Abstract
Medicinal hemp (Cannabis sativa L.) is gaining popularity due to its natural products with potential therapeutic properties, and its cultivation has recently been initiated in developing countries such as Turkey, Iran, India, and Pakistan. The crop is primarily grown using feminized seeds or popular varieties to achieve higher cannabidiol (CBD) yields, with seeds costing approximately $5–10 each. However, limited knowledge exists on hemp seed germination under different seed priming techniques and variations in seedling growth parameters such as root and shoot lengths, as well as the influence of in vitro germination and growth in soil and cocopeat media. This study hypothesizes that various seed priming methods could significantly enhance hemp seed germination and different growth media may distinctly impact seedling growth of the tested cultivars. To test this, the study evaluated four cultivars/chemovars (viz., Fedora-17, Finola, CBD Pink Kush, and a local variety, Gulistan) under five seed priming treatments: indole butyric acid (IBA), moringa leaf extract, KNO3, hydro-priming, and a control (no priming). A randomized complete block design (RCBD) was used, and experimental data (in triplicate) were analyzed through analysis of variance (ANOVA) using a time-to-event approach. The findings revealed that IBA significantly (p < 0.05) improved seed germination rates, with CBD Pink Kush achieving the highest germination response (83%) among the tested cultivars. Furthermore, cocopeat demonstrated superior performance as a seedling growth medium across all cultivars, indicating its potential for hemp cultivation practices. This pioneering study provides a baseline for understanding hemp seed germination and seedling growth under different priming and growth media conditions, offering valuable insights for future research aimed at industrial and medicinal hemp production.
Similar content being viewed by others
Introduction
Hemp (Cannabis sativa L.) is an annual and dioecious plant belonging to the Cannabaceae family. This plant has been known for thousands of years due to its sustainable use for a variety of purposes. Hemp has garnered increased interest due to its potential use as medicine and the availability of non-psychotropic cultivars1. Several European and Asian countries have also established legal cultivation of hemp with THC levels below 0.3%2.
Medicinal hemp has gained significant attention in recent years, particularly in developing countries such as Turkey, India, and Pakistan. This surge in interest is attributed to the plant’s diverse applications and the growing demand for cannabinoids, which are primarily derived from hemp seeds and flowers3. However, the cultivation of hemp, especially for medicinal purposes, presents unique challenges, including the high cost associated with feminized seeds, which can be as much as $20 per seed.
Optimizing the germination process of hemp seeds is critical to achieving maximum yield and efficiency in cultivation. Seed germination is a complex process influenced by various factors4. Among them, the choice of growth media and seed priming techniques play a crucial role in determining germination success and subsequent seedling growth5. Traditionally, hemp has been grown in Europe for its fiber; however, there is now a growing interest in its diverse applications in Europe and other countries including Pakistan6. Industrial hemp cultivars produce numerous secondary metabolites, including flavonoids, terpenes, and cannabinoids, which are predominantly found in female flowers and can be extracted for pharmaceutical purposes7.
Hemp is renowned for its cannabinoids, particularly the non-psychoactive cannabidiol (CBD), known for its medicinal properties, and the psychoactive tetrahydrocannabinol (THC). Certain hemp cultivars are specifically bred to be rich in CBD, and an optimized CBD-to-THC ratio enhances their therapeutic potential, making them ideal for medical applications8. The commercial acceptance of hemp products, both as food and medicine, has significantly increased in recent years. However, there remains a lack of comprehensive agronomic information on hemp cultivation, particularly regarding germination techniques and optimal cultivation practices, which limits the crop’s potential in various industries9.
Monoecious dual-purpose cultivars are considered the best choice for hemp cultivation, particularly in Europe, as they enable simultaneous fiber and seed production. While Cannabis sativa L. is naturally a dioecious, modern breeding has produced monoecious cultivars. Monoecious cultivars, which offer higher inflorescence and seed yields compared to dioecious cultivars, have facilitated multiple uses of the crop and improved its sustainability10. The development of low-THC cultivars has furthered their utility for extracting secondary metabolites, enhancing their value as dual-purpose crops11. Breeders use selective cross-breeding to enhance CBD production while minimizing THC levels12. From an agronomic point of view, hemp has been promoted as a high-yielding crop with low-input cultivation techniques. However, experimental results confirm that special attention needs to be paid to the germination of hemp, principally medicinal cannabis.
