Abstract
We report the synthesis, crystal structure, and magnetic properties of a new Kitaev honeycomb cobaltate, KCoAsO4, which crystallizes in two distinct forms: P2/c and R\(\overline{3 }\) space groups. Magnetic measurements reveal ordering temperatures of ~ 14 K for the P2/c structure and ~ 10.5 K for the R\(\overline{3 }\) structure. The P2/c-type KCoAsO4 sample exhibits a complex temperature-field phase diagram, including a field-induced phase, while the R\(\overline{3 }\)-type KCoAsO4 shows a simpler phase diagram with a single magnetically ordered phase. The observed differences in magnetic properties are attributed to subtle structural variations, strongly suggesting that local structural changes play a crucial role in determining the magnetism of cobaltate-based Kitaev materials.
Similar content being viewed by others
Introduction
Spin frustration serves as a cornerstone in the study of unconventional magnetic ground states within condensed matter physics. Geometrical frustration can emerge naturally in specific lattice geometries, particularly in non-bipartite structures like triangular and kagome lattices. These geometries inherently prevent Néel-type antiferromagnetic order, fostering the formation of unconventional quantum states, such as quantum spin liquids (QSLs), which are defined by long-range quantum entanglement rather than classical magnetic order1,2,3,4,5,6,7.
Recently, honeycomb lattices have become central to QSL research. Despite being bipartite, these lattices introduce a unique form of spin frustration through bond-dependent anisotropic interactions, often referred to as Kitaev interactions8,9,10,11. Remarkably, in such Kitaev systems, an exactly solvable QSL phase emerges, characterized by fractional excitations: itinerant Majorana fermions and localized Z2 fluxes, which serve as the elementary excitations of the ground state8,9,10,11. Kitaev interactions are theoretically predicted to occur between magnetic ions with spin–orbit-entangled Jeff = 1/2 pseudospins9. In edge-sharing metal–ligand octahedra, quantum interference between multiple superexchange pathways can cancel out the typical isotropic ferromagnetic/antiferromagnetic Heisenberg interaction, leaving behind the Kitaev interaction. This mechanism has been proposed for 4d ruthenates and 5d iridates with d5 electron configurations, which have been the focus of extensive experimental efforts including the development of novel materials10,11.
More recently, despite the weak spin–orbit coupling of 3d7 ions like Co2+, they have been recognized as potential hosts for Kitaev physics due to the presence of a Jeff = 1/2 Kramers doublet in the ground state12,13,14,15,16. A detailed theoretical analysis of the superexchange interactions reveals that ferromagnetic and antiferromagnetic Heisenberg interactions along the different superexchange pathway effectively cancel each other, making the Kitaev interaction dominant and thereby realizing the Kitaev-Heisenberg model12,13,14,15,16. Moreover, the ratio of Kitaev-Heisenberg interaction parameters can be tuned by Hund’s coupling and crystal field splitting, suggesting that realistic crystal structures may host a QSL12,13,16. This prediction has prompted a re-examination of honeycomb cobaltates, such as Na2Co2TeO617,18,19,20,21, Na3Co2SbO617,21,22, Ca3Co2SbO623,24, BaCo2(AsO4)225,26,27,28, and BaCo2(PO4)229,30, within the framework of the Kitaev-Heisenberg model. These insights have also spurred the development of new materials, such as Li3Co2SbO631 and CaCo2TeO632, leading to a surge of interest in investigating Kitaev physics in cobaltates.
