Fig. 2
From: An analytical study for predicting incipient motion velocity of sediments under ice cover

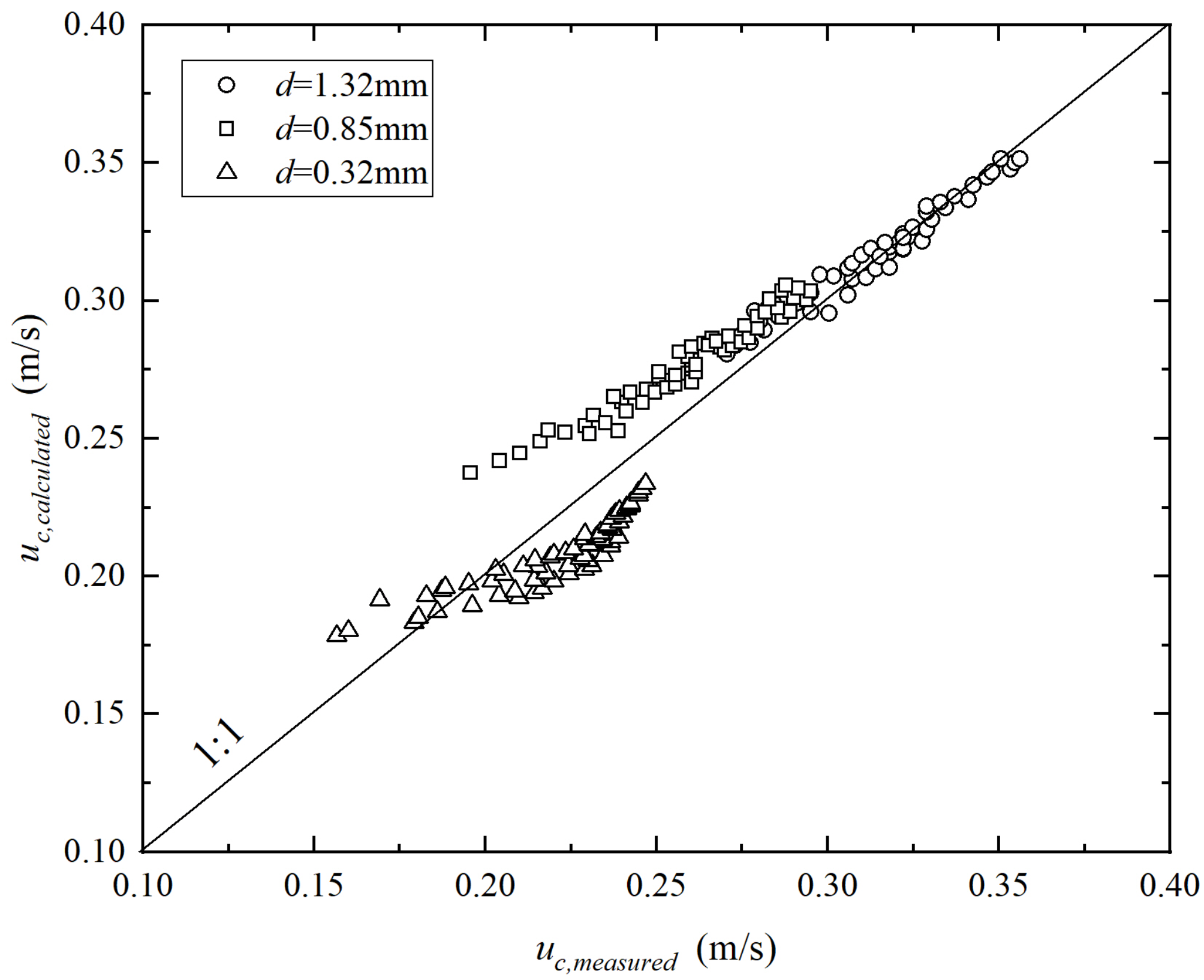
Comparison of the calculated and measured incipient motion velocities of sediment.
From: An analytical study for predicting incipient motion velocity of sediments under ice cover

Comparison of the calculated and measured incipient motion velocities of sediment.