The germination potential of seeds, a critical stage in plant development, can be significantly influenced by the growth medium13. Soil, cocopeat, and hydroponics environments offer distinct conditions for seed germination, impacting the speed and vigor of the process14. Soil, a traditional medium, provides natural nutrients and a familiar substrate for seeds, resulting in a slower but often robust germination process15. Coco peat, on the other hand, offers a more controlled and nutrient-rich environment, often leading to faster initial germination16. In vitro conditions offer precise control over factors such as temperature and humidity, which can significantly enhance germination rates. Evaluating germination potentials across various media is essential for optimizing seedling growth and improving agricultural practices for better crop productivity. Seeds have been subjected to a variety of research from primitive times. Most of the economically important crops are grown from seeds, so it is necessary to learn about their germination physiology17. Seed germination is the process by which the embryo found in the seed develops into a shoot from its plumule and root from its radicle part. Seeds absorb water, which swells the inactive tissues and starts cell division18. Seeds are heterogeneous storage reserves with a wide array of storage compounds that include various soluble carbohydrates, starch polymers, storage proteins, and lipids19. According to physiologists, germination can be defined as the emergence of the radicle via the seed coat, but seed analysts defined the process of seed germination as the emergence and development of essential structures from embryos that develop into plants under suitable conditions, while some other botanists defined seed germination as the emergence and growth of embryos in young plants by the rapture of the seed coat20. The process of seed germination can be divided into several steps that include the activation of enzymes by imbibition of water, the development of the radicle to root for absorption of water from the soil, and the development of the plumule to shoot for photosynthesis21. Seed germination is an essential phenomenon for the survival of plant species. Different environmental conditions, like temperature, moisture, soil, etc., affect the seed germination process4,22.
The study by Toklu23 demonstrated that seed priming with Indole Butyric Acid (IBA) resulted in the highest germination rates and the longest root development among all treatments. Additionally, IBA priming enhanced resistance to salinity, making it an effective method for improving seed germination and seedling vigor under challenging environmental conditions. Another study reported that increasing concentration of IBA priming resulted in increase of the sprouting and number of leaves per sprout significantly24. One of the most commonly used priming techniques is hydro-priming. This process triggers activities linked with the initial stages of germination25. The experiment conducted by Begum, et al.26 showed that seed priming with Moringa oleifera extract resulted in a significant increase in shoot and root length. Moringa leaf extract also increases the number of secondary roots in hybrid maize seeds. Results by Amooaghaie and Nikzad27 showed that priming with KNO3 media increased enzyme nitrate reductase, which in turn increased the synthesis of nitric oxide, which promoted speedy germination in tomatoes (Solanum lycopersicum L.).
Fedora-17, a monoecious hemp cultivar, is the result of breeding efforts in Ukraine and France. Renowned for its early flowering, it is specifically selected for its adaptability to diverse environments. This cultivar typically produces 6–8 tonnes of dry biomass per hectare, with seed yields ranging from 0.8 to 1 tonne per hectare, and a seed oil content of 28–30%, making it a valuable choice for both industrial and agricultural applications28. Finola is a short, early-flowering dioecious hemp cultivar characterized by limited branching and fine fibers resembling flax rather than traditional hemp. Introduced to Canada in 1998, it was officially included in Finland’s plant cultivar list in February 2003 and later published in the EU Common Catalogue in August 2003. Experimental trials in Eastern Finland reported an average seed yield of approximately 1.7 metric tons per hectare. Finola has been successfully cultivated in Canada, Australia, several European countries, and New Zealand, highlighting its global adaptability and agricultural value29. CBD Pink Kush, a feminized hemp cultivar developed by Seedsman Seeds in Europe, is renowned for its high CBD content, reaching nearly 20%. This cultivar is specifically cultivated for medicinal applications due to its potent therapeutic properties. Gulistan, on the other hand, is a dioecious hemp cultivar originating from Gulistan, Baluchistan, Pakistan. It is being utilized for the first time in our experiment, offering an opportunity to explore its potential and adaptability for research and cultivation purposes. There is limited research on the impact of seed priming and growth media on hemp cultivation. Specifically, information about the influence of different priming agents and growing media on germination potential and seedling vigor in hemp is sporadic. This study aimed to evaluate the effects of priming agents and growth media on the agronomic and quality attributes of hemp. The research investigated the impact of four priming agents—Indole Butyric Acid (IBA), Moringa leaf extract, KNO3, and hydro-priming on the germination potential of four hemp cultivars: Fedora-17, CBD Pink Kush, Finola, and Gulistan. Among these, Gulistan is a local cultivar, while the others are imported from Europe. Additionally, the study assessed seedling vigor using three different growth media: hydroponics with liquid fertilizer, cocopeat, and soil. This comprehensive investigation, the first of its kind, offers valuable insights into the seed germination and seedling growth of medicinal hemp cultivars. The findings are expected to guide the selection of optimized priming techniques and growth media for industrial and medicinal hemp cultivation, contributing to enhanced crop performance and quality.
