conditions, with the availability of fishing supplies influencing the structures and design of the gear. Various longline fishing methods are common among municipal fishermen targeting economically important demersal fish species. While recreational fishing is prevalent in many parts of the world1, local fishermen increase their efforts to meet their daily sustenance. This situation can lead to overfishing and mismanagement of fish catches.
Capture fisheries management for longline fishing targeting benthic fish is challenging in tropical waters where many diverse species share common foraging zones and feeding habits. Although longline fishing can be highly species- and size-selective2,3,4,5, the resulting catch compositions often exhibit considerable variability, which can lead to the inclusion of undesired catches, posing significant management challenges. Choosing the appropriate hook size is an important strategy for optimizing fishing efficiency and maintaining consistent catch rates, thereby advancing sustainable exploitation and minimizing bycatch6.
The bottom-set longline (BSLL) fishing gear is used to target bottom-dwelling species by anchoring a mainline to the seabed, with baited hooks attached at regular intervals31. The mainline is typically made of durable monofilament or nylon, with multiple branchlines attached at intervals, each holding a single baited hook. This fishing method is adaptable to varying depths and is widely used to catch demersal species such as breams, grunts, groupers, snappers, eels, and jacks12,31. The BSLL is a common fishing method used by local fishermen and contributes to fish landings on many islands in the Philippines, with various hook sizes employed7,8,9,10,11. Despite the long history of BSLL use, studies on its fishing efficiency, fish size- and species-selectivity, and management strategies remain scarce.
This study aimed to assess catch variation and investigate species- and size-selectivity across different hook sizes in the BSLL gear through experimental fishing trips conducted in Unisan Island, Nueva Valencia, Guimaras, Philippines. This fishing gear primarily targets threadfin breams from the family Nemipteridae, which have important economic value in local markets. A previous study on threadfin breams using handline was conducted in the area, but it was limited to examining the survival of the caught fish13. Catch size regulations for threadfin bream and other demersal species in the fishing ground have not yet been established, and this study may provide substantial information on hook size-selective properties. The Mustad J-type hook #566 has been the most commonly used hook size by the BSLL fishermen in the area for catching threadfin and other seabreams for a long time. In this study, other hook sizes were tested against the current hook size in the area, in terms of catch counts and fish sizes. This research critically examines gear selectivity, contributing to a broader understanding of the BSLL fishing including its size- and species-selectivity mechanisms. This is valuable for fisheries science, as it bridges a gap in studies on the selective properties of BSLL fishing gear in tropical waters. In addition, the study provides fundamental data on fishing in the area, as no published records on BSLL gear-specific benthic fish catches exist.
By evaluating the effectiveness of different hook sizes in fishing, the research provides practical guidance for optimizing catch rates of target species while minimizing bycatch, thereby supporting sustainable fisheries management through improved local fishing practices. The results can guide local fishermen and fisheries managers in adopting appropriate gear configurations, potentially leading to better resource utilization and the development of policies that promote long-term fisheries sustainability.
Results
Species composition and catch variation
A total of 43,560 hooks comprising 11 Mustad J-hook sizes were deployed from March 2012 to January 2013, consisting of four experimental fishing trips conducted using the BSLL gear baited with sundried filleted Sardinella lemuru. Regardless of hook sizes, the BSLL successfully captured a total of 38 species. This diverse set primarily comprised 35 fish species, two crab species, and one octopus species, culminating in a combined weight of approximately 82.58 kg (ESM Table S1). Despite the variations in hook sizes, species within the Nemipteridae family, represented by seven species, emerged as the predominant contributors to the catches. The Doublewhip threadfin bream, Nemipterus nematophorus (a target species), dominated the catch composition at all depths, with a total of 1,026 individuals and 47.06 kg in catch. This species accounted for 62.0% and 57.0% of the total catches in terms of count and weight, respectively. Other nemipterid species caught included N. japonicus, N. hexodon, N. mesoprion, N. virgatus, N. peronii, and Scolopsis taenioptera.
Of all the catches from the four experimental fishing trips, 24.8% and 23.0% in number and weight, respectively, were bycatch species (ESM Table S1). In this study, all other species caught other than fishes belonging to the family Nemipteridae were considered bycatch. The eyebrow goby, Oxyurichthys ophthalmonema, dominated the bycatch composition at all depths with a total count of 9.7% and 3.3% by weight. Among the 31 bycatch species, most were classified as valuable bycatch with reasonable market potential. Only two species were non-valuable, comprising less than 1% of the overall catches: the fish Lagocephalus enermis, and an unidentified crab species belonging to the family Camptandriidae (ESM Table S1). The latter species was classified as low-valued bycatch because it is not sold nor consumed by the fishermen in the area.