However, recent theoretical and experimental studies have raised doubts about whether cobaltates can truly be regarded as Kitaev candidates. Theoretical investigations of BaCo2(AsO4)2 have shown that its spin model is more accurately described by an XXZ model, where the third-nearest-neighbor Heisenberg interaction J3 on a honeycomb lattice plays a significant role, and the Kitaev interaction is negligible33. Neutron inelastic scattering measurements further support this finding, showing that the Kitaev interaction is nearly absent and that the system is well explained by the XXZ-J1-J3 model on honeycomb lattice28. Additionally, the 1/3 magnetization plateau observed during isothermal magnetization processes at cryogenic temperatures is successfully reproduced by the XXZ-J1-J3 honeycomb model28. Conversely, ab initio calculations have shown that in Na3Co2SbO6 and Na2Co2TeO6, the Kitaev interaction becomes comparable in strength to the Heisenberg interaction33. This theoretical insight is further supported by inelastic neutron scattering, which demonstrates that in both compounds, the ferromagnetic Kitaev interaction is dominant, accompanied by a comparable antiferromagnetic Heisenberg interaction34. Despite the structural similarities shared by honeycomb cobaltate systems, their spin models exhibit differences that stem from direct Co–Co exchange interactions—an aspect that was initially overlooked in the Kitaev mechanism for cobaltates14. Furthermore, the weakening of superexchange interactions that give rise to Kitaev interactions has been theoretically demonstrated to be influenced by trigonal crystal field33, and this is now being increasingly supported by experimental evidence24. Thus, resolving the ongoing debate over the relevance of the Kitaev model to honeycomb cobaltates will require studies on a broader range of materials and the development of new candidate systems to further advance our understanding of Kitaev physics.
In this letter, we report the synthesis, crystal structure, and magnetic properties of the novel cobaltate-based Kitaev candidate material, KCoAsO4. The crystal structure crystallizes in two distinct forms: P2/c and R\(\overline{3 }\) space groups, distinguished by the presence or absence of distortions in the honeycomb network. At low magnetic fields, P2/c-type KCoAsO4 shows magnetic ordering around 14 K, while R\(\overline{3 }\)-type KCoAsO4 shows magnetic order at 10.5 K. Isothermal magnetization measurements at 2 K reveal two magnetic anomalies in P2/c-type KCoAsO4 before reaching saturation, whereas R\(\overline{3 }\)-type KCoAsO4 shows a single anomaly at saturation. The R\(\overline{3 }\)-type KCoAsO4 presents a straightforward temperature-field phase diagram with one magnetically ordered phase, while P2/c-type KCoAsO4 displays a more complex diagram, including a magnetic-field-induced phase. The observed differences in the magnetic properties between the two structures are likely attributed to subtle structural variations, strongly supporting the notion that slight changes in local structure play a critical role in determining the magnetism of cobaltate-based Kitaev materials.
Experimental methods
Monoclinic KCoAsO4 was synthesized using a standard hydrothermal method. The starting materials were As2O5·xH2O (> 99.99%, Sigma-Aldrich), Co(OH)2 (99.9%, FUJIFILM Wako Pure Chemical Corporation), KOH (99%, FUJIFILM Wako Pure Chemical Corporation), and deionized water. In a 30 mL PTFE beaker, 200 mg of Co(OH)2, 430 mg of KOH, 600 mg of As2O5·xH2O, and 3 mL of deionized water were combined. The beaker was heated at 230 °C for 60 h in a stainless-steel hydrothermal autoclave. After the reaction, the resulting sample was washed several times with deionized water, followed by washes with acetone twice, and then dried at room temperature to obtain a pink powder. Trigonal KCoAsO4 was synthesized by heating the monoclinic KCoAsO4 powder in air at 300 °C for 12 h. These products were characterized by powder x-ray diffraction (XRD) experiments in a diffractometer with Cu-Kα radiation, and chemical analysis was conducted using a scanning electron microscope (JEOL IT100) equipped with an energy dispersive x-ray spectroscope (EDX) with 15 kV, 0.8 nA, 1 μm beam diameter). In addition, the cell parameters and crystal structure were refined by the Rietveld method using the z-rietveld software35. The temperature dependence of the magnetization was measured under several magnetic fields using the magnetic property measurement system (MPMS; Quantum Design) at the Institute for Solid State Physics, the University of Tokyo.
Results and discussion
The room-temperature powder x-ray diffraction patterns of hydrothermally synthesized KCoAsO4 and the sample after thermal treatment at 300 °C are shown in Fig. 1a,b, respectively. The peaks are consistently indexed to reflections corresponding to the P2/c space group with monoclinic lattice parameters a = 8.74355(8) Å, b = 5.04192(5) Å, c = 20.3188(1) Å, and β = 108.5760(8)º, and to the R\(\overline{3 }\) space group with trigonal lattice parameters a = 5.039567(9) Å, and c = 28.76421(5) Å. The chemical composition determined by EDX is K:Co:As = 0.98(2):1.04(1):0.98(1) for monoclinic KCoAsO4, and K:Co:As = 0.96(2):1.02(2):1.00(1) for trigonal KCoAsO4, which are close to the ideal stoichiometry. These results confirm the successful synthesis of polymorphic KCoAsO4. Moreover, our Rietveld refinements for the P2/c and R\(\overline{3 }\) structures show excellent convergence as shown in Fig. 1a,b, with the refined crystallographic parameters listed in Tables 1 and 2.