Materials and methods
Plant material
Four hemp cultivars, namely Fedora-17, CBD Pink Kush, Finola, and Gulistan (Fig. 1) were selected for the experiment (Table 1). Seeds of Fedora-17 and Finola cultivars were obtained from the Canapuglia (URL: https://canapuglia.it/en/collections/all) via online shopping. CBD Pink Kush seeds, a feminized hemp cultivar known for its high CBD content, were sourced from the Cannabis Seed Bank of Seedsman in the United States of America. This cultivar is renowned for its medicinal properties and nearly 20% CBD concentration. In addition to the imported cultivar, a native variety of Cannabis sativa was collected from Gulistan, Baluchistan, Pakistan. This local cultivar has significant multipurpose applications in the socio-economic and cultural practices of the region’s communities. In recognition of its provenance and utility, Prof. Dr. Rahmatullah Qureshi, an esteemed taxonomist, named the cultivar ‘Gulistan.’ To prepare the seeds for experimentation, they were carefully dried to maintain moisture content of 12–15% and subsequently stored under refrigeration to preserve their viability. This meticulous preservation ensures seed quality and reliability for future research and cultivation trials.
Experimental setup
The research was conducted in the Research Laboratory of the Department of Botany, Pir Mehr Ali Shah Arid Agriculture University, Rawalpindi, Pakistan, and the Institute for Hydroponics Agriculture, Rawat, Islamabad, Pakistan, from September 2022 to October 2023. For the hemp seed germination experiment involving the selected cultivars, all glassware and apparatus were sterilized using an autoclave to ensure a contamination-free environment. The experiment was initiated under carefully controlled conditions, with temperature, moisture levels, and light exposure meticulously calibrated to maximize germination efficiency and ensure the reproducibility of results. These parameters were adjusted to reflect the specific requirements of each hemp cultivar, thereby providing an optimal environment for studying germination potential and seedling vigor.
Seeds priming
Prior to seed priming, all the seeds of different cultivars were soaked in a solution comprising 10% hydrogen peroxide (H2O2) and 1% sodium hypochlorite for a five minutes. Subsequently, the seeds underwent triple rinsing with distilled water as part of the seed priming treatment. A total of one hundred and twenty (120) randomly selected apparently healthy looking seeds of each cultivar were treated with solutions of Indole butyric acid (IBA; 1000ppm), Moringa leaf crude extract (2% in distilled water), KNO3 (4.5% in distilled water), and hydro-priming (with distilled water) for 24 h at room temperature31,32,33. Similarly, the same numbers of un-primed seeds of each cultivar were used as a control. Subsequently, all the seeds were transferred in glass petri plates (150 × 15 mm) having filter paper under ambient environment (at about 25–30 °C temperature). A total of ten seeds were transferred to each petri plate. An almost equal amount of water (0.05 ml) was applied to each seed daily and monitoring was done daily to check the germination until no further improvement was noticed for three consecutive days. Seeds were considered germinated when radicle emerged up to length of 2 mm. All the treatments were carried out in triplicates.
Preparation of Moringa leaf crude extract
Moringa oleifera leaves were collected from the main campus of the Pir Mehr Ali Shah Arid Agriculture University Rawalpindi, and dried under shade till achieving a consistent weight. A 200 g of Moringa leaves were ground to a fine powder with a grain size of 1 mm. The same was mixed in 1 L of 80% ethyl alcohol, stirred daily for three days (72 h) under room temperature conditions. Subsequently, the extract was filtered twice through Whatman No. 1 filter paper, and subjected to a rotary evaporator (40 °C temperature and reduced pressure) to evaporate the alcohol till achieving a consistent weight. Finally, the crude extract was scrapped and stored at -10 °C temperature until further use34,35,36.
Germination potential
The germination potential of hemp cultivars was assessed by recording various germination parameters including germination count, germination percentage, root length, shoot length, and seedling vigor index37.
Germination percentage
Germination percentage of seeds was calculated according to the following equation:
Where Gf is the total number of germinated seeds at the end of the experiment and n is the total number of seeds used in the test38.
Germination rate
The formula for seed germination rate was following:
Where GR represents to seed germination rate, N is total number of seeds used in the experiment and n is the number of germinated seeds39.
Length of seedlings
The lengths of the roots and shoots of the seedlings were measured using a ruler, with measurements recorded in centimeters (cm).
Seedling Vigor Index
The seedling vigor index (SVI) was estimated according to40 using the following formula:
Where RL is root length (cm), SL is shoot length (cm) and GP is germination percentage. The data of root and shoot lengths (in cm) of the seedling was measured to determine the seedling vigor index.
Growing media effects
Based on the results of the first phase of the experiment, which identified the optimal seed priming method with the most significant results, the influence of three different growing media on germination and seedling growth was evaluated. In the second phase of the experiment, the optimal seed priming method was applied to all the selected hemp cultivars. Germination and seedling growth were tested using the following growing media: hydroponics with liquid fertilizer (FloraGro from the Flora Series at a concentration of 2 ml/L of distilled water), cocopeat, and local soil. The experiments were conducted under ambient environmental conditions at the Hydroponic Agriculture facility in Rawat, Islamabad, Pakistan. These conditions were maintained to assess the effects of each growing medium on the germination potential and early growth stages of the hemp cultivars.
