Abstract
Fibromyalgia (FM) is a prevalent chronic pain condition with a complex and not fully understood etiology. Abnormal metabolism of trace elements is suspected to play a role in the pathogenesis of FM, though the exact relationships have yet to be clarified. This study employed Mendelian randomization (MR) to assess potential causal relationships between 15 major trace elements and the risk of FM, focusing on the specific roles of elements that show significant associations. Genetic instrumental variables (single nucleotide polymorphisms, SNPs), related to these trace elements and FM were extracted from genome-wide association studies (GWAS). Analyses were performed using various methods including inverse-variance weighting (IVW), MR Egger, weighted median, weighted mode, and simple mode. Furthermore, multivariable analysis controlled for selenium as a potential confounder to evaluate the independent associations of copper (Cu) and iron (Fe) with FM risk. Two-sample MR analysis indicated a positive association between Cu and increased risk of FM (IVW: OR = 1.095, 95% CI: 1.015 to 1.181, P = 0.018), and a negative association between Fe and FM risk (IVW: OR = 0.440, 95% CI: 0.233 to 0.834, P = 0.011). These associations remained significant in the multivariable analysis, highlighting the independent effects of Cu and Fe. No significant correlations were observed with other trace elements such as selenium and zinc. This study provides new evidence of the roles of Cu and Fe in the pathophysiology of FM and underscores the importance of considering trace elements in the prevention and treatment strategies for FM. Future research should further validate these findings and explore the specific biological mechanisms through which Cu and Fe influence FM risk.
Similar content being viewed by others
Introduction
FM is a complex chronic pain disorder whose etiology and pathophysiological mechanisms are not yet fully understood. Patients frequently exhibit a range of symptoms including widespread musculoskeletal pain, fatigue, sleep disturbances, and cognitive impairments, significantly impacting their daily lives and work capabilities1,2. Epidemiological surveys indicate that FM affects between 2 and 8% of the global population, with prevalence rates 3 to 7 times higher in women than in men3. The diagnosis of FM primarily relies on clinical assessment of symptoms, as there is a lack of objective biomarkers, complicating disease management.
Trace elements play indispensable roles in the human body, participating in various biological processes including, but not limited to, enzyme catalysis, energy metabolism, immune function, and neurotransmission4. For instance, Fe is a critical component in the synthesis of hemoglobin, essential for oxygen transport5; zinc acts as a cofactor for multiple enzymes and is involved in regulating immune functions6; magnesium is vital for cell signaling and muscle contraction7; and Cu is involved in the absorption and utilization of Fe8. Abnormal metabolism of these trace elements has been linked to various diseases, including cardiovascular diseases, diabetes, and neurological disorders9.
In the context of FM, there is evidence suggesting that abnormalities in trace element metabolism may be associated with the development and progression of the disease10. For example, Fe deficiency has been linked to fatigue and cognitive impairments in FM patients11; zinc deficiency is associated with inflammatory responses and oxidative stress, both relevant to the pathophysiology of FM12; and magnesium deficiency can lead to muscle pain and increased neural excitability, aligning with FM’s symptomatic pain7. However, these associations are primarily based on cross-sectional or case-control studies, making it challenging to establish causality and potentially subject to confounding and reverse causation effects.
MR is an epidemiological method that uses genetic variations as instrumental variables to assess causal relationships between exposures (such as trace element levels) and diseases (like FM)13. The strength of MR analysis lies in its ability to use genetic information as a natural experiment, reducing confounding biases common in traditional observational studies, especially when the temporal relationship between exposure and disease is unclear. Additionally, MR can provide insights into potential biological mechanisms, thus laying a theoretical foundation for future interventions. Although MR holds potential for assessing causal relationships, its application in the study of associations between FM and trace elements remains limited. This study aims to explore the potential causal relationships between trace elements and FM through both univariate and multivariate MR analyses. We selected several trace elements associated with the pathophysiology of FM, including Fe, zinc, magnesium, and Cu, considering their interactions and correlations with FM symptoms. Furthermore, we investigated the sensitivity and specificity of different genetic instrumental variables to enhance the reliability of our MR analysis. The findings of this study are expected to offer new insights into the pathophysiology of FM and may reveal novel therapeutic targets. By deepening our understanding of the roles of trace elements in FM, we can not only provide more precise treatment options for patients but also support the development of preventative strategies.
Materials and methods
Methods
This study employed MR to investigate the potential causal relationships between 15 trace elements and FM. Initially, genetic instrumental variables SNPs for these trace elements were extracted from published GWAS. These instrumental variables were then used to perform preliminary two-sample MR analyses to identify trace elements significantly associated with FM risk. Building on this, to control for potential confounding effects of trace elements on FM, multivariate MR analysis were conducted with selenium and the trace elements that showed significant initial associations, to assess their independent relationships with FM risk.
Furthermore, the MR design was required to satisfy three essential criteria: (A) the genetic variations chosen as instrumental variables (IVs) must be closely associated with the 15 trace elements; (B) these genetic tools should be unrelated to FM outcomes and independent of potential confounding factors; (C) the genetic variations should influence FM specifically through the trace elements and not via other pathways. Figure 1 presents a flowchart of our methodology.