The result of Rietveld refinement of (a) P2/c-type KCoAsO4 and (b) R\(\overline{3 }\)-type KCoAsO4. The observed intensities (red circles), calculated intensities (black line), and their differences (blue curve at the bottom) are shown. The green vertical bars indicate the positions of Bragg reflections, respectively.
The R\(\overline{3 }\)-type KCoAsO4 has the same structure as the previously reported KNiAsO436,37 and features a similar layered arrangement to the Kitaev candidate material BaCo2(AsO4)225. Notably, crystallization in the P2/c structure has not been reported for either KNiAsO436,37 or BaCo2(AsO4)225, suggesting that the P2/c phase obtained via hydrothermal synthesis is a metastable phase formed through kinetically controlled reactions. This conclusion is further supported by the irreversible transformation from the P2/c structure to the R\(\overline{3 }\) structure upon annealing at a relatively low temperature of 300 °C. Additional evidence for the greater stability of the R\(\overline{3 }\) structure compared to the P2/c structure was obtained through first-principles structural optimization using the quantum espresso package38. Even when monoclinic distortion was introduced into the initial structure, structural optimization consistently led to the relaxation of the monoclinic distortion, converging to the R\(\overline{3 }\) structure. This result further confirms the thermodynamic stability of the R\(\overline{3 }\) structure.
The P2/c structure exhibits significant distortion. As shown in the upper panel of Fig. 2, the Co honeycomb network is split into two distinct Co sites (Co1 and Co2) due to monoclinic distortion, resulting in four different Co–Co bond lengths. In contrast, as shown in the bottom panel of Fig. 2, the R\(\overline{3 }\) structure, which lacks monoclinic distortion, has only one Co–Co bond length of 2.916 Å, forming an undistorted, ideal honeycomb lattice. The distortions in the CoO6 octahedra for both structures can be quantified using the parameters of quadratic elongation λ39,
The crystal structure of P2/c-type KCoAsO4 and R\(\overline{3 }\)-type KCoAsO4 viewed along the c axis and the honeycomb layer viewed along the honeycomb plane. The colors and numbers assigned to the Co ions in the P2/c structure distinguish the different crystallographic sites, where four Ir-Ir bonds of varying lengths are depicted distinctly.
where n is the coordination number of anions around the central cation, li is the bond length between the central cation and the i-th coordinating anions, and l0 is the bond length in a polyhedron with Oh symmetry, whose volume is equal to that of the distorted polyhedron, and bond angle variance σ239,
where m is the number of anion-cation–anion bond angle, with m = 12 for octahedra, φi is the ith bond angle of the distorted coordination polyhedron, and φ0 is the ideal bond angle in a polyhedron with Oh symmetry; for octahedra, φ0 = 90 deg. In the P2/c structure, the Co1 site has λ = 1.0257 and σ2 = 80.381 deg2, while the Co2 site has λ = 1.0236 and σ2 = 63.747 deg2. In contrast, the Co site in the R\(\overline{3 }\) structure has λ = 1.0157 and σ2 = 47.752 deg2. These results demonstrate that, compared to the R\(\overline{3 }\) structure, the P2/c structure is significantly more distorted, both in the global honeycomb network and in the local CoO6 octahedral structure.