Statistical analysis
The experimental design was based on a Randomized Completely Block Design (RCBD). The raw data was stored in spreadsheets. The data analysis was done using linear regression analysis and time-to-event analysis also known as survival or reliability analysis. The later ones are communicated as more advantageous than the others41. The GerminaR and germination metrics packages were employed in the R statistical program42 for data analysis. A total of ten germination indices including germinated seed count, germination seed percentage, mean germination time, mean germination rate, germination speed, germination uncertainty, germination synchronization index, variance of the mean germination time, standard deviation of the mean germination time, and coefficient of variance of the mean germination time were recorded37. This quantitative data was further tested using ANOVA and Tukey’s (HSD) as a post-hoc test when appropriate43,44 to determine the significance of seed germination responses for considered cultivars and priming methods.
Results
Germination potential
The germination potential of hemp cultivars was evaluated by measuring various germination parameters such as germination count, germination percentage, root length, shoot length, and seedling vigor index. The results of recorded germination indices for the tested hemp cultivars were statistically significant (p < 0.05) when tested for seed priming and growth media factors. The results of the germination experiment are shown in Fig. 2.
Germination experiment conducted in the lab; (A) Seeds in petri plates, (B) Germination on first day, (C) Germination on third day, (D) Germination of Fedora-17 with un-primed seeds, (E) Germination of Fedora-17 with IBA, (F) Germination of Fedora-17 with Moringa, (G) Germination of Fedora-17 hydro-primed, (H) Germination of Fedora-17 with KNO3, (I) Length of seedlings on 8th day.
Germination count
The germination counts were recorded over eight days till achieving a consistent response for all hemp cultivars seeds subjected to different priming treatments (Figs. 3 and 4). On the first day, one seed each germinated for both IBA and Moringa treatments. On the second day, the germination counts were as follows: KNO3 (three seeds), un-primed (three seeds), water (three seeds), and Moringa (two seeds). Moving to the third day, germination counts were observed to be five seeds for both un-primed and IBA treatments, four seeds for water, and three seeds for Moringa. On the fourth day, germination counts were as follows: IBA (six seeds), un-primed (six seeds), and water (five seeds). Finally, on the fifth day, germination counts were noted for un-primed (seven seeds), IBA (seven seeds), and KNO3 (five seeds). Maximum germination was observed when seeds were primed with 1000ppm conc. of IBA followed by un-primed seeds and hydro-priming. Minimum germination was observed with Moringa extract (Fig. 3A-C).
Germination percentage
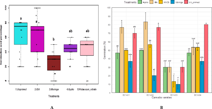
The percent germination was found directly proportional to the time period. The hydro-priming of seeds resulted in 15% germination on the first day; whereas, other treatments did not show any response. On the 2nd day, IBA showed 40% germination, followed by hydro-primed (35%), un-primed (34%), KNO3 (27%), and Moringa (15%). The germination percentage was 59% in IBA, 56% in un-primed, 40% in hydro-primed, 38.5% in KNO3, and 24% in Moringa on the third day. On the 4th day, the germination was increased up to 60% in IBA and Un-primed seeds, followed by hydro-primed (42%), KNO3 (39%), and Moringa (25%) (Fig. 4A–C).
The seed germination percentage of all the tested cultivars in terms of priming in different media is shown in (Fig. 4A–C). According to the results, maximum seed germination was observed in un-primed and IBA. The germination rates of the hydro-primed and KNO3-treated seeds were comparable. Minimum seed germination percentage was observed in Moringa extract. The maximum germination was shown by CBD Pink Kush and Fedora-17 in IBA, followed by un-primed seeds (Table 2). The optimum germination of Finola was calculated for hydro-primed and IBA (80% each). The results of Gulistan were different from the rest of the cultivars. The maximum germination was observed in un-primed treatment, followed by both IBA and KNO3, hydro-primed and Moringa. The native variety Gulistan showed best results in un-primed treatments due to its adaptation to local environmental conditions (Fig. 5A, B).
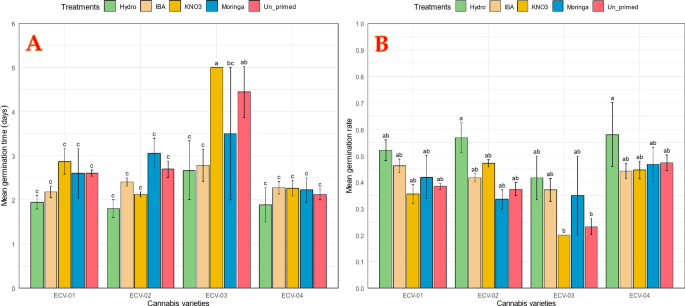
Germination time
The hydro-primed was the best medium for all the cultivars for germination time. The seeds of Fedora-17, CBD Pink Kush, and Gulistan were germinated within 2 days of treatment; whereas, Finola expressed germination on the third day in hydro-priming. The seeds of all the cultivars were germinated within 3 days of treatment with IBA. The un-primed seeds of CBD Pink Kush, and Finola were germinated on the 4th day; whereas, the germination of Finola was observed until the 5th day while treated with KNO3. Overall, Gulistan exhibited the fastest germination; whereas, there was a slight difference in germination rate in Fedora-17 and CBD Pink Kush. There was the lowest germination rate in Finola (Fig. 6A, B).