Data sources for GWAS
Data sources for 15 trace elements
The comprehensive summary statistics from the studies by Ben Elsworth et al.14 provide extensive data for GWAS on trace elements. The majority of the sample, consisting of 64,979 individuals from European cohorts, includes 9,851,867 SNPs. This dataset covers twelve trace elements including calcium, carotene, folate, Fe, magnesium, potassium, vitamin A, vitamin B12, vitamin B6, vitamin C, vitamin D, and vitamin E. The GWAS data for the remaining three trace elements—Cu, selenium, and zinc—originate from a cohort study by Evans et al.15 involving 2,603 individuals, which includes 2,543,646 SNPs. All individuals are from Europe and have undergone stringent quality control. The data are stored in the IEU OpenGWAS database (https://gwas.mrcieu.ac.uk), with specific GWAS IDs available in Supplementary Table 1.
Outcome data
The summary data for the association between SNPs and FM are derived from the latest FinnGen release (https://www.finngen.fi/en/access_results), version R10, identifier finngen_R10_M13_FIBROMYALGIA. This summarized dataset is from a GWAS meta-analysis involving 400,197 individuals (2689 FM patients and 397,508 controls)16. The data collection period was the third quarter of 2022, and the location was the Finnish Health Registry. According to the FinnGen consortium, FM patients were diagnosed based on the International Classification of Diseases (ICD) codes ICD-8, ICD-9, and ICD-10. All statistical data used are freely available in public databases, thus no ethical approval was required for their utilization. Detailed information about the outcome data is provided in Supplementary Table S2.
Selection of instrumental variables
In this study, SNPs with p-values below the genome-wide significance threshold (5 × 10-6) were selected as IVs in the initial analysis to ensure comprehensive results and enhance the sensitivity of the IVs, which aligns with the relevance assumption of MR analysis, ensuring that the selected SNPs are strongly associated with the exposure. Subsequently, all IVs underwent linkage disequilibrium clustering (r2 = 0.001; distance = 10,000 kb) to minimize the impact of correlated SNPs, satisfying the independence assumption by ensuring that the IVs are independent of each other. Additionally, we utilized Phenoscanner (http://www.phenoscanner.medschl.cam.ac.uk/) to screen for potential pleiotropic effects, excluding SNPs associated with the outcomes as detailed in Supplementary Table S3, thus addressing the exclusion restriction assumption by ensuring that the selected SNPs affect the outcome only through the exposure. We calculated the F-statistic [R2(N–2)/(1–R2)], which assesses the strength of each instrument, where R2 represents the proportion of variance explained by the genetic tools, and N is the effective sample size of the GWAS. SNPs with an F-statistic threshold greater than 10 were used for subsequent MR analyses, as they provide reliable estimates of genetic variation17.
MR Analysis
We conducted a two-sample MR analysis to investigate the causal relationships between 15 trace elements and FM. The methods employed included weighted mode18, IVW test19, and weighted median20, alongside simple models. The IVW method, used when no horizontal pleiotropy exists or is balanced, determines the weights for each instrumental variable based on their variance, thus minimizing the impact of instruments with larger variances. This approach assumes all instruments are valid and that there are no direct confounding relationships between the instruments and the outcome variable, providing an unbiased estimate of the causal effects and thus serving as the primary analysis method. MR Egger regression21 combines traditional instrumental variable regression with a quantile-based approach. This method detects and corrects potential issues with invalid instrumental variables, such as measurement errors or correlations with confounders, through the Egger intercept, making it a vital tool for sensitivity analysis. The weighted median method applies different weights to each estimate based on their variance, reducing the impact of estimates with larger variances and aiming to provide a more robust causal estimate by mitigating the effects of extreme or outlier values. This method allows for up to half of the SNPs to be ineffective instruments or exhibit pleiotropy. Additionally, the weighted mode and simple models serve as supplementary methods to the IVW approach. If these five methods yield consistent directions of effect, the results are deemed more reliable. Studies exclude results where the directionality of the five methods is not fully consistent (ensuring all effect size ORs must point in the same direction). Cochran’s Q test22 was used to assess heterogeneity among instruments. Moreover, MR pleiotropy residual sum and outlier (MR-PRESSO)23 sensitivity analysis was employed, considering a significance level of P < 0.05 to determine the statistical significance and evidence of potential causal effects. Leave-one-out sensitivity analysis24 and MR-Egger intercept can serve as additional indices for sensitivity analysis, ensuring the reliability and robustness of our final results.
Multivariate mendelian randomisation analysis
As an extension of the two-sample MR approach, multivariate MR allows for the estimation of the combined causal effects of various risk factors on FM susceptibility by incorporating all exposures into the same model. In addition to Cu and Fe, we included selenium as an additional exposure variable. Selenium, an important antioxidant, has been extensively studied for its roles in immune regulation and oxidative stress25, which are relevant to the common pathophysiological features observed in FM patients. Furthermore, considering potential interactions between trace elements, especially the synergistic and antagonistic effects between selenium and Fe and Cu within the organism, incorporating selenium may reveal how these elements collectively influence the risk of FM. From a clinical perspective, the status of selenium could offer new insights into FM prevention and treatment by potentially influencing pathways related to inflammation and pain perception. Multivariate analysis allows us to control for potential confounding effects of other trace elements, thus providing a more precise estimate of the relationships between Cu, Fe, and FM risk. We extracted SNPs significantly associated with these exposures and combined them with existing instrumental variables. After excluding duplicate SNPs, the effect and corresponding standard error for each SNP were obtained from the exposure and outcome data. The core analytical method—Inverse-Variance Weighted (IVW) method—was used to infer causal relationships in the multivariate MR analysis.