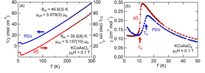
The temperature dependence of the inverse magnetic susceptibility (1/χ) for powder samples of P2/c-type KCoAsO4 and R\(\overline{3 }\)-type KCoAsO4 is shown in Fig. 3a. At high temperatures, the 1/χ data exhibit a linear relationship with T. Curie–Weiss fitting in the range of 200 to 300 K yields an effective paramagnetic moment μeff = 5.079(3) μB and a Weiss temperature θW = 46.6(3) K for P2/c-type KCoAsO4, and μeff = 5.137(10) μB with θW = 35.5(8) K for R\(\overline{3 }\)-type KCoAsO4. The estimated μeff-values for both compounds align well with the spin–orbit-entangled value expected for Co2+ with Jeff = 1/211. Notably, the positive values of θW for both compounds indicate dominant ferromagnetic coupling. The primary origin of these ferromagnetic interactions is likely Kitaev-type bond-anisotropic interactions or direct Heisenberg isotropic interactions between Co ions.
(a) Temperature dependence of inverse magnetic susceptibility 1/χ for P2/c-type KCoAsO4 and R\(\overline{3 }\)-type KCoAsO4. The dotted line represents a fit to the Curie–Weiss model. (b) Temperature dependence of the magnetic susceptibility χ in the low temperature region. Arrows indicates the magnetic ordering temperature, determined by the peak of d(χT)/dT.
As shown in Fig. 3b, at low temperatures, the χ data exhibit a sharp decrease, signaling antiferromagnetic ordering. The Néel temperatures TN are estimated to be 14 K and 10.5 K for P2/c-type KCoAsO4 and R\(\overline{3 }\)-type KCoAsO4, respectively, based on the peak of d(χT)/dT (see Fig. 4b,f), which is commonly referred to as the Fisher heat capacity, reflecting the relationship between the magnetic heat capacity and magnetic susceptibility, as Cp(T) ~ d(χT)/dT40.
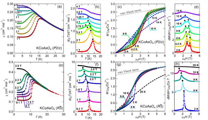
Comparison of magnetization for for P2/c-type KCoAsO4 and R\(\overline{3 }\)-type KCoAsO4. (a) Temperature derivative of χ data and (b) d(χT)/dT data measured under various magnetic fields, (c) isothermal magnetization M data, and (d) dM/dH data for P2/c-type KCoAsO4. Similarly, (e) χ-data and (f) d(χT)/dT-data, (g) M-data, and (h) dM/dH-data for R\(\overline{3 }\)-type KCoAsO4.
To further clarify the nature of these magnetic orders, we measured the temperature dependence of magnetic susceptibility under various magnetic fields and the isothermal magnetization process at different temperatures for both samples. In Fig. 4a, the magnetic susceptibility of P2/c-type KCoAsO4 is shown under various applied magnetic fields. The data reveal that the temperature of the magnetic anomaly, indicative of a transition, shifts to lower values as the applied field increases, strongly suggesting the presence of an antiferromagnetic transition in the material. Similarly, in Fig. 4b, the peaks in the d(χT)/dT data in P2/c-type KCoAsO4 shift to lower temperatures as the magnetic field increases. Interestingly, the d(χT)/dT data for 2.5 T and 2.75 T exhibit a shoulder-like structure at lower temperatures relative to the main peak, suggesting the presence of multi-step magnetic anomalies in this field range.
The isothermal magnetization process in P2/c-type KCoAsO4, depicted in Fig. 4c, also captures these multi-step magnetic anomalies. At 2 K, the magnetization shows a sharp increase around 2.5 T, followed by a more gradual rise near 3 T, and then another sharp increase at approximately 3.6 T. These features are further highlighted in the dM/dH plot shown in Fig. 4d, where the 2 K data clearly exhibit a double peak. As the temperature increases, these double peaks shift toward lower fields, and by 12 K, they merge to the point of being indistinguishable. By 14 K, the peaks disappear entirely, indicating the suppression of the field-induced phase transition. In the high-field region, the magnetization gradually increases due to the influence of van Vleck paramagnetism. By accounting for the van Vleck contribution and performing a linear fit in this region, then extrapolating to 0 T, the intrinsic magnetization is estimated to be approximately 2.25 μB. Since these values align with the expected magnetic moment for Co2+ ions with a Jeff = 1/2 pseudospin41,42,43, it can be concluded that Jeff = 1/2 pseudospins with g ~ 4.5 is fully polarized. Thus, the high-field step in the two-step field-induced phase transition is identified as a transition from a magnetically ordered phase to a forced ferromagnetic phase.
