Fig. 3
From: Invariance of the speckle pattern of the transmitted wave in periodic waveguides

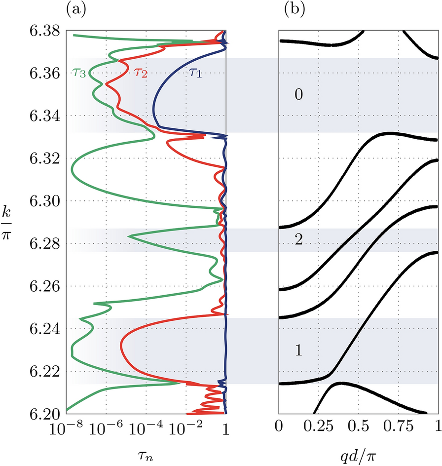
(a) Spectrum of the first three TEVs \(\tau _1> \tau _2 > \tau _3\) of a 10-cell finite periodic waveguide (\(M= 10\), \(d = 2\)), in the frequency range \(k/\pi \in [6.20, 6.38]\). (b) Dispersion relation of the equivalent infinite periodic waveguide in the same range of frequency. The numbers in the right plot are the number of pairs of right- and left-going propagating Bloch modes in the corresponding gray colored frequency interval. Numerics are performed using a mode-matching method (see Supplemental Material S1 for more details on the calculations).