Relationship between hook size towards target species and bycatch species
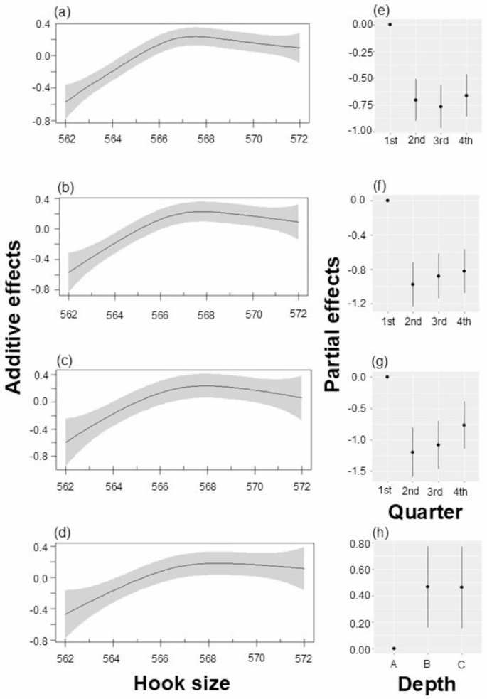
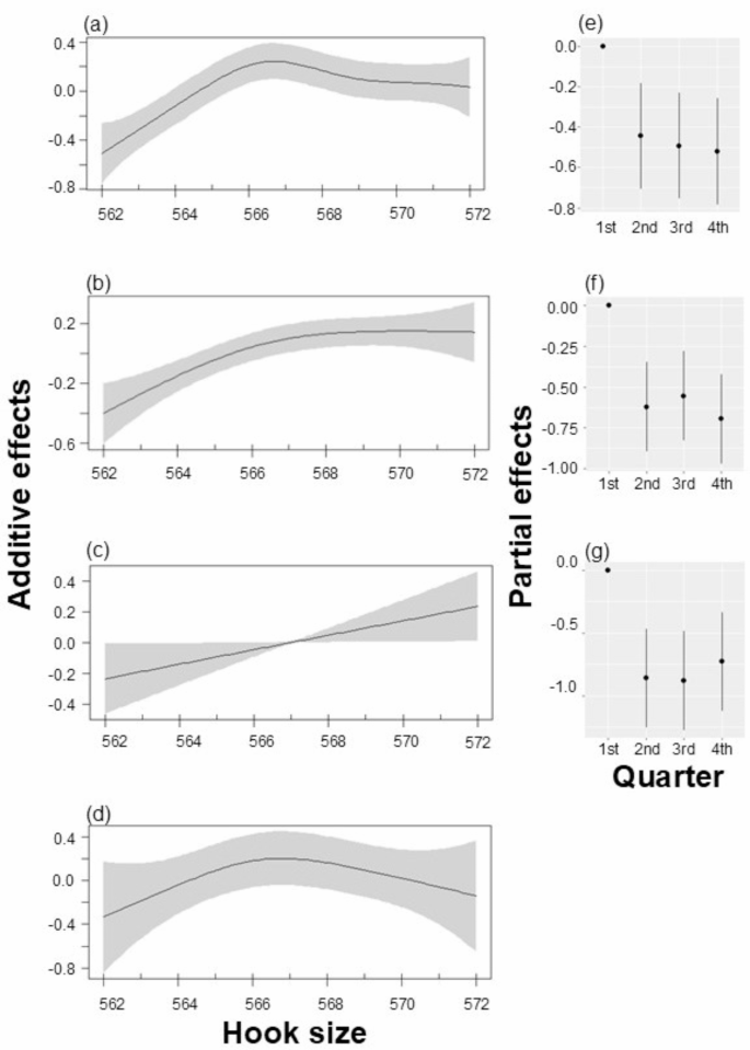
The generalized additive model (GAM) applied to the data on the BSLL fishing using Mustad J-type hooks revealed discernible selective patterns. Coefficients and estimates for the GAM analyses are summarized in ESM Table S2-4. The smooth-term predictions on fish catch counts and weights revealed an increasing trend transitioning from large to medium-sized hooks and a decreasing trend from medium to small hooks, with hook sizes #566 to #567 achieving peak performance in both catch counts and weights, suggesting their effectiveness in catching various fish species under the specified conditions (Figs. 1-a and 2-a). The analysis of variance (ANOVA) in GAM revealed a notably higher total catch in number and weight of all species during fishing trips in March 2012 (first quarter), with the lowest fish count observed during trips conducted in September 2012 (third quarter) while the lowest total cumulative weight was recorded in January 2013 (fourth quarter) (Figs. 1-e and 2-e).
Generalized additive model (GAM) plots for the additive effects on the catch counts for (a) all species, (b) Nemipteridae, (c) Nemipterus nematophorus, (d) bycatch; and partial effects on (e) all species, (f) Nemipteridae, (g) N. nematophorus, and (h) bycatch using hook size, quarter, and depth as an explanatory variable. Shaded areas in the spline represent the 95% confidence intervals.