In contrast, the magnetic transition in R\(\overline{3 }\)-type KCoAsO4 is simpler compared to that of P2/c-type KCoAsO4. As illustrated in Fig. 4e, similar to the P2/c sample, the temperature at which a sharp decrease in magnetization—indicative of antiferromagnetic ordering—occurs shifts to lower temperatures as the applied magnetic field increases, with the magnitude of the decrease also becoming less pronounced. In Fig. 4f, no evidence of a two-step magnetic anomaly, as seen in P2/c-type KCoAsO4, is observed. Instead, the peak structure remains broad, maintaining a single peak up to 2.5 T, where the magnetic ordering is suppressed.
In the isothermal magnetization process of R\(\overline{3 }\)-type KCoAsO4 at 2 K, shown in Fig. 4g, magnetization sharply increases around 2.3 T, followed by a gradual rise. The peak in the dM/dH data shifts to lower temperatures as the measurement temperature increases, shown in Fig. 4h. Although a shoulder-like feature in the dM/dH data is observed at slightly higher magnetic fields than the main peak at 9 K and 10 K, no distinct double-peak structure, like the one seen in Fig. 4d, is present, and there is no clear evidence supporting the existence of a magnetic field-induced phase transition. Similar to P2/c-type KCoAsO4, by accounting for the van Vleck contribution in R\(\overline{3 }\)-type KCoAsO4, the magnetization in the higher magnetic field region is estimated to be approximately 2.2 μB. This value indicates that the Jeff = 1/2 pseudospin of Co2+ with g ~ 4.4 is fully polarized41,42,43, further confirming that the field-induced phase transition is from a magnetically ordered phase to a forced ferromagnetic phase.
Figure 5a,b present the temperature versus magnetic field phase diagrams for both the P2/c and R\(\overline{3 }\) samples. In P2/c-type KCoAsO4, a clear magnetic field-induced phase is observed, whereas R\(\overline{3 }\)-type KCoAsO4 shows only a single magnetically ordered phase in its phase diagram. Additionally, the magnetic ordering temperature and the suppression temperature of the magnetic transition in R\(\overline{3 }\)-type KCoAsO4 are significantly lower than those in P2/c-type KCoAsO4.
Magnetic field versus temperature phase diagram for (a) P2/c-type KCoAsO4 and (b) R \(\overline{3 }\)-type KCoAsO4 constructed by magnetic measurement. Squares (blue) and triangles (red) are the transition temperatures and fields determined from the temperature dependence of magnetic susceptibilities (M versus T), isothermal magnetization curves (M versus H). PM refers to the paramagnetic phase, AFM to the antiferromagnetic phase, and X to the magnetic-field induced phase. The error bars for each plot represent the sigma values obtained from the Gaussian fitting.
Here, we discuss the relationship between the structure and magnetic properties. As noted above, the Co honeycomb network in P2/c-type KCoAsO4 consists of four distinct Co–Co bonds, each with a different balance of Kitaev-Heisenberg interactions, resulting in a highly complex spin model. In addition to the oxygen-mediated superexchange interaction, direct Heisenberg exchange arising from Co–Co orbital overlap plays a significant role, driving the system away from the Kitaev limit and stabilizing magnetic order14. The Co1-Co1 and Co2-Co2 bond distances are relatively long, while the two types of Co1-Co2 bonds are much shorter, suggesting that the direct Heisenberg exchange along these shorter bonds may dominate the spin interactions. The observed magnetic field-induced phase transition is likely driven by the complex spin model, rather than by a simple Kitaev-Heisenberg model. Regarding multi-step magnetic anomalies, a similar three-step transition has been observed in Na2Co2TeO6, where two Co sites are present. Given that P2/c-type KCoAsO4 also contains two distinct Co sites, we strongly expect that this study will stimulate future theoretical developments to clarify how the number of magnetic sites influences the Kitaev-Heisenberg model.
