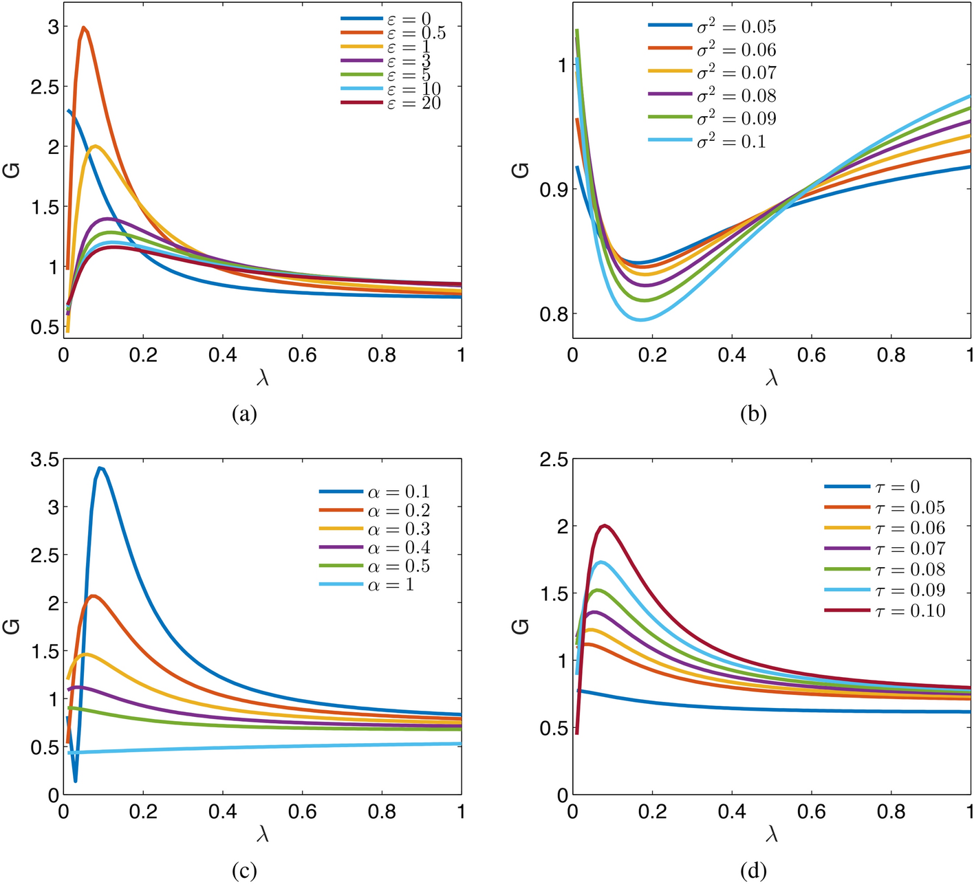
Fig. 7

GSR phenomena of \(G(\lambda )\) for different \(\varepsilon\), \(\alpha\) and \(\tau\): (a) \(\alpha = 0.4\), \(\tau = 0.1\), \(m = 1.0\), \(\gamma = 1.0\), \(\omega = 2.0\), \(\Omega = 2.0\), \(\sigma ^2 = 0.1\); (b) \(\alpha = 0.2\), \(\tau = 0.1\), \(\varepsilon = 1\), \(m = 1.0\), \(\gamma = 1.3\), \(\omega = 1.0\), \(\Omega = 0.6\pi\); (c) \(\varepsilon = 1\), \(\tau = 0.05\), \(m = 1.0\), \(\gamma = 1.0\), \(\omega = 2.0\), \(\Omega = 2.0\), \(\sigma ^2 = 0.1\); (d) \(\varepsilon = 1\), \(\alpha = 0.4\), \(m = 1.0\), \(\gamma = 1.0\), \(\omega = 2.0\), \(\Omega = 2.0\), \(\sigma ^2 = 0.1\).