Generalized additive model (GAM) plots for the additive effects on the catch weight (grams) for (a) all species, (b) Nemipteridae, (c) Nemipterus nematophorus, (d) bycatch; and partial effects on (e) all species, (f) Nemipteridae, and (g) N. nematophorus using hook size, and quarter as an explanatory variable. Shaded areas in the spline represent the 95% confidence intervals.
The use of various hook sizes exhibited highly significant differences in the catch quantities of the target fish group, the nemipterids (p < 0.001, Table 1). Furthermore, estimates from the GAM analyses revealed that significantly more nemipterid fishes were observed in March 2012 (first quarter) compared to other quarterly fishing trips (p < 0.001, Figs. 1-f and 2-f). The trends in catch amounts for the number of nemipterid fishes and the total cumulative fish weights based on hook sizes were exemplified in the partial GAM plots (Figs. 1-b and 2-b). This trend was also observed on the most abundant target species, N. nematophorus, where catches in terms of fish counts peaked when using medium-sized hooks specifically using hooks #567 and #568 (Fig. 1-c).
Analyses of bycatch species revealed significantly low fish counts within category Depth A, characterized by water depths ranging from 21 to 40 m in comparison to deeper depth categories (GAM, p < 0.01; Fig. 1-h), although the depth was not adopted in the GAM for bycatch weight (Table 1). The count and weight of bycatch fishes showed an increasing trend from the biggest hooks to the medium-sized hooks and a subtle decreasing trend towards the smallest hook size (Figs. 1-d and 2-d). Notable peaks in bycatch catch counts and weights were observed at the medium-hook sizes ranging from #566 to #568, with diminishing trends towards the biggest hooks (#562) and towards the smallest hooks (#572). The medium hooks #566 until #568 emerged as associated with the high frequency of bycatch species, suggesting an increased vulnerability of bycatch species to these hook dimensions along with the target nemipterid group, signifying an unclear pattern on species selectivity.
Selectivity of hooks towards the individual size of the target species
Analyzing the individual standard length (SL, mm) and individual weights (g) of N. nematophorus, the hook size significantly influenced the variation in the individual fish length and weights (GAM, p < 0.05, Table 1). Additionally, the smooth term curves illustrated that the smallest fish sizes were observed with hook sizes #568, #569, and #570 (Figs. 3a and b). According to the estimates in the GAM, fish caught were smaller in terms of length and weight during the first quarter (March 2012) compared to other sampling trips (Figs. 3c and d). Furthermore, the species N. nematophorus caught in September 2012 (third quarter) were larger in length than those caught in the second and fourth quarters (Fig. 3-c).
Generalized additive model (GAM) plots for the additive effects on the pooled data for (a) Nemipterus nematophorus individual standard length (mm), (b) individual weight (grams); and partial effects for (c) Nemipterus nematophorus individual standard length (mm), (d) individual weight (grams) using hook size and quarter as an explanatory variable. Shaded areas in the spline represent the 95% confidence intervals.
Discussion
The present study highlighted the impact of hook sizes on the catch in BSLL fisheries. The use of Generalized Additive Models (GAMs) was crucial for capturing the complex, non-linear dynamics between hook size and catch variation in BSLL fisheries. GAMs detected subtle trends that more widely recognized models might have missed, such as the finding that medium hook sizes optimized threadfin bream catch while also capturing bycatch, with fishing depth further influencing the catch variation. The results of the analyses emphasize the value of GAMs in supporting sustainable fishing practices. The GAM analysis provided smooth interpretations and understanding of the relationships between hook size and various aspects of fish selectivity, shedding light on the differences in hook size performance in real-world fishing scenarios.
The number of species captured by BSLL gear suggests its potential for uncontrolled fishing within the current demersal fish community. A high percentage of catches were nemipterid species, with less than 1% bycatch of non-valuable catches (L. enermis and the unidentified crab), which are candidates for discard, were observed throughout the study. The use of bottom longlines is associated with a reduced amount of discarded bycatch compared to the use of net gears14.