In R\(\overline{3 }\)-type KCoAsO4, the suppression of both the magnetic ordering temperature and the field-induced transition field, compared to P2/c-type KCoAsO4, may be due to the reduced distortion of the CoO6 octahedra, which brings the system closer to a quantum critical point near a spin-disordered state. For Co ions in octahedral coordination, the trigonal crystal field splits the triply degenerate t2g orbitals into doubly degenerate egπ and nondegenerate a1g orbitals. The t2g-splitting weakens the t2g-p-eg superexchange transferring process, which is a key mechanism for Kitaev interactions in cobaltates, thereby leading to a relative increase in non-Kitaev terms33. As previously mentioned, the CoO6 octahedra in R\(\overline{3 }\)-type KCoAsO4 are less distorted than those in P2/c-type KCoAsO4, indicating smaller trigonal distortion. These findings suggest that both global and local structural differences play a significant role in shaping the Kitaev physics of cobaltates, as evidenced by the relationship between magnetic properties and crystal structure in these polymorphic materials.
To gain a deeper understanding of the Kitaev physics in the polymorphic KCoAsO4 series, establishing a reliable method for growing single crystals is essential. Currently, we have successfully grown microcrystals weighing less than 10 μg, but this is below the detection limit for magnetization measurements using MPMS. With the development of techniques for growing larger crystals, however, more detailed investigations into their magnetic properties will become possible.
Summary
We present a detailed study on KCoAsO4, a novel cobalt-based Kitaev candidate, examining its synthesis, crystal structure, and magnetic properties. KCoAsO4 crystallizes in two space groups: P2/c and R\(\overline{3 }\). The P2/c structure exhibits notable distortions, leading to two Co sites and four distinct Co–Co bond lengths, while the R\(\overline{3 }\) structure forms an ideal honeycomb lattice. These structural variations significantly affect their magnetic properties: P2/c-type KCoAsO4 shows a complex spin model with multi-step magnetic anomalies and field-induced phase transitions, while R\(\overline{3 }\)-type KCoAsO4 exhibits simpler magnetic behavior. In the R\(\overline{3 }\) structure, reduced CoO6 octahedral distortion lowers the magnetic ordering temperature and suppresses field-induced transitions, bringing the system closer to a quantum critical point than the P2/c structure. Our findings highlight the importance of both global and local structural differences in determining the magnetic behavior of honeycomb cobaltates, particularly in the context of Kitaev physics.
Data availability
The datasets generated and analyzed during the current study are available from the corresponding author.
References
Ramirez, A. P. Strongly geometrically frustrated magnets. Annu. Rev. Mater. Sci. 24, 453 (1994).
Lacroix, C., Mendels, P. & Mila, F. Introduction to Frustrated Magnetism: Materials, Experiments, Theory, Springer Series in Solid-State Sciences Vol. 164 (Springer, 2011).
Anderson, P. W. Resonating valence bonds: A new kind of insulator?. Mater. Res. Bull. 8, 153 (1973).
Moessner, R. & Sondhi, S. L. Resonating valence bond liquid physics on the triangular lattice. Prog. Theor. Phys. Suppl. 145, 37 (2002).
Lee, P. A. An end to the drought of quantum spin liquids. Science 321, 1306 (2008).
Balents, L. Spin liquids in frustrated magnets. Nature (London) 464, 199 (2010).
Broholm, C. et al. Quantum spin liquids. Science 367, 0668 (2020).
Kitaev, A. Anyons in an exactly solved model and beyond. Ann. Phys. 321, 2 (2006).
Jackeli, G. & Khaliullin, G. Mott insulators in the strong spin-orbit coupling limit. Phys. Rev. Lett. 102, 017205 (2009).
Takagi, H., Takayama, T., Jackeli, G., Khaliullin, G. & Nagler, S. E. Concept and realization of Kitaev quantum spin liquids. Nat. Rev. Phys. 1, 264 (2019).
Motome, Y. & Nasu, J. Hunting majorana fermions in Kitaev magnets. J. Phys. Soc. Jpn. 89, 012002 (2020).
Liu, H. & Khaliullin, G. Pseudospin exchange interactions in d7 cobalt compounds: Possible realization of the Kitaev model. Phys. Rev. B 97, 014407 (2018).
Sano, R., Kato, Y. & Motome, Y. Kitaev-Heisenberg Hamiltonian for high-spin d7 Mott insulators. Phys. Rev. B 97, 014408 (2018).
Liu, X. & Kee, H.-Y. Non-Kitaev versus Kitaev honeycomb cobaltates. Phys. Rev. B 107, 054420 (2023).