Germination rate
All the four cultivars expressed the mean maximum germination rate in hydro-primed treatments. The mean maximum germination rate was observed in Gulistan and CBD Pink Kush for hydro-primed seeds. The mean minimum germination rate was recorded in KNO3 and un-primed seeds for Fedora-17 and Finola. The CBD Pink Kush showed a minimum germination rate when seeds were treated with Moringa extract (Fig. 6B).
Root length
Overall, the maximum root length was recorded in seedlings treated with Indole Butyric Acid (IBA) (5.13 ± 0.45 cm), followed by hydro-priming (3.90 ± 0.45 cm) and potassium nitrate (KNO3). The minimum root length was observed in seedlings from unprimed seeds (Fig. 7). Among the cultivars, Gulistan demonstrated the best performance across all treatments, followed by CBD Pink Kush, Fedora-17, and Finola. The maximum root elongation (5.13 ± 0.45 cm) in Gulistan may be attributed to its distinct genetic characteristics compared to the exotic cultivars. Fedora-17 achieved a maximum root length of 3.90 ± 0.45 cm under hydro-priming treatment, while CBD Pink Kush exhibited a maximum root length of 3.47 ± 0.84 cm in both hydro-priming and KNO3 treatments (Table 2). These results highlight the significant influence of seed priming techniques and cultivar-specific genetic traits on root development.
Shoot length
There was a varied response in shoot length among the hemp cultivars across different growing media. Overall, hydro-primed seeds exhibited the highest shoot length response in all tested hemp cultivars (Fig. 8). The application of Indole Butyric Acid (IBA) further enhanced the shoot length of all the cultivars studied. The maximum shoot length was recorded in CBD Pink Kush (0.90 ± 0.08 cm), followed by Finola (0.83 cm) and Fedora-17 (0.80 cm) (Table 2). The significant improvement in shoot length across all tested cultivars emphasizes the critical role of IBA in promoting plant growth and development. This finding highlights IBA’s universal applicability as a growth regulator, underlining its effectiveness in optimizing plant performance and maximizing yield potential in hemp cultivation.
Seedling Vigor Index
Overall, the maximum seedling vigor index was recorded when seeds were supplemented with 1000 ppm of IBA treatment, followed by un-primed, hydro-primed, and KNO3 (Fig. 9).
CBD Pink Kush showed a maximum seedling vigor index (303) with IBA, followed by un-primed (248.33), KNO3 (231.3), hydro-primed (218.3), and a minimum of 32 with Moringa. Finola showed a maximum seedling vigor index of 116.67 in hydro-primed, followed by IBA (28.67), un-primed (18.33), KNO3 (13.33), and a minimum of 10 with Moringa. Gulistan showed a maximum seedling vigor index of 389.3 in un-primed seeds, followed by IBA (313.3), KNO3 (238), hydro-primed (202.67), and a minimum of 177.67 in Moringa. The maximum seedling vigor index of Gulistan in un-primed treatments reflects its resilience and natural compatibility with the native ecosystem (Table 2).
Effect of growing medium on germination potential
For Fedora-17, the germination dynamics varied significantly across growing media. In hydroponics with liquid fertilizer, the first germination was observed after 2 days, and maximum germination was reached in 5 days at 56%. In cocopeat, germination began after 3 days, with maximum germination achieved by 7 days at 49.21%. In soil, germination was slower, with the first germination occurring after 5 days and maximum germination reached in 22 days at 45%.
For CBD Pink Kush, hydroponics demonstrated the fastest response, with the first germination appearing after 1 day and maximum germination attained in 6 days at 57.34%. In cocopeat, germination began after 3 days, and maximum germination was recorded by 6 days at an impressive 86.23%. In soil, germination was delayed, starting after 6 days, and maximum germination was observed in 24 days at 70% (Table 3).
There was varying germination performance in Finola across different growth media. In hydroponics with liquid fertilizer, the first germination was observed after 2 days, with maximum germination achieved by 7 days at 30%. In cocopeat, the first germination was noted after 3 days, reaching maximum germination in 7 days at 67.81%. In soil, germination was slower, beginning after 8 days, and maximum germination was attained in 26 days at 42%. For Gulistan, germination showed a more rapid response in hydroponics, where the first germination occurred after 1 day, with maximum germination attained by 4 days at 54%. In cocopeat, germination started after 3 days, with maximum germination reached in 6 days at 77.07%. In soil, germination was delayed, first occurring after 8 days, and maximum germination was recorded in 28 days at 29.16% (Table 3).