The choice of hooks to catch target fishes and to minimize bycatch is very important for conservation benefits15. Target species caught using the BSLL outnumbered bycatch, but certain hook sizes showed higher effectiveness in catching target species. This study revealed that Mustad J-type hook #566, which is the commonly used hook for BSLL fishing operations in Unisan Island, has the potential to catch the target nemipterid fishes most efficiently but includes bycatch in considerable quantity. Although multispecies fishing can be highly beneficial to fishermen, some fishing practices can be highly exploitative for small-sized individuals, which is why addressing size-selective fishing is essential. In the present study, bigger hook sizes ranging from #562 to #564 resulted in fewer total catches but caught bigger fish. The lowest catch using the largest hooks was also observed in Portuguese multi-species artisanal longline fisheries, although hook size showed little effect on the minimum size of captured fish16. The impact of hook size on the size selectivity may vary depending on the target species. Predictions regarding hook-selective patterns for snapper size were not proven based solely on hook size, as all hook sizes have the potential to catch various sizes of fish17. For grouper, the largest hooks caught the smallest individuals, demonstrating that size selection may vary based on the target species18. On the other hand, hook size influenced the size of captured cyprinid fish, wherein the ability of big hooks to select big-sized fish was noted1.
In this study, hook sizes within the range of #562 to #565 were associated with the least bycatch, despite yielding lower catches of the target fish group. This highlights the importance of selecting an appropriate hook size to minimize unintended catches. Smaller hooks, ranging from #569 to #572, showed a subtle decline in bycatch compared to hook sizes ranging from #566 to #568. Hook sizes #566 and #568 appeared to capture more bycatch species, suggesting a need for a careful balance in hook size selection. Importantly, no endangered species were hooked during the experimental fishing, indicating a positive aspect of the chosen hook sizes in minimizing environmental effects.
The study also observed seasonal variation, where fishing operations during the first quarter (March) yielded higher catches of the target nemipterid species compared to other months. These findings emphasize the importance of considering seasonal variability in planning fishing operations to optimize catch rates while maintaining sustainability. The periodic catch patterns in certain regions suggest that longline fisheries operate on predictable seasonal cycles, allowing fishers to identify optimal times for maximizing yield30.
Adjusting the features of fishing gear has proven to be crucial for shaping fishing practices, such as reducing the capture of certain age groups or minimizing bycatch19. Considering species and size selectivity is crucial in fishing practices, some studies focus on hook size for selective fishing, while others investigate different hook designs made by manufacturers, i.e., J-type hooks versus circle hooks, and some rely on innovative fishing gear to enable the release of non-target species, thereby minimizing undesired catches1,13,15,20. Furthermore, hook types can also be a factor in improving fishing efficiency. In grouper fisheries, the use of J-type hooks compared to circle hooks showed no noticeable differences in catch rates for overall grouper species; similarly, there were no differences observed when applied to small-sized groupers15. However, the circle hook is a more effective hook type than the J-type one in reducing bycatch and mitigating potential harm to unintentionally caught species in pelagic longline fisheries21. The practice of releasing bycatch species is an effective strategy in fisheries management; however, ensuring the survival of the released animals requires careful consideration. Despite no observed differences in the survival of nemipterids between circle hooks and J-type hooks, these fishes have displayed symptoms of barotrauma or pressure-related injuries, which could contribute to mortality upon release13. Additional issues contributing to the mortality of released fish include gut injury. The J-type hooks may cause more significant damage to fish guts compared to circle hooks, as J-type hooks can deeply hook into the fish’s digestive tract18. The utilization of smaller hooks is more prone to penetrating the digestive tracts of non-target species18. Moreover, ongoing destructive practices like dynamite fishing, cyanide fishing, and muro-ami fishing, along with inadequate enforcement of laws and regulations, pose serious threats to diverse ecosystems22. Furthermore, in fisheries management, knowledge of various fishing gears is essential23. With the escalation of the use of non-selective, active, and destructive fishing gears to increase fishing yields, it is beneficial to strengthen and revitalize government regulations to foster sustainability in small-scale fisheries24.
Fish capture management is essential for balancing the economic, social, and environmental aspects of fisheries, ensuring the long-term sustainability of marine resources and ecosystems. Data on catch rates and indices are deemed important in demersal fishing25. The absence of relevant fisheries data for nemipterid species, including production profiles and gear specifications, poses additional challenges to the effective implementation of resource management measures. Nemipterid fish species are continuously being threatened by unregulated fishing practices in the present area, including the capture of smaller sizes, which can be preserved to reach the right size for capturing. Furthermore, catching non-target species as bycatch in longline fisheries targeting nemipterid fishes in the Philippines has far-reaching implications for the environment and local communities. While bycatch negatively impacts marine ecosystems by threatening species diversity and ecosystem function, it also presents socio-economic challenges for local fishers who rely on a stable and sustainable catch29. Selecting the optimal hook size to reduce bycatch is essential in capture fisheries management and supports sustainable use of resources.