Winter, S. M. Magnetic couplings in edge-sharing high-spin d7 compounds. J. Phys. Mater. 5, 045003 (2022).
Motome, Y., Sano, R., Jang, S., Sugita, Y. & Kato, Y. Materials design of Kitaev spin liquids beyond the Jackeli-Khaliullin mechanism. J. Phys. Condens. Matter 32, 404001 (2020).
Viciu, L. et al. Structure and basic magnetic properties of the honeycomb lattice compounds Na2Co2TeO6 and Na3Co2SbO6. J. Solid State Chem. 180, 1060 (2007).
Sears, J. A. et al. Magnetic order in α−RuCl3: A honeycomb-lattice quantum magnet with strong spin-orbit coupling. Phys. Rev. B 91, 144420 (2015).
Bera, A. K., Yusuf, S. M., Kumar, A. & Ritter, C. Zigzag antiferromagnetic ground state with anisotropic correlation lengths in the quasi-two-dimensional honeycomb lattice compound Na2Co2TeO6. Phys. Rev. B 95, 094424 (2017).
Lin, G. et al. Field-induced quantum spin disordered state in spin-1/2 honeycomb magnet Na2Co2TeO6. Nat. Commun. 12, 5559 (2021).
Kim, C. et al. Antiferromagnetic Kitaev interaction in Jeff = 1/2 cobalt honeycomb materials Na3Co2SbO6 and Na2Co2TeO6. J. Phys. Condens. Matter 34, 045802 (2022).
Li, X. et al. Giant magnetic in-plane anisotropy and competing instabilities in Na3Co2SbO6. Phys. Rev. X 12, 041024 (2022).
Roudebush, J. H. et al. Structure and magnetic properties of Cu3Ni2SbO6 and Cu3Co2SbO6 delafossites with honeycomb lattices. Inorg. Chem. 52, 6083 (2013).
Kim, G.-H. et al. Suppression of antiferromagnetic order by strain-enhanced frustration in honeycomb cobaltate. Sci. Adv. 10, eadn8694 (2024).
Regnault, L.-P., Burlet, P. & Rossat-Mignod, J. Magnetic ordering in a planar X-Y model: BaCo2(AsO4)2. Physica B+C 86–88, 660 (1977).
Zhong, R., Gao, T., Ong, N. P. & Cava, R. J. Weak-field induced nonmagnetic state in a Co-based honeycomb, weak-field induced nonmagnetic state in a Co-based honeycomb. Sci. Adv. 6, eaay6953 (2020).
Zhang, X. et al. A magnetic continuum in the cobalt-based honeycomb magnet BaCo2(AsO4)2. Nat. Mater. 22, 58 (2023).
Halloran, T. et al. Geometrical frustration versus Kitaev interactions in BaCo2(AsO4)2. Proc. Natl. Acad. Sci. (USA) 120, e2215509119 (2023).
Bircsak, Z. & Harrison, W. T. A. Barium cobalt phosphate, BaCo2(PO4)2. Acta Cryst. 54C, 1554 (1998).
Wang, X., Sharma, R., Becker, P., Bohatý, L. & Lorenz, T. Single-crystal study of the honeycomb XXZ magnet BaCo2(PO4)2 in magnetic fields. Phys. Rev. Mater. 7, 024402 (2023).
Vivanco, H. K., Trump, B. A., Brown, C. M. & McQueen, T. M. Competing antiferromagnetic-ferromagnetic states in d kitaev honeycomb magnet. Phys. Rev. B 102, 224411 (2020).
Haraguchi, Y., Yoshida, Y., Matsuo, A., Kindo, K. & Katori, H. A. CaCo2TeO6: A topochemically prepared 3d7 honeycomb Kitaev magnet. Phys. Rev. B 110, 184411 (2024).
Liu, H. M., Chaloupka, J. & Khaliullin, G. Kitaev spin liquid in 3d transition metal compounds. Phys. Rev. Lett. 125, 047201 (2020).
Sanders, A. L. et al. Dominant Kitaev interactions in the honeycomb materials Na3Co2SbO6 and Na2Co2TeO6. Phys. Rev. B 106, 014413 (2022).
