Fig. 5
From: Copper and iron as unique trace elements linked to fibromyalgia risk

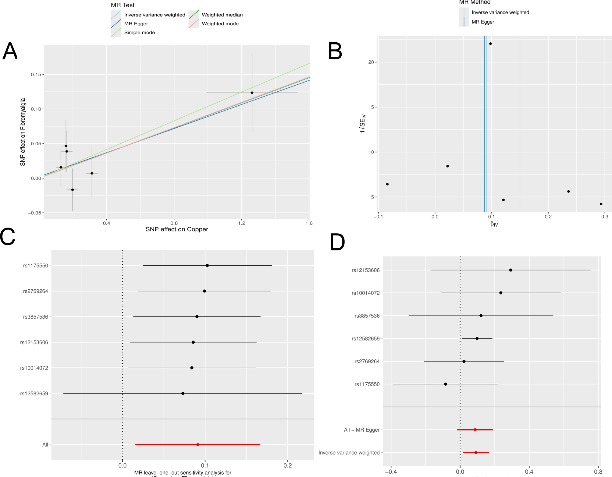
Results of MR analyses of copper versus FM, including (A) scatter plots, (B) forest plots, (C) leave-one-out method, (D) funnel plots.
From: Copper and iron as unique trace elements linked to fibromyalgia risk

Results of MR analyses of copper versus FM, including (A) scatter plots, (B) forest plots, (C) leave-one-out method, (D) funnel plots.