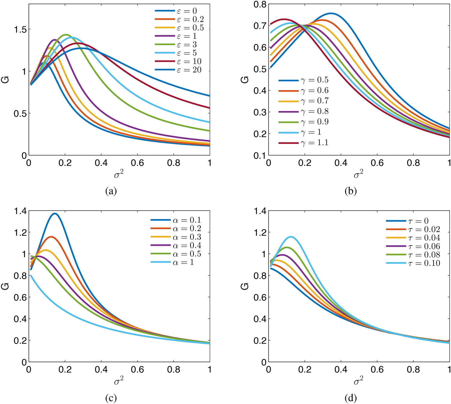
Fig. 6

GSR phenomena of \(G(\sigma ^2)\) for different \(\varepsilon\), \(\alpha\), \(\tau\) and \(\gamma\): (a) \(\alpha = 0.1\), \(\tau = 0.1\), \(m = 1.0\), \(\gamma = 1.0\), \(\omega = 2.0\), \(\Omega = 2.0\), \(\lambda = 0.5\); (b) \(\alpha = 0.3\), \(\tau = 0.1\), \(\varepsilon = 1\), \(m = 1.0\), \(\omega = 1.0\), \(\Omega = 0.6\pi\), \(\lambda = 0.5\); (c) \(\varepsilon = 1\), \(\tau = 0.1\), \(m = 1.0\), \(\gamma = 1.0\), \(\omega = 2.0\), \(\Omega = 2.0\), \(\lambda = 0.5\); (d) \(\varepsilon = 1\), \(\alpha = 0.2\), \(m = 1.0\), \(\gamma = 1.0\), \(\omega = 2.0\), \(\Omega = 2.0\), \(\lambda = 0.5\).