Fig. 3
From: Polymorphism and magnetism in a Kitaev honeycomb cobaltate KCoAsO4

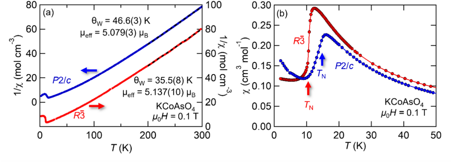
(a) Temperature dependence of inverse magnetic susceptibility 1/χ for P2/c-type KCoAsO4 and R\(\overline{3 }\)-type KCoAsO4. The dotted line represents a fit to the Curie–Weiss model. (b) Temperature dependence of the magnetic susceptibility χ in the low temperature region. Arrows indicates the magnetic ordering temperature, determined by the peak of d(χT)/dT.