Effect of IBA treatment on seedling growth uniformity
Seed germination rates were notably improved, and seedling growth was uniform and vigorous across all tested hemp cultivars when seeds were treated with 1000 ppm of Indole Butyric Acid (IBA). All germination parameters, including emergence rate, mean germination time, mean germination rate, root length, shoot length, and the seedling vigor index, showed significant enhancements under IBA treatment. IBA demonstrated a profound influence on the germination dynamics of hemp cultivars. This growth regulator not only enhanced germination rates and root and shoot development but also supported other critical growth stages, such as flowering and fruit set, in various plant species. Its versatility and effectiveness in stimulating multiple aspects of plant growth establish IBA as a pivotal tool in agricultural practices and horticultural industries. These results emphasize IBA’s potential as a standard priming agent for improving hemp seed germination and seedling vigor, particularly in industrial and medicinal hemp cultivation.
Discussion
This study comprehensively evaluated various medicinal hemp cultivars, examining the effects of selected seed priming techniques and growth media on seed germination and seedling vigor. Among the treatments, the maximum germination rates were observed when seeds were primed with 1000 ppm of Indole Butyric Acid (IBA), followed closely by hydro-priming. Conversely, the minimum germination rates were recorded with Moringa leaf extract as a priming agent (Fig. 3). Similar results were reported by Ghodrat, et al.45 showing that priming with Indole Butyric Acid (IBA) maximized the seed germination and better establishment of root by shaping necessary seed physiology. Our results indicated that IBA treatment promoted germination by increase in counts on the third and fifth days (Fig. 5). This effect may be attributed to influence on hormonal balance and cell elongation46. KNO3 treatment also showed a positive influence on hemp seed germination (Fig. 3). These findings are aligned with previous studies reporting the positive effects of IBA and KNO3, application on the seed germination. Such applications enhance the germination process by providing essential nutrients or acting as growth regulators47. reported that SA and CaCl2 primed of wheat seeds with significantly increased rate of germination; while, our results indicated that hydro priming accelerated the rate of germination. These findings might contribute valuable insights into optimizing medicinal hemp seed germination processes, particularly in the context of agricultural practices.
The optimum germination of Finola cultivar was recorded in hydro-primed and IBA treatments (80% each). Contrastingly, an experiment conducted by Pawar, et al.24 showed higher concentration of IBA compared to our resulted in detrimental effects on germination, seedlings sprouting, and the number of leaves per sprouting. The germination results demonstrated the efficacy of IBA treatment in enhancing germination percentages for CBD Pink Kush and Fedora-17. For CBD Pink Kush, the application of IBA resulted in germination percentage of (83.33) followed by Fedora-17 with germination percentage of 76.67% (Table 2). These results are aligned with existing literature highlighting the effectiveness of Gibberellic acid and IBA in promoting seed germination48.
Our results are similar to the findings of Damalas, et al.49 experimented on Faba bean. The hydro-primed seeds showed a 16.2% higher speed of germination compared to the control. Contrary to the results of Amooaghaie and Nikzad27 priming with KNO3 media prolonged the germination in all cultivars. Overall, Gulistan exhibited the fastest germination; whereas, there was a slight difference in germination rate in Fedora-17 and CBD Pink Kush. There was the slowest germination rate in Finola. These findings are align with the notion that the effectiveness of priming agents can vary, emphasizing the importance of selecting appropriate treatments based on desired outcomes50.
All four cultivars expressed a mean maximum germination rate with hydro-primed treatments. The same results were reported by Damalas, et al.49 and Adhikari, et al.51. The mean minimum germination rate was recorded with KNO3 and un-primed seeds for Fedora-17 and Finola. The CBD Pink Kush showed a minimum germination rate when seeds were treated with Moringa extract. Our results are align with the findings of Phiri52 who reported the influence of moringa leaf extract on germination of major cereal crops. Specifically, the germination percentage of rice was reduced by 7%. The negative effect of Moringa leaf extract on the germination of hemp seeds could be attributed to several factors such as it contains bioactive compounds like allelochemicals, which may exhibit allelopathic effects on hemp seeds. These compounds may inhibit seed germination and seedling growth by interfering with essential physiological processes53.
The seedling vigor index is a quantitative characteristic that determines the overall performance of seeds in terms of post-storage performance, emerging ability in unfavorable conditions, growth of seedlings, and rate and uniformity of germination54. CBD Pink Kush showed a maximum seedling vigor index (303) with IBA, followed by un-primed (248.33), KNO3 (231), hydro-primed (218.3), and a minimum of 32 with Moringa. Dhoran and Gudadhe55 reported the same trend for Asparagus sprengeri and the seedling vigor index was found to be a maximum of 850 when treated with GA3. The results of Chormule, et al.56 also revealed maximum seedling vigor index i.e. root length and shoot length when seeds of scallion were treated with IBA. Gulistan also showed a maximum seedling vigor index of 389.3 in un-primed seeds followed by IBA (313.3), KNO3 (238), hydro-primed (202.67), and a minimum of 177.67 in Moringa (Table 2; Fig. 9). Khan, et al.57 also reported that Moringa leaf extract exhibited poor germination in all tested cultivars. The observed inhibition of hemp seed germination by Moringa leaf extract suggests a potential disruption of key metabolic pathways vital for this process. It is conceivable that the extract’s bioactive constituents interfere with essential enzymatic activities crucial for initiating germination. Understanding the exact mechanisms behind Moringa leaf extract’s inhibition of hemp seed germination requires further investigation. The same results were reported by45 when they primed seeds of wheat with IBA. They observed that all the germination parameters were significantly improved. The findings of Kharnaior and Thomas48 are also align with our results when they primed the seeds with IBA (conc. 200ppm), the speed of germination was increased.
