Fig. 10
From: Mechanical response of elevated bridge piles to adjacent deep excavation

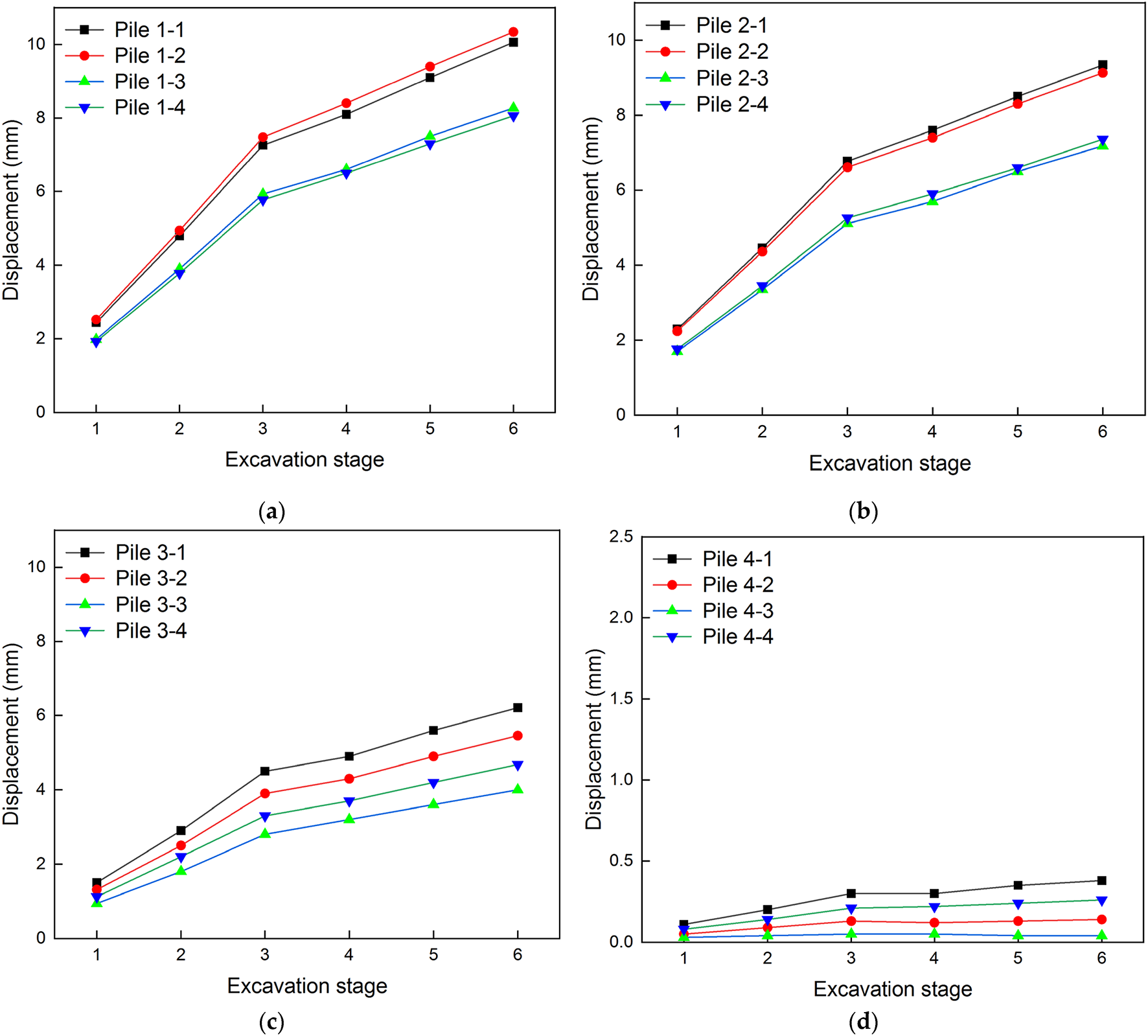
Comparison diagram of maximum pile displacement at different excavation stages (Z direction). (a)piles 1, (b)piles 2, (c)piles 3, (d)piles 4.
From: Mechanical response of elevated bridge piles to adjacent deep excavation

Comparison diagram of maximum pile displacement at different excavation stages (Z direction). (a)piles 1, (b)piles 2, (c)piles 3, (d)piles 4.