Results
Selection of ivs
Supplementary Table 4 contains comprehensive information about SNPs related to the 15 trace elements, including beta values, standard errors, effect alleles, and other alleles. The range of F-statistics for the selected SNPs was from 20.87 to 84.68, indicating no presence of weak instrument bias.
Causal association between 15 micronutrients and FM
In our MR analysis, we evaluated the potential causal relationships between 15 trace elements and the risk of FM. We employed five methods—IVW, MR Egger, WME, SM, and WM—to estimate the effect sizes of each trace element and calculated the corresponding p-values and 95% CIs. Trace elements such as calcium, zinc, folate, and vitamin B6 showed p-values greater than 0.05 in the analysis, indicating no significant association with FM risk. The results for all 15 trace elements are displayed in Fig. 2, with significant findings for only Cu and Fe, detailed in Fig. 3.
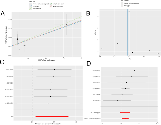
In our two-sample MR analysis, we observed a significant positive correlation between Cu and the risk of FM. Specifically, an increase of one standard deviation in Cu was associated with an increased risk of FM (OR = 1.095, 95% CI: 1.016 to 1.182, P = 0.018). Results from various MR methods are as follows: MR Egger (OR = 1.091, 95% CI: 0.983 to 1.211, P = 0.178), WME, OR = 1.095, 95% CI: 0.999 to 1.212, P = 0.079), IVW, OR = 1.095, 95% CI: 1.015 to 1.182, p = 0.018), SM, OR = 1.109, 95% CI: 0.932 to 1.321, P = 0.297), and WM, OR = 1.096, 95% CI: 0.999 to 1.202, P = 0.111). Not only did the core IVW method indicate a significant result, but all methods produced OR values greater than 1, excluding inconsistent results and minimizing bias, thus strengthening our confidence in the positive association between Cu and FM risk.
Conversely, Fe showed a negative correlation with FM risk. Specifically, an increase of one standard deviation in Fe was associated with a decreased risk of FM (OR = 0.440, 95% CI: 0.233 to 0.834, P = 0.012). Results from other MR methods were as follows: MR Egger (OR = 0.533, 95% CI: 0.076 to 3.756, P = 0.543), WME (OR = 0.517, 95% CI: 0.218 to 1.228, P = 0.135), IVW (OR = 0.440, 95% CI: 0.233 to 0.834, P = 0.011), SM (OR = 0.752, 95% CI: 0.175 to 3.235, P = 0.710), and WM (OR = 0.457, 95% CI: 0.118 to 1.765,P = 0.282). Detailed results are shown in Fig. 4.
Figures 5 and 6 present MR results for Cu and Fe, including scatter plots, forest plots, funnel plots, and leave-one-out analysis. MR-pleiotropy, our main tool for detecting pleiotropic effects, showed no evidence of bias (P > 0.05). The MR-Egger intercept was used to detect horizontal pleiotropy; our analysis found no evidence of such bias as the MR-Egger intercept was not zero, yet all p-values were greater than 0.05, suggesting our MR findings are not affected by horizontal pleiotropy. MR-PRESSO analysis, a key indicator of heterogeneity, also found no outliers. Leave-one-out sensitivity analysis did not reveal any single SNP driving the overall effect, which might lead to bias. Cochran’s Q test (P = 0.69) indicated no significant heterogeneity, thus corroborating the robustness of our results.
Multivariate mendelian randomisation analysis
In this study’s multivariate MR analysis, in addition to Cu and Fe, selenium was included as an additional exposure variable. After adjusting for selenium as a potential confounder, the positive association between Cu and FM risk remained significant (IVW: OR = 1.100, 95% CI: 1.028 to 1.179), and the negative association between Fe and FM risk also remained significant (IVW: OR = 0.354, 95% CI: 0.162 to 0.775). Moreover, the association between selenium and FM outcomes was not significant (P = 0.779). These results further demonstrate that the effects of Cu and Fe are robust even after accounting for other related potential confounding factors. Detailed effect values can be seen in Fig. 7. Our sensitivity analysis, using MR-pleiotropy as a pleiotropy assessment tool, also yielded a negative result (P = 0.317), indicating that all instrumental variables for the three exposures were not influenced by horizontal pleiotropy, ensuring the robustness of our results.
Discussion
This study utilized the MR approach to analyze the potential causal relationships between 15 trace elements and FM. The primary findings indicate a positive association between Cu and the risk of FM, and a negative association between Fe and FM risk. These findings remained robust after multiple sensitivity analyses were conducted. The multivariate MR analysis, even after excluding selenium—a potential confounder—still showed significant effects for both Cu and Fe. These results not only deepen our understanding of the roles Cu and Fe may play in the pathogenesis of FM but could also provide a scientific basis for developing future FM prevention strategies.