Overall, the maximum root length of hemp cultivars was found in IBA treatment (5.13 ± 0.45), followed by hydro-priming (3.90 ± 0.45), KNO3 (3.93 ± 0.26), and un-primed (Fig. 3). Among cultivars, Fedora-17 responded well in all treatments, followed by Finola, CBD Pink Kush, and Gulistan (Fig. 9B). The application of IBA enhanced the shoot length of all tested cultivars and the maximum shoot length was recorded in Finola (0.83 cm), followed by Fedora-17 (0.80 cm) and CBD Pink Kush (Fig. 8). Similar results were reported by Ghafoor, et al.58 in carrot seeds treated with IBA (25 ppm), revealed maximum root elongation (2.98 cm). Ghafoor, et al.58 reported that the different plant species may have different requirements and responses under such treatments.
The data demonstrated distinct germination patterns among various hemp cultivars and growth media. In hydroponics with liquid fertilizer, germination response was faster in case of initial germination compared to cocopeat and soil. However, cocopeat consistently exhibited relatively rapid and uniform germination across all cultivars59. CBD Pink Kush showed notably higher germination rates in cocopeat compared to other media. Soil, on the other hand, consistently showed slower germination rates compared to the other media types. The delayed germination in soil may be attributed to factors such as nutrient availability, soil compaction, and moisture content, which may vary and impact seedling emergence60. The choice of growth media significantly influences the germination characteristics of hemp seeds. Cocopeat emerges as a promising medium for germination due to its consistent performance across different cultivars, underscoring its potential for application in hemp cultivation practices.
Conclusions
The study validated the effects of priming techniques and growth media on the germination potential of selected four hemp cultivars. Hydro-priming revealed the most effective medium for the germination period; while, IBA priming resulted in a higher germination rate. Similarly, considering all the hemp cultivars, CBD Pink Kush exhibited the highest seed germination rate. The highest seedling vigor index was observed in Fedora-17, CBD Pink Kush, and Gulistan supplemented with IBA. This research suggests recommending 24 h of IBA (1000ppm) priming or hydro priming before sowing, along with cocopeat as a growth medium, as standard practice for farmers and researchers. These methods would ensure higher germination rates, improve seedling growth and development, and ultimately lead to increased crop yields. These insights are vital for agricultural practitioners and researchers to consider both variety-specific traits and priming techniques for enhanced crop establishment and productivity.
Data availability
All the data is available within the article.
References
Steinberg, J. N. Cannabis Legalization: An Ethnography of the Global Movement and Market Forces (University of Oxford, 2022).
Small, E. Classification of Cannabis sativa L. in relation to agricultural, biotechnological, medical and recreational utilization. Cannabis sativa L -Botany Biotechnol., 1–62 (2017).
Malabadi, R. B. et al. Cannabis sativa: A therapeutic medicinal plant-global marketing updates. (2024).
Hussain, K. et al. Temperature, topography, woody vegetation cover and anthropogenic disturbance shape the orchids distribution in the western Himalaya. South. Afr. J. Bot. 166, 344–359. https://doi.org/10.1016/j.sajb.2024.01.042 (2024).
Mondal, S. & Bose, B. Seed priming: an interlinking technology between seeds, seed germination and seedling establishment. Plant. Reprod. Ecol.-Recent Adv., 107–122 (2021).
Westphal, J. M. W. The Sustainability of Hemp: An Overview of Product and Use in Business. (2023).
Jin, D., Dai, K., Xie, Z. & Chen, J. Secondary metabolites profiled in cannabis inflorescences, leaves, stem barks, and roots for medicinal purposes. Sci. Rep. 10, 3309 (2020).
Pellati, F. et al. Cannabis sativa L. and nonpsychoactive cannabinoids: their chemistry and role against oxidative stress, inflammation, and cancer. BioMed. Res. Int. 2018 (2018).
Folina, A. et al. Evaluation of woven agrotextiles in the development of hemp (Cannabis sativa L.) in greenhouse. (2020).
Ferfuia, C. et al. Performance and stability of different monoecious hemp cultivars in a multi-environments trial in North-Eastern Italy. Agronomy 11, 1424 (2021).
Calzolari, D. et al. High added-value compounds from Cannabis threshing residues. Ind. Crops Prod. 108, 558–563 (2017).