In conclusion, the present study reveals that using Mustad J-type hooks #562–#565 can catch bigger nemipterid fish, while smaller hooks can increase the catchability for both target and bycatch species. This condition can be useful in the implementation of fishing regulation and management. The avoidance of using hooks with a high ability to catch non-target species can have a temporary negative effect among fishermen in terms of catch rates and income but can be more beneficial in the long run. Furthermore, the use of hook size #566 demonstrates the potential to effectively catch a wider range of fish species and sizes. However, in fishing management, the use of smaller hooks may be impractical as they can exploit undesirable fish sizes not intended for harvesting. For nemipterid fishing, hooks larger than #566 may offer greater selectivity for larger fish, promoting the concept of allowing smaller fish time to reach harvestable size. Additionally, fishing depth plays a crucial role in minimizing bycatch. This study found that fishing in water depths ranging from 21 to 40 m resulted in lower bycatch compared to deeper waters. Likewise, the timing of fishing operations is also important. The results of this study enhance the understanding of hook size selectivity in BSLL fisheries, particularly in tropical waters with multispecies assemblages. It highlights how hook size influences catch composition, filling a key knowledge gap by providing baseline data on BSLL operations targeting threadfin breams. Also, it offers practical recommendations for local fishermen and fisheries managers, showing that hook size is a valuable tool for optimizing catch efficiency and reducing bycatch – crucial for sustaining municipal fisheries in the Philippines and other tropical fishing grounds, where communities rely on coastal resources. To assess whether sustainable fishing can be achieved by using large hooks, further studies should be conducted to monitor the long-term changes in the fishing impacts of BSLL utilizing large hooks. Additionally, the use of other hook designs, associated baits, studies on fish mouth morphology, and other metrics should be considered in future studies to add more comprehensive knowledge concerning nemipterid fishing management. Furthermore, addressing other limitations such as seasonal and spatial variability in catch patterns, and environmental factors such as temperature and currents underscore the need for integrated fisheries research. Future studies should include long-term, year-round sampling to capture changes over time. Additionally, potential biases from site selection and non-randomized efforts should be addressed to enhance the findings’ broader applicability.
Methods
Data on bottom set longline (BSLL) experimental fishing conducted from March 2012 to January 2013 were used to investigate demersal fish species composition, fishing efficiency of BSLL using various hook sizes, hook selectivity, and bycatch.
Experimental fishing site
The experimental fishing for demersal fish species using BSLL gear with various hook sizes was conducted off Unisan Island, Nueva Valencia, Guimaras, Philippines (GPS 10.33° N, 122.59° E). This is the southernmost island in Guimaras Province, Philippines (ESM Fig. 1). This island was one of the affected areas in Guimaras by the biggest oil spill incident in the country in 200626.
Fishing gear
The Bottom-set Longline (BSLL) locally known as “Palangre/Labay” gear consists of a constructed 1.0 m × 1.0 m wooden box frame called a serpit with a series of baited fishing hooks pre-arranged on the sides of the gear before the fishing operation (Fig. 4-a). The serpit has an attached mainline (monofilament nylon #25) which has a series of branch lines (monofilament nylon #12, 2.0 m long) at intervals of 1.5 m. Each branch line is equipped with one fishing hook of a desired size depending on the target fish species to be caught. A buoy was attached at the mainline’s beginning and endpoints. Furthermore, buoys and 0.5 kg sinkers are attached to the mainline at every 100 hundred branch line intervals. In the local fishing villages, fishermen mostly use fine sands to keep the fishing lines from intertwining. These fine sands were placed on top of the bunch of arranged nylon lines (Fig. 4-b).
The fishing gear, baits, and mustad J-hook utilized to catch and assess nemipterids and other demersal fishes in Unisan Island, Guimaras, Philippines. (a) Series of baited hooks of a bottom set longlines (BSLL) gear. (b) Fine sands were placed on top of the nylon bunch in the BSLL which acted as a stopper and was used for preventing the entanglement of nylons during fishing operations. (c) Medium-sundried and filleted Bali Sardine, Sardinella lemuru baits. (d) Mustad J-type hook.
Bait material
Each hook attached to the mainline of the BSLL was baited with fish bait. The fish bait used was Sardinella lemuru, a very common bait for municipal longline fishing in most areas in the Philippines due to its availability and low cost. The fish bait was filleted, with the head and bones removed, and medium sundried (12 h), ensuring the desired moisture for the bait to be firm enough when attached to fishing hooks. Sun-dried sardines are very useful on islands where refrigeration facilities for frozen or fresh bait materials are limited. Furthermore, this sundried fish bait can also be advantageous in minimizing bait loss. The medium sundried filleted S. lemuru fish bait was cut diagonally to about 4 mm width and carefully attached to each hook of the BSLL (Fig. 4-c) before each fishing trip.
Experimental setting and design
The systematic randomization of 11 hook sizes was implemented to investigate fish catch variation, species- and size-selectivity, and bycatch in bottom set longline (BSLL) fisheries targeting nemipterid fishes. The hook sizes used were Mustad J-type fishing hooks (REF. 900 MD – Mustad Round Bent Sea Hooks), labeled as #562 to #572 (Fig. 4-d). It is important to note that the assigned hook size numbers are inversely proportional to the actual hook size dimensions (ESM Table S5). Hook dimensions were measured using a Mitutoyo N15 vernier caliper for accuracy.