In this study, both univariate and multivariate MR analyses consistently identified a significant positive association between Cu levels and increased risk of FM, aligning to some extent with previous studies. Shukla et al. in a retrospective study found that patients with FM had significantly higher levels of Cu and oxidative stress markers (such as lipid peroxides, protein carbonyls, and nitric oxide) compared to healthy controls, mirroring our findings. Additionally, research by Al-Gebori et al.26 and Jomova et al.27 similarly reported higher Cu levels in FM patients compared to healthy controls. Cu is essential for bone mineralization and the repair of connective tissue. However, excessive accumulation of Cu in the body’s soft tissues can cause damage28, and high levels can be toxic, especially in its cuprous (Cu^+) form. Cuprous ions catalyze the conversion of hydrogen peroxide (H2O2) to hydroxyl radicals (OH•) through the Fenton reaction29, generating highly reactive free radicals that cause lipid peroxidation, leading to damage to cellular membranes and functions, and exacerbating oxidative stress by producing more reactive oxygen species (ROS). Chronic oxidative stress is considered a potential biological basis for the fatigue and hypersensitivity to pain observed in FM patients. Furthermore, oxidative stress can activate various cellular signaling pathways, inducing the release of cytokines and inflammatory mediators, thereby promoting inflammatory responses. In the pathological envFement of FM, the interplay between chronic inflammation and oxidative stress may further exacerbate symptoms. For example, oxidative stress may enhance the expression of inflammatory cytokines such as tumor necrosis factor-alpha and interleukin-6 through activation of the NF-κB pathway, which are known to play critical roles in FM30. Additionally, abnormal accumulation of Cu ions can directly or indirectly affect various neurotransmitter systems, including serotonin, dopamine, and norepinephrine, which are imbalanced in many of the neuropsychiatric symptoms commonly observed in FM patients. For instance, Cu ions can affect the activity of tyrosine hydroxylase, a key enzyme in dopamine synthesis, thereby impacting mood and pain regulation31. Moreover, Cu is involved in the activation of tryptophan hydroxylase, a critical step in serotonin biosynthesis, a key neurotransmitter in regulating mood, sleep, and pain perception. Due to these impacts on neurotransmitter systems, imbalances in Cu may lead to mood fluctuations, depression, anxiety, and cognitive impairments, which are prevalent in FM patients. Further neurochemical research suggests that excess Cu can disrupt normal neuronal electrical signaling, increasing pathological activation of the central nervous system32, potentially explaining why FM patients frequently report sensory hypersensitivity and reduced pain thresholds. Previous studies have found that symptoms such as headaches, fatigue, insomnia, depression, rashes, and sensitivity to spices, common among patients, may all be manifestations of psychiatric symptoms triggered by Cu imbalance.
In both our univariate and multivariate MR analyses, we identified Fe as a potential protective factor against FM. This finding aligns with the cohort study by Yao et al.33, which reported a higher incidence of FM in patients with Fe deficiency anemia (IDA) compared to a normal control group. Specifically, regardless of the presence of comorbidities, female patients with IDA showed a significantly increased risk of FM. Moreover, IDA patients who received Fe supplementation or transfusion treatments exhibited a significantly reduced risk of developing FM compared to those who did not receive treatment. This is consistent with findings from Kim et al.34, who observed that women diagnosed with FM had lower Fe levels in hair samples than those in the healthy control group.
Additionally, a study35 reported that the average serum ferritin levels in FM patients were significantly lower than those in healthy controls (27 mg/mL ± 21 mg/mL vs. 44 mg/mL ± 31 mg/mL; P = 0.003). More critically, when serum ferritin levels were below 0.05 µg/mL, the risk of FM increased by 6.5 times (P = 0.002)36. These findings highlight the potential protective role of Fe in preventing FM. Research indicates37 that abnormalities in iron metabolism are closely associated with neurotransmitter dysregulation. Specifically, the study found that patients with Parkinson’s disease had reduced iron levels in cerebrospinal fluid and elevated transferrin, which were closely related to decreased levels of dopamine and serotonin. Dysregulation of iron metabolism may lead to or exacerbate symptoms of Restless Legs Syndrome by lowering these neurotransmitter levels. Although this study did not specifically investigate FM, it suggests that abnormalities in iron metabolism may similarly affect chronic pain and fatigue symptoms by impacting the neurotransmitter system. In a study on Fe-deficient mice, researchers found these mice had lower pain thresholds and were more sensitive to pain, which parallels the pathophysiological traits of FM1. Recent reviews38 suggest that the pathomechanism of FM involves a complex interplay of molecular mediators such as biogenic signal transduction, brain-derived neurotrophic factors, inflammatory mediators, the hypothalamic-pituitary-adrenal axis within the sympathetic nervous system, oxidative stress, sex hormones, and opioids. Dysregulation of these molecules, particularly neurotransmitter activities (e.g., depletion of biogenic amines), may lead to dysfunction of pain inhibition pathways, thereby triggering the clinical symptoms of FM. Reports have also indicated that FM patients have lower levels of tryptophan (a precursor of serotonin) and serotonin in plasma, and correspondingly lower levels of serotonin, norepinephrine, and dopamine in cerebrospinal fluid39. Therefore, Fe deficiency may lead to insufficient utilization of tryptophan40, reducing serotonin levels in cerebrospinal fluid, which may be a significant contributor to the widespread clinical symptoms observed in FM patients, especially psychiatric symptoms.
Despite Fe being a critical element for enzymes necessary for the synthesis of various neurotransmitters, such as tryptophan hydroxylase41 and tyrosine hydroxylase42—which are responsible for the synthesis of serotonin and dopamine respectively—studies have shown that the activity of these enzymes in Fe-deficient brains is not affected. This suggests that neurotransmitter synthesis may be regulated by multiple mechanisms35. However, it is noteworthy that, compared to non-FM individuals, Fe-deficient rats and FM patients exhibit lower densities of serotonin-specific transport proteins41, leading to reduced uptake of serotonin in the brain43. Additionally, Fe deficiency can reduce the number of D2 receptors and disrupt dopamine reuptake, which may largely explain the metabolic deficits44 and abnormal dopamine responses45 encountered by FM patients. A deficiency in dopamine can weaken its function as a natural analgesic in the central nervous system, which is a typical manifestation of the enhanced pain perception in FM patients.
