Fig. 2

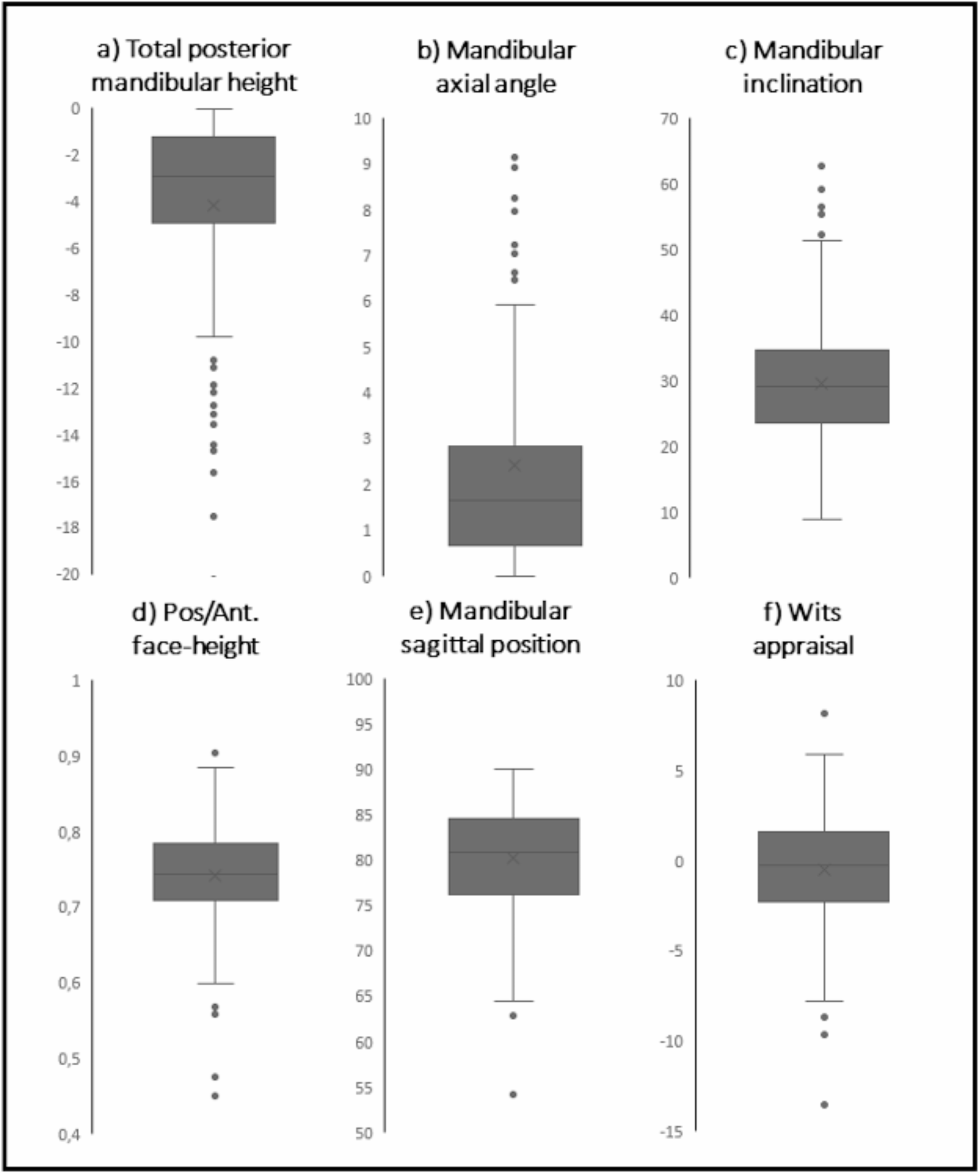
Distribution of data from the JIA index cohort (n = 210) for the six outcome variables included in the dentofacial deformity index. d) is the ratio between posterior and anterior face.

Distribution of data from the JIA index cohort (n = 210) for the six outcome variables included in the dentofacial deformity index. d) is the ratio between posterior and anterior face.