A series of systematic randomized hook arrangements consisting of all 11 hook sizes is shown in ESM Figure S2. This series was repeated up to 30 times, resulting in 330 hooks per replicate. This repeated arrangement was further replicated up to 10 times per system, yielding 3,360 hooks per complete set. Separate sets of 3,360 hooks were deployed simultaneously at each of the three depth categories, ensuring equal representation of all hook sizes across depth categories and replicates. Randomization was applied throughout the BSLL mainline, from the first hook series to the last. To eliminate edge effects, a buffer of 50 hooks (size #566) was attached before the first experimental series, and the same number of hooks was also attached after the last experimental series.
The BSLL gear was deployed in three distinct depth categories: 21–40 m (Category A), 41–60 m (Category B), and 61–80 m (Category C). Sampling was conducted during four quarterly fishing trips: March 2012 (first quarter), July 2012 (second quarter), September 2012 (third quarter), and January 2013 (fourth quarter). These months were chosen based on the seasonal weather patterns in the Philippines, with a dry season from November to April and a wet season from May to October. Additionally, sampling during August and September was chosen because it represents transition (inter-monsoon) periods. The sampling operations were further adjusted based on the actual sea conditions, weather patterns, and safety considerations to ensure optimal and safe fishing operations.
Fishing operations commenced at 0600 H, with the BSLL deployed at all depth categories simultaneously. The deployment began with the first hook series and continued sequentially until the last series was set onboard a municipal motorized boat. Immediately after deployment, the longline was hauled, starting from the first series to the last.
This systematic and simultaneous deployment across depth categories and hook sizes ensured comprehensive and unbiased data collection on catch variation, species selectivity, and bycatch.
Data collection and statistical analyses
All catches from the experimental BSLL fishing were separated and coded using net bags according to hook size. Subsequently, they were transported to the laboratory for species identification and biometric recording, including the individual standard length (SL, mm) of the fish and weights (g). Biometric data collection was restricted to the target group of fishes belonging to the Family Nemipteridae, commonly referred to as seabreams. All other captured fish were weighed, counted, and identified at the lowest possible taxonomic level. Catches recognized as nemipterids but rendered unidentifiable due to missing portions of definitive characteristics essential for species-level identification were tallied and grouped. Data across sampling depths and sampling periods, especially for the most caught nemipterid species, N. Nemipterus, were examined to assess the impact of hook sizes on the fish size. Specifically, the response variables included the weights and counts of all species, bycatch, and all nemipterids. Additionally, the weights, counts, and standard length of N. nematophorus were considered in the analysis.
The Generalized Additive Model (GAM) was implemented using the mgcv 1.9-1 in R statistical package27, as the following formula:
where the smooth function \(\:s\left(Hooksize\right)\)was constructed based on cubic spline interpolation. Automated model selection using the Akaike Information Criterion (AIC) was performed under the MuMIn 1.47.5 package28. Various statistical distributions, such as normal, log-normal, and Gamma for weight and length data, as well as Poisson or negative binomial for count data, were explored to identify the best fit for the data.
The estimates of parameters, including parametric coefficients, their corresponding chi-square tests, and z-values, were recorded. The adjusted R-square and explained deviance were noted for the selected models. Interpretation of partial effects plots of \(\:s\left(Hooksize\right)\) was based on the estimates of its coefficients. All p-values from these statistical tools were interpreted at a significance level of 0.05.
This robust analytical approach contributed to a comprehensive understanding of the selective capturing dynamics of nemipterid species and associated bycatch considerations within the context of experimental BSLL fishing. The inclusion of hook size, depth, and seasonal factors as explanatory variables ensured that potential variations in catch rates could be attributed to the relevant factors, improving the transparency and robustness of the analysis.
Data availability
The datasets generated during and/or analyzed during the current study are available from the corresponding author upon reasonable request. Correspondence and requests for materials should be addressed to A.C.M.
References
Ateşşahin, T. & Dürrani, Ö. Effects of hook size and bait type on the size selectivity and short-time post-release mortality of a cyprinid fish (Cyprinus carpio L.) in recreational fisheries. Fish. Res. 261, 106640. https://doi.org/10.1016/j.fishres.2023.106640 (2023).
Huse, I., Løkkeborg, S. & Vold Soldal, A. Relative selectivity in trawl, longline and gillnet fisheries for cod and haddock. ICES J. Mar. Sci. 57, 1271–1282. https://doi.org/10.1006/jmsc.2000.00813 (2000).