Fe also plays a key role in maintaining mitochondrial function and energy metabolism, particularly in its role in the mitochondrial electron transport chain. Adequate Fe levels are crucial for maintaining normal mitochondrial function and energy production, which is particularly important for FM patients who frequently experience fatigue46. Fe supplementation can improve mitochondrial function and enhance energy metabolic efficiency, helping to alleviate symptoms of fatigue47. Fe is also vital for the normal functioning of the immune system. Fe deficiency can lead to impaired immune cell functions, such as reduced activity of T cells and natural killer cells, which may affect the body’s overall immune defense capabilities.
In FM patients, maintaining appropriate Fe levels may help balance the immune system and reduce chronic inflammation, a prominent feature of FM. Furthermore, the interaction between Fe and Cu within the body should not be overlooked. Fe supplementation may reduce Cu toxicity by inhibiting Cu absorption. This interaction could still be pivotal in regulating the oxidative stress state in FM patients. Cu-induced oxidative damage is associated with the pathophysiology of FM, and thus Fe may play a protective role in alleviating Cu-induced oxidative stress48, thereby exerting a beneficial protective effect. Additionally, lifestyle factors such as smoking and physical activity may modulate the metabolic effects of trace elements like copper and iron. For instance, smokers exhibit higher levels of oxidative stress, which may exacerbate copper-induced oxidative damage and worsen symptoms like fatigue and pain commonly observed in FM. On the other hand, regular physical activity has been shown to improve iron absorption and utilization, potentially alleviating fatigue by improving mitochondrial function and energy metabolism49. These lifestyle influences may provide further insight into the complex interactions between trace elements and FM symptoms.
While the findings related to Cu and Fe are the focal points of this study, the potential roles of other trace elements in FM should not be overlooked. Elements such as zinc, selenium, and magnesium have been proven essential for immune function, antioxidant balance, and nervous system health in numerous studies. Metabolic dysregulation of these trace elements might indirectly or directly impact the pathophysiological process of FM by affecting inflammatory responses, oxidative stress, and neurotransmitter synthesis. Zinc, a component of many enzymes, is crucial for maintaining cellular immune function and antioxidant defenses. Studies have shown that zinc deficiency may be associated with chronic pain states, and zinc supplementation could improve pain perception and immune function50. Selenium, as a cofactor for glutathione peroxidase, plays a vital role in protecting cells from oxidative damage25. Moreover, magnesium plays a critical role in nerve transmission and muscle function, with deficiencies linked to various pain symptoms7. Future research should consider the complex roles of these elements and explore their effects on FM risk under different biological and envFemental conditions.
Although our findings support a significant causal relationship between the trace elements Cu and Fe with FM, we must also acknowledge the limitations of the MR approach. Firstly, the selection of genetic instrumental variables could be influenced by population structure, particularly across different ethnicities and geographical regions. Currently, our study focuses on a European cohort, which may limit the generalizability of the results to other populations; therefore, it is crucial to validate these findings in more diverse populations. Secondly, the biological effects of Cu and Fe might be modulated by interactions with other nutrients, which may not have been fully accounted for. Furthermore, the bioactivity of Cu and Fe might depend on their chemical forms and bioavailability, aspects that may not have been adequately considered in our analysis. Lastly, while our results demonstrate robust associations between Cu and Fe with FM risk, the biological mechanisms underlying these associations have not been fully elucidated. Future research needs to explore how these elements influence the pathophysiology of FM at the molecular level, including their roles in immune regulation, neurotransmitter synthesis, and cellular energy metabolism.
Our findings provide new insights for future research, particularly in exploring how Cu and Fe influence the onset and progression of FM. Future studies need to delve into the molecular level to reveal how these trace elements influence the pathological processes of FM through specific molecular pathways and signaling routes. This includes detailed studies on the impact of inflammatory mediators, oxidative stress markers, and neurotransmitter systems. Considering the potential interactions between genetic and envFemental factors, future work should evaluate how genetic variations interact with factors like diet, lifestyle, and occupational exposures to affect individual susceptibility to FM. Large-scale epidemiological studies will help validate the associations between trace element status and FM risk and explore dose-response relationships. Comparative studies across different populations will assess the consistency of these associations across various ethnicities, genders, and age groups. Overall, future research will provide a deeper understanding, helping to develop new prevention and treatment strategies, and offer more targeted interventions for individuals at high risk for FM.
Conclusion
This study systematically assessed the potential causal relationships between 15 trace elements and the risk of FM using MR methods. Our findings indicate a positive correlation between Cu levels and FM risk, while Fe levels are negatively correlated with FM risk. These associations remained robust after multiple sensitivity analyses, suggesting that the links between the genetic instrumental variables and FM risk are unlikely to be driven by confounding factors. Both univariate and multivariate MR analyses further confirmed the independent associations of Cu and Fe with FM risk, which persisted even after controlling for selenium, a potential confounding factor. These results suggest that Cu and Fe may play roles in the pathogenesis of FM by influencing inflammatory responses, oxidative stress, or the synthesis and function of neurotransmitters. Additionally, our study underscores the importance of considering trace element status in the clinical management of FM. Future research should explore interventions targeting these trace elements, such as supplementation or chelation therapies, to assess their potential impact on the symptoms of FM patients. More studies are needed to elucidate the biological mechanisms linking trace elements with FM and how these elements interact with other known risk factors for FM. In summary, this research provides new insights into the role of trace elements in FM and offers valuable directions for future research and clinical practice. Through further investigation, we hope to develop more effective prevention and treatment strategies for FM patients.