Toth, J. A. et al. Development and validation of genetic markers for sex and cannabinoid chemotype in Cannabis sativa L. Gcb Bioenergy. 12, 213–222 (2020).
Kermode, A. R. Seed Development and Germination 273–332 (Routledge, 2017).
Feizi, F. & Mousavi, M. Facilitate seed germination of the golden shower tree (Cassia fistula) in vitro using TiO2 nanoparticles and scarification treatments. J. Agric. Sci. 8, 19–27 (2016).
Bhattacharya, A. Effect of low-temperature stress on germination, growth, and phenology of plants: a review. Physiological Processes Plants under low Temp. Stress, 1–106 (2022).
Bhardwaj, R. Effect of growing media on seed germination and seedling growth of papaya cv.‘Red lady’. Afr. J. Plant Sci. 8, 178–184 (2014).
Finch-Savage, W. E. & Bassel, G. W. Seed vigour and crop establishment: extending performance beyond adaptation. J. Exp. Bot. 67, 567–591 (2016).
Haj Sghaier, A. et al. The effects of temperature and water on the seed germination and seedling development of rapeseed (Brassica napus L). Plants 11, 2819 (2022).
Bewley, J. D. et al. Synthesis of storage reserves. Seeds: Physiology of Development, Germination and Dormancy, 3rd Edition, 85–131 (2013).
Obroucheva, N. Germination program in non-dormant seeds: programming, saving and implementation. Russ. J. Plant Physiol. 68, 1003–1017 (2021).
Khalid, N., Tarnawa, Á., Kende, Z., Kassai, K. M. & Jolánkai, M. Viability of maize (Zea mays L.) seeds influenced by water, temperature, and salinity stress. Acta Hydrol. Slovaca. 22, 113–117 (2021).
Joshi, R. Role of enzymes in seed germination. Int. J. Creative Res. Thoughts. 6, 1481–1485 (2018).
Toklu, F. Effects of different priming treatments on seed germination properties, yield components and grain yield of lentil (Lens culinaris Medik). Notulae Botanicae Horti Agrobotanici Cluj-Napoca. 43, 153–158 (2015).
Pawar, B., Jadhav, A., Kale, A., Chimote, V. & Pawar, S. Differential in vitro morphology exhibited by pigeonpea seedlings in response to plant growth regulators. Vegetos 35, 656–662 (2022).
Zhao, S., Garcia, D., Zhao, Y. & Huang, D. Hydro-electro hybrid priming promotes carrot (Daucus carota L.) seed germination by activating lipid utilization and respiratory metabolism. Int. J. Mol. Sci. 22, 11090 (2021).
Begum, S., Ahmed, M. & Rahman, M. M. Effect of cooking temperature and storage period on preservation of water soluble vitamin C content in Citrus macroptera and Moringa oleifera lunk. Asian J. Food Agro-Industry. 2, 255–261 (2009).
Amooaghaie, R. & Nikzad, K. The role of nitric oxide in priming-induced low-temperature tolerance in two genotypes of tomato. Seed Sci. Res. 23, 123–131 (2013).
Dyer, K. Extraction, Characterization, and Monosaccharide Composition Comparison of Polysaccharides Extracted from Cannabis sativa Cherry Hemp Root and Fedora 17 Hemp Leaves (Middle Tennessee State University, 2021).
Callaway, J. Hemp seed production in Finland. J. Industrial hemp. 9, 97–103 (2004).
Clarke, R. & Merlin, M. Cannabis: Evolution and Ethnobotany (Univ of California, 2016).
Sirvi, M. & Bohra, N. Effects of Hormonal treatment on seed germination Behavio r of Dalbergia sissoo Roxb. Asian J. Basic. Sci. Res. 5, 101–106 (2023).
Aktar, M. S. Induction of Drought Tolerance in Wheat Through Nutrient and Hydro Priming. (2021).
Moaaz Ali, M. et al. Effect of seed priming with potassium nitrate on the performance of tomato. Agriculture 10, 498 (2020).
Hala, H. & Nabila, A. E. Effect of Moringa oleifera leaf extract (MLE) on pepper seed germination, seedlings improvement, growth, fruit yield and its quality. Middle East. J. Agric. Res. 6, 448–463 (2017).
Anwar, T. et al. Allelopathic activity of solvent extracts of Rhazya Stricta Decne. Against selected weeds of wheat crop. Appl. Ecol. Environ. Res. 16, 5405–5421. https://doi.org/10.15666/aeer/1605_54055421 (2018).
Munir, M., Khan, A. M., Qureshi, R., Murtaza, S. & Munazir, M. Preliminary phytochemical screening, proximate analysis, antioxidant and antibacterial activities of an algal species of Hydrodictyon reticulatum. J. Bioresource Manage. 7, 120–148. https://doi.org/10.35691/JBM.0202.0147 (2020).
Lozano-Isla, F., Benites‐Alfaro, O. E. & Pompelli, M. F. GerminaR: an R package for germination analysis with the interactive web application GerminaQuant for R. Rep. No. 0912–