Christiansen, H. M., Solomon, J. J., Switzer, T. S. & Brodie, R. B. Assessing the size selectivity of capture gears for reef fishes using paired stereo-baited remote underwater video. Fish. Res. 249, 106234. https://doi.org/10.1016/j.fishres.2022.106234 (2022).
Winner, B. L. et al. A habitat-based, fishery-independent survey using actively fished hooked gear successfully characterizes reef fish populations in the Eastern Gulf of Mexico. North. Am. J. Fish. Manag. 42, 1575–1594. https://doi.org/10.1002/nafm.10846 (2022).
Naganandhini, V. et al. Influence of hook number on species composition, catch rate, and size of Needlefishes in the Gulf of Mannar, India. J. Coast Res. 39, 502–508. https://doi.org/10.2112/JCOASTRES-D-22-00067.1 (2023).
Lomeli, M. J. M. et al. Testing of hook sizes and appendages to reduce yelloweye rockfish bycatch in a Pacific halibut longline fishery. Ocean Coast. Manag. 241, 106664. https://doi.org/10.31398/tpjf/25.1.2017c0016 (2023).
Candelario, M., Gonzales, L. & Jardin, J. Status of fisheries resources of Honda Bay (2003–2013). Philipp J. Fish. 25, 52–61. https://doi.org/10.31398/tpjf/25.1.2017C0006 (2018).
Emperua, L. et al. The small pelagic fisheries of Sarangani Bay, Southern Mindanao, Philippines. Philipp J. Fish. 25, 118–127. https://doi.org/10.31398/tpjf/25.1.2017C0014 (2018).
Mamalangkap, M., Mokamad, U. & Ayub, S. Assessment of small pelagic species landed in ARMM, Sulu Sea. Philipp J. Fish. 25, 183–192. https://doi.org/10.31398/tpjf/25.1.2017C0016 (2018).
Quiñones, M. et al. Socio-economic condition among the fisherfolks in Iligan Bay, Northern Mindanao, Philippines. J. Environ. Aquat. Resour. 5, 43–60. https://doi.org/10.48031/msunjear.2020.05.04 (2020).
Rojas-Salinas, A., Sajot C.P., & De Guzman, A.B. Coastal fisheries in Lianga Bay: its potential vulnerability to climate change. DSSU Multidisciplinary Res. J. 1, 1. https://www.researchgate.net/publication/356816901 (2021).
Monteclaro, H., Anraku, K. & Ishikawa, S. Field guidebook on Philippine fishing gears: fishing gears in estuaries (Research Institute for Humanity and Nature p.159, 2017).
Balisco, R. A. & Babaran, R. P. Survival of handline-caught nemipterids in Guimaras, Philippines. Phil J. Nat. Sci. 15, 1–8. https://www.researchgate.net/publication/266390106 (2010).
Bousquet, C. et al. Assessment of catch composition, production and fishing effort of small-scale fisheries: the case study of Corsica Island (Mediterranean Sea). Ocean. Coast Manag. 218, 105998. https://doi.org/10.1016/j.ocecoaman.2021.105998 (2022).
Echwikhi, K., Jribi, I., Saidi, B. & Bradai, M. N. The influence of the type of hook on the capture of groupers and bycatch with bottom longline in the Gulf of Gabès, Tunisia. J. Mar. Biol. Assoc. UK. 95, 207–214. https://doi.org/10.1017/S0025315414001180 (2015).
Erzini, K. et al. Species and size selectivity in a Portuguese multispecies artisanal long-line fishery. ICES J. Mar. Sci. 53, 811–819. https://doi.org/10.1006/jmsc.1996.0102 (1996).
Otway, N. M. & Craig, J. R. Effects of hook size on the catches of undersized snapper Pagrus auratus. Mar. Ecol. Prog Ser. 93, 9–15. https://doi.org/10.3354/meps093009 (1993).
Bacheler, N. M. & Buckel, J. A. Does hook type influence the catch rate, size, and injury of grouper in a North Carolina commercial fishery? Fish. Res. 69, 303–311. https://doi.org/10.1016/j.fishres.2004.07.001 (2004).
Breen, M. et al. Selective fishing and balanced harvesting. Fish. Res. 184, 2–8. https://doi.org/10.1016/j.fishres.2016.03.014 (2016).
Guyomard, D. et al. An innovative fishing gear to enhance the release of non-target species in coastal shark-control programs: the SMART (shark management alert in real-time) drumline. Fish. Res. 216, 6–17. https://doi.org/10.1016/j.fishres.2019.03.011 (2019).
Lima, F. D. et al. Effects of gear modifications in a North Atlantic pelagic longline fishery: a multiyear study. PLoS One. 18, e0292727. https://doi.org/10.1371/journal.pone.0292727 (2023).