Data availability
The GWAS data for the 15 micronutrients were sourced from the IEU OpenGWAS database, with specific ID numbers listed in Supplementary Table 1. Additionally, the GWAS data for fibromyalgia (FM) were obtained from the latest R10 version of the FinnGen database, identified by the ID number finngen_R10_M13_FIBROMYALGIA.
References
Clauw, D. J. Fibromyalgia: a clinical review. Jama 311 (15), 1547–1555. https://doi.org/10.1001/jama.2014.3266 (2014).
Bazzichi, L. et al. Alteration of serotonin transporter density and activity in fibromyalgia. Arthritis Res. Therapy. 8 (4), R99. https://doi.org/10.1186/ar1982 (2006).
Neumann, L. & Buskila, D. Epidemiology of fibromyalgia. Curr. Pain Headache Rep. 7 (5), 362–368. https://doi.org/10.1007/s11916-003-0035-z (2003).
Islam, M. R. et al. Exploring the potential function of trace elements in human health: a therapeutic perspective. Mol. Cell. Biochem. 478 (10), 2141–2171. https://doi.org/10.1007/s11010-022-04638-3 (2023).
Evstatiev, R. & Gasche, C. Iron sensing and signalling. Gut 61 (6), 933–52. https://doi.org/10.1136/gut.2010.214312 (2012).
Rink, L. & Gabriel, P. Zinc and the immune system. Proc. Nutr. Soc. 59 (4), 541–552. https://doi.org/10.1017/s0029665100000781 (2000).
Romani, A. & Scarpa, A. Regulation of cell magnesium. Arch. Biochem. Biophys. 298 (1), 1–12. https://doi.org/10.1016/0003-9861(92)90086-c (1992).
Arredondo, M. & Núñez, M. T. Iron and copper metabolism. Mol. Aspects Med. 26 (4–5), 313–27. https://doi.org/10.1016/j.mam.2005.07.010 (2005).
Shenkin, A. Micronutrients in health and disease. Postgrad. Med. J. 82 (971), 559–67. https://doi.org/10.1136/pgmj.2006.047670 (2006).
Chen, L., Min, J. & Wang, F. Copper homeostasis and cuproptosis in health and disease. Signal. Transduct. Target. Therapy. 7 (1), 378. https://doi.org/10.1038/s41392-022-01229-y (2022).
Okan, S., Caglıyan Turk, A., Sıvgın, H., Ozsoy, F. & Okan, F. Association of ferritin levels with depression, anxiety, sleep quality, and physical functioning in patients with fibromyalgia syndrome: a cross-sectional study. Croatian Med. J. 60 (6), 515–520. https://doi.org/10.3325/cmj.2019.60.515 (2019).
Olechnowicz, J., Tinkov, A., Skalny, A. & Suliburska, J. Zinc status is associated with inflammation, oxidative stress, lipid, and glucose metabolism. J. Physiol. Sci. 68 (1), 19–31. https://doi.org/10.1007/s12576-017-0571-7 (2018).
Smith, G. D. & Ebrahim, S. Mendelian randomization’: can genetic epidemiology contribute to understanding environmental determinants of disease? Int. J. Epidemiol. 32 (1), 1–22. https://doi.org/10.1093/ije/dyg070 (2003).
Lyon, M. S. et al. The variant call format provides efficient and robust storage of GWAS summary statistics. Genome Biol. 22 (1), 32. https://doi.org/10.1186/s13059-020-02248-0 (2021).
Evans, D. M. et al. Genome-wide association study identifies loci affecting blood copper, selenium and zinc. Hum. Mol. Genet. 22 (19), 3998–4006. https://doi.org/10.1093/hmg/ddt239 (2013).
Kurki, M. I. et al. FinnGen provides genetic insights from a well-phenotyped isolated population. Nature 613 (7944), 508–518. https://doi.org/10.1038/s41586-022-05473-8 (2023).
Daniel, N., Bouras, E., Tsilidis, K. K. & Hughes, D. J. Genetically predicted circulating concentrations of micronutrients and COVID-19 susceptibility and severity: a mendelian randomization study. Front. Nutr. 9, 842315. https://doi.org/10.3389/fnut.2022.842315 (2022).
Hartwig, F. P., Davey Smith, G. & Bowden, J. Robust inference in summary data mendelian randomization via the zero modal pleiotropy assumption. Int. J. Epidemiol. 46 (6), 1985–1998. https://doi.org/10.1093/ije/dyx102 (2017).
Burgess, S., Small, D. S. & Thompson, S. G. A review of instrumental variable estimators for mendelian randomization. Stat. Methods Med. Res. 26 (5), 2333–2355. https://doi.org/10.1177/0962280215597579 (2017).
Bowden, J., Davey Smith, G., Haycock, P. C. & Burgess, S. Consistent estimation in mendelian randomization with some Invalid instruments using a weighted median estimator. Genet. Epidemiol. 40 (4), 304–314. https://doi.org/10.1002/gepi.21965 (2016).