Oishi, R. et al. Rietveld analysis software for J-PARC. Nucl. Instrum. Methods Phys. Res. Sect. A 600, 94 (2009).
Ladwig, G. & Ziemer, B. Über das glimmerartige Kaliumnickel(II)-monoarsenat. Z. Anorg. Allg. Chem. 457, 143 (1979).
Taddei, K. M. et al. Zigzag magnetic order and possible Kitaev interactions in the spin-1 honeycomb lattice KNiAsO4. Phys. Rev. Res. 5, 013022 (2023).
Giannozzi, P. et al. Advanced capabilities for materials modelling with quantum ESPRESSO. J. Phys. Condens. Matter 29, 465901 (2017).
Robinson, K., Gibbs, G. V. & Ribbe, P. H. Quadratic elongation: A quantitative measure of distortion in coordination polyhedral. Science 172, 567 (1971).
Fisher, M. E. Relation between the specific heat and susceptibility of an antiferromagnet. Philos. Mag. 7, 1731 (1962).
Lines, M. E. Magnetic properties of CoCl2 and NiCl2. Phys. Rev. 131, 546 (1963).
Lloret, F., Julve, M., Cano, J., Ruiz-García, R. & Pardo, E. Magnetic properties of six-coordinated high-spin cobalt(II) complexes: Theoretical background and its application. Inorg. Chem. Acta 361, 3432 (2008).
Haraguchi, Y., Ohnoda, T., Matsuo, A., Kindo, K. & Katori, H. A. Perfect kagome-lattice antiferromagnets with Jeff = 1/2: The Co2+ analogs of the copper minerals volborthite and vesignieite. Phys. Rev. B 106, 214421 (2022).
Acknowledgements
This work was supported by JST PRESTO Grant Number JPMJPR23Q8 (Creation of Future Materials by Expanding Materials Exploration Space) and JSPS KAKENHI Grant Numbers. JP23H04616 (Transformative Research Areas (A) "Supra-ceramics"), JP24H01613 (Transformative Research Areas (A) "1000-Tesla Chemical Catastrophe"), JP22K14002 (Young Scientific Research), and JP24K06953 (Scientific Research (C)). Part of this work was carried out by joint research in the Institute for Solid State Physics, the University of Tokyo (Project Numbers 202306-GNBXX-0128, 202311-GNBXX-0018, 202306-MCBXG-0094 and 202306-MCBXG-0070).
Author information
Authors and Affiliations
Contributions
Y.H. designed the experiments, conducted the experiment(s), edited the manuscript, conceived and conducted the experiment(s), performed statistical analysis and figure generation, and wrote the original manuscript. D.N.H. performed energy dispersive x-ray spectroscope measurements. H.A.K. administrated project and edited the manuscript. All authors discussed the results and reviewed the manuscript.
Corresponding author
Ethics declarations
Competing interests
The authors declare no competing interests.
Additional information
Publisher’s note
Springer Nature remains neutral with regard to jurisdictional claims in published maps and institutional affiliations.
Rights and permissions
Open Access This article is licensed under a Creative Commons Attribution-NonCommercial-NoDerivatives 4.0 International License, which permits any non-commercial use, sharing, distribution and reproduction in any medium or format, as long as you give appropriate credit to the original author(s) and the source, provide a link to the Creative Commons licence, and indicate if you modified the licensed material. You do not have permission under this licence to share adapted material derived from this article or parts of it. The images or other third party material in this article are included in the article’s Creative Commons licence, unless indicated otherwise in a credit line to the material. If material is not included in the article’s Creative Commons licence and your intended use is not permitted by statutory regulation or exceeds the permitted use, you will need to obtain permission directly from the copyright holder. To view a copy of this licence, visit http://creativecommons.org/licenses/by-nc-nd/4.0/.
About this article
Cite this article
Haraguchi, Y., Nishio-Hamane, D. & Katori, H.A. Polymorphism and magnetism in a Kitaev honeycomb cobaltate KCoAsO4. Sci Rep 15, 2624 (2025). https://doi.org/10.1038/s41598-025-86302-6
Received:
Accepted:
Published:
Version of record:
DOI: https://doi.org/10.1038/s41598-025-86302-6