Tahiluddin, A. & Sarri̇, J. An overview of destructive fishing in the Philippines. Acta Nat. Sci. 3, 116–125. https://doi.org/10.29329/actanatsci.2022.352.04 (2022).
Eyo, J. E. & Akpati, C. I. Fishing gears and methods. Proceedings of the UNDP-Sponsored Training Workshop on Artisanal Fisheries Development, Held at University of Nigeria, Nsukka pp. 143–159. https://www.researchgate.net/publication/233817982 (1995).
Selgrath, J. C., Gergel, S. E. & Vincent, A. C. J. Shifting gears: diversification, intensification, and effort increases in small-scale fisheries (1950–2010). PLoS One. 13 (3), e0190232. https://doi.org/10.1371/journal.pone.0190232 (2018).
Pinho, M. et al. Azorean demersal longline survey abundance estimates: procedures and variability. Reg. Stud. Mar. Sci. 39, 101443. https://doi.org/10.1016/j.rsma.2020.101443 (2020).
Alea, C. et al. An investigation of aquatic oil spills in the Philippines from 2000 to 2021. Mar. Pollut Bull. 185, 114241. https://doi.org/10.1016/j.marpolbul.2022.114241 (2022).
Wood, S. N. Generalized Additive Models: An Introduction with R, Second Edition. (CRC Press). Preprint at https://doi.org/10.1201/9781315370279 (2017).
Barton, K. MuMIn: Multi-Model Inference. R Package Version 1.47.5. Preprint at https://CRAN.R-project.org/package=MuMIn (2023).
Alverson, D. L., Freeberg, M. L., Murawski, S. A. & Pope, J. G. A global assessment of fisheries bycatch and discards. FAO Fisheries Technical Paper 339, Food and Agriculture Organization of the United Nations, Rome. (1994). Available at: https://www.fao.org/4/t4890e/T4890E00.htm#TOC. Accessed [November 23. 2024].
Kot, C. Y., Boustany, A. M. & Halpin, P. N. Temporal patterns of target catch and sea turtle bycatch in the US Atlantic pelagic longline fishing fleet. Can. J. Fish. Aquat. Sci. 66, 2019–2033. https://doi.org/10.1139/F09-160 (2009).
He, P., Chopin, F., Suuronen, P., Ferro, R. S. T. & Lansley, J. Classification and illustrated definition of fishing gears. FAO Fisheries Aquaculture Tech. Paper No. 672, 1–88. https://doi.org/10.4060/cb4966en (2021).
Acknowledgements
This research was supported by the National Disaster Coordinating Council of the Philippines and the University of the Philippines Visayas through the Office of the Vice-Chancellor for Research and Extension. This work would not have been possible without the cooperation of the fishermen and inhabitants of Unisan Island, Nueva Valencia, Guimaras, Philippines.
Author information
Authors and Affiliations
Contributions
A.C.M. conceptualization, methodology, data gathering, formal analyses, writing of the original draft; T.I. validation, data curation, data analyses; R.P.B. conceptualization, methodology, fund acquisition; A.J.B. data collection, data curation, data analyses, supplementary writing, and editing; T.T. data analyses, supervision, writing – review, editing, and fund acquisition.
Corresponding authors
Ethics declarations
Competing interests
The authors declare no competing interests.
Ethical approval
All applicable international, national, and institutional guidelines for the care and use of animals were followed by the authors.
Additional information
Publisher’s note
Springer Nature remains neutral with regard to jurisdictional claims in published maps and institutional affiliations.
Electronic supplementary material
Below is the link to the electronic supplementary material.
Rights and permissions
Open Access This article is licensed under a Creative Commons Attribution-NonCommercial-NoDerivatives 4.0 International License, which permits any non-commercial use, sharing, distribution and reproduction in any medium or format, as long as you give appropriate credit to the original author(s) and the source, provide a link to the Creative Commons licence, and indicate if you modified the licensed material. You do not have permission under this licence to share adapted material derived from this article or parts of it. The images or other third party material in this article are included in the article’s Creative Commons licence, unless indicated otherwise in a credit line to the material. If material is not included in the article’s Creative Commons licence and your intended use is not permitted by statutory regulation or exceeds the permitted use, you will need to obtain permission directly from the copyright holder. To view a copy of this licence, visit http://creativecommons.org/licenses/by-nc-nd/4.0/.
About this article
Cite this article
Macario, A.C., Islam, T., Babaran, R.P. et al. Effects of hook size on the catch variation, size selectivity, and bycatch of the bottom set longline fisheries targeting nemipterid fishes in the Philippines. Sci Rep 15, 1379 (2025). https://doi.org/10.1038/s41598-025-85726-4
Received:
Accepted:
Published:
Version of record:
DOI: https://doi.org/10.1038/s41598-025-85726-4