Bowden, J., Davey Smith, G. & Burgess, S. Mendelian randomization with invalid instruments: effect estimation and bias detection through Egger regression. Int. J. Epidemiol. 44 (2), 512–525. https://doi.org/10.1093/ije/dyv080 (2015).
Greco, M. F., Minelli, C., Sheehan, N. A. & Thompson, J. R. Detecting pleiotropy in mendelian randomisation studies with summary data and a continuous outcome. Stat. Med. 34 (21), 2926–2940. https://doi.org/10.1002/sim.6522 (2015).
Verbanck, M., Chen, C. Y., Neale, B. & Do, R. Detection of widespread horizontal pleiotropy in causal relationships inferred from mendelian randomization between complex traits and diseases. Nat. Genet. 50 (5), 693–698. https://doi.org/10.1038/s41588-018-0099-7 (2018).
Burgess, S., Bowden, J., Fall, T., Ingelsson, E. & Thompson, S. G. Sensitivity analyses for robust causal inference from mendelian randomization analyses with multiple genetic variants. Epidemiol. (Cambridge Mass). 28 (1), 30–42. https://doi.org/10.1097/ede.0000000000000559 (2017).
Huang, Z., Rose, A. H. & Hoffmann, P. R. The role of selenium in inflammation and immunity: from molecular mechanisms to therapeutic opportunities. Antioxid. Redox. Signal. 16 (7), 705–743. https://doi.org/10.1089/ars.2011.4145 (2012).
Al-Gebori, M., M, A., Rajab, T., Al-Osami, A. H. & Turki, M. M. Levels of Magnesium, Zinc, Calcium and copper in serum of patients with Fibromyalgia Syndrome %J. Iraqi Postgrad. Med. J. 10 (2), 180–183 (2011).
Jomova, K. et al. Essential metals in health and disease. Chemico-Biol. Interact. 367, 110173. https://doi.org/10.1016/j.cbi.2022.110173 (2022).
Caldwell, J. R. Venoms, copper, and zinc in the treatment of arthritis. Rheum. Dis. Clin. North Am. 25 (4), 919–928. https://doi.org/10.1016/s0889-857x(05)70110-1 (1999). viiiix.http:
Keshtkar Vanashi, A. & Ghasemzadeh, H. Copper(II) containing chitosan hydrogel as a heterogeneous Fenton-like catalyst for production of hydroxyl radical: a quantitative study. Int. J. Biol. Macromol. 199, 348–357. https://doi.org/10.1016/j.ijbiomac.2021.12.150 (2022).
Zhou, B. R. et al. Palmitic acid induces production of proinflammatory cytokines interleukin-6, interleukin-1β, and tumor necrosis factor-α via a NF-κB-dependent mechanism in HaCaT keratinocytes. Mediat. Inflamm. 2013, 530429. https://doi.org/10.1155/2013/530429 (2013).
Rubio-Osornio, M. et al. Copper reduces striatal protein nitration and tyrosine hydroxylase inactivation induced by MPP + in rats. Neurochem. Int. 54 (7), 447–451. https://doi.org/10.1016/j.neuint.2009.01.019 (2009).
Micu, I., Plemel, J. R., Caprariello, A. V., Nave, K. A. & Stys, P. K. Axo-myelinic neurotransmission: a novel mode of cell signalling in the central nervous system. Nat. Rev. Neurosci. 19 (1), 49–58. https://doi.org/10.1038/nrn.2017.128 (2018).
Yao, W. C. et al. The risk of fibromyalgia in patients with iron deficiency anemia: a nationwide population-based cohort study. Sci. Rep. 11 (1), 10496. https://doi.org/10.1038/s41598-021-89842-9 (2021).
Kim, Y. S. et al. Women with fibromyalgia have lower levels of calcium, magnesium, iron and manganese in hair mineral analysis. J. Korean Med. Sci. 26 (10), 1253–1257. https://doi.org/10.3346/jkms.2011.26.10.1253 (2011).
Youdim, M. B., Ben-Shachar, D. & Yehuda, S. Putative biological mechanisms of the effect of iron deficiency on brain biochemistry and behavior. Am. J. Clin. Nutr. 50 https://doi.org/10.1093/ajcn/50.3.607 (1989). (3 Suppl):607 – 15; discussion 15 – 7.
Ortancil, O., Sanli, A., Eryuksel, R., Basaran, A. & Ankarali, H. Association between serum ferritin level and fibromyalgia syndrome. Eur. J. Clin. Nutr. 64 (3), 308–312. https://doi.org/10.1038/ejcn.2009.149 (2010).
Piao, Y. S. et al. Restless legs syndrome in Parkinson disease: clinical characteristics, abnormal iron metabolism and altered neurotransmitters. Sci. Rep. 7 (1), 10547. https://doi.org/10.1038/s41598-017-10593-7 (2017).
Clauw, D. J., Arnold, L. M. & McCarberg, B. H. The science of fibromyalgia. Mayo Clin. Proc. 86 (9), 907–911. https://doi.org/10.4065/mcp.2011.0206 (2011).
Beard, J. L., Connor, J. R. & Jones, B. C. Iron in the brain. Nutr. Rev. 51 (6), 157–70. https://doi.org/10.1111/j.1753-4887.1993.tb03096.x (1993).
Sharma, D. C. & Simlot, M. M. Utilization of dietary tryptophan in iron-deficient rats. J. Nutr. 114 (8), 1518–1520. https://doi.org/10.1093/jn/114.8.1518 (1984).
Beard, J. Iron deficiency alters brain development and functioning. J. Nutr. 133 (5 Suppl 1), 1468s. https://doi.org/10.1093/jn/133.5.1468S (2003).
Burhans, M. S. et al. Iron deficiency: differential effects on monoamine transporters. Nutr. Neurosci. 8 (1), 31–38. https://doi.org/10.1080/10284150500047070 (2005).
Kaladhar, M. & Narasinga Rao, B. S. Effects of iron deficiency on serotonin uptake in vitro by rat brain synaptic vesicles. J. Neurochem. 38 (6), 1576–1581. https://doi.org/10.1111/j.1471-4159.1982.tb06635.x (1982).
Wood, P. B. et al. Fibromyalgia patients show an abnormal dopamine response to pain. Eur. J. Neurosci. 25 (12), 3576–3582. https://doi.org/10.1111/j.1460-9568.2007.05623.x (2007).
Wood, P. B. & Holman, A. J. An elephant among us: the role of dopamine in the pathophysiology of fibromyalgia. J. Rhuematol. 36 (2), 221–224. https://doi.org/10.3899/jrheum.080583 (2009).
Meeus, M., Nijs, J., Hermans, L., Goubert, D. & Calders, P. The role of mitochondrial dysfunctions due to oxidative and nitrosative stress in the chronic pain or chronic fatigue syndromes and fibromyalgia patients: peripheral and central mechanisms as therapeutic targets? Expert Opin. Ther. Targets. 17 (9), 1081–1089. https://doi.org/10.1517/14728222.2013.818657 (2013).
Buratti, P., Gammella, E., Rybinska, I., Cairo, G. & Recalcati, S. Recent advances in iron metabolism: relevance for health, exercise, and performance. Med. Sci. Sports. Exerc. 47 (8), 1596–1604. https://doi.org/10.1249/mss.0000000000000593 (2015).
Shukla, V. et al. Metal-induced oxidative stress level in patients with fibromyalgia syndrome and its contribution to the severity of the disease: a correlational study. J. Back Musculoskelet. Rehabil. 34 (2), 319–326. https://doi.org/10.3233/bmr-200102 (2021).
Sepand, M. R. et al. Cigarette smoke-induced toxicity consequences of intracellular iron dysregulation and ferroptosis. Life Sci. 281, 119799. https://doi.org/10.1016/j.lfs.2021.119799 (2021).
Skrajnowska, D. & Bobrowska-Korczak, B. Role of zinc in immune system and anti-cancer defense mechanisms. Nutrients 11 (10). https://doi.org/10.3390/nu11102273 (2019).
Acknowledgements
We express our sincere gratitude to the participants and researchers of the UK BioBank, IEU OpenGWAS, and Finnish databases for their valuable contributions.
Funding
The authors declare that financial support was received for the research, authorship, and/or publication of this article. The authors disclose that they have no business or financial associations that could create potential conflicts of interest. This study was supported by the “Academic Reserve Talent Cultivation Programme for Double First-class High-level Universities” and the “National TCM Expert Workshop Construction Project” of Guangzhou University of Traditional Chinese Medicine (Huang Feng Workshop N75, 2022).‘’.
Author information
Authors and Affiliations
Contributions
Wenxing Zeng: Writing – original draft. Minhua Hu: Methodology, Writing – original draft. Luyao Ma: Conceptualization, Writing – original draft. Feng Huang: Methodology, Writing – original draft. Ziwei Jiang: Writing – review & editing.
Corresponding author
Ethics declarations
Competing interests
The authors declare that this study was conducted without any commercial or financial relationship, which could be interpreted as a potential conflict of interest.
Ethical approval
was not required for this study involving human data, in accordance with local legislation and institutional requirements. Similarly, written informed consent to participate was not necessary from the participants or their legal guardians/next of kin, as per national legislation and institutional guidelines. These decisions were based on the fact that the study used de-identified, publicly available data sets where participants’ privacy and confidentiality are inherently protected. institutional requirements.
Additional information
Publisher’s note
Springer Nature remains neutral with regard to jurisdictional claims in published maps and institutional affiliations.
Electronic supplementary material
Below is the link to the electronic supplementary material.
Rights and permissions
Open Access This article is licensed under a Creative Commons Attribution-NonCommercial-NoDerivatives 4.0 International License, which permits any non-commercial use, sharing, distribution and reproduction in any medium or format, as long as you give appropriate credit to the original author(s) and the source, provide a link to the Creative Commons licence, and indicate if you modified the licensed material. You do not have permission under this licence to share adapted material derived from this article or parts of it. The images or other third party material in this article are included in the article’s Creative Commons licence, unless indicated otherwise in a credit line to the material. If material is not included in the article’s Creative Commons licence and your intended use is not permitted by statutory regulation or exceeds the permitted use, you will need to obtain permission directly from the copyright holder. To view a copy of this licence, visit http://creativecommons.org/licenses/by-nc-nd/4.0/.
About this article
Cite this article
Zeng, W., Hu, M., Ma, L. et al. Copper and iron as unique trace elements linked to fibromyalgia risk. Sci Rep 15, 4019 (2025). https://doi.org/10.1038/s41598-025-86447-4
Received:
Accepted:
Published:
Version of record:
DOI: https://doi.org/10.1038/s41598-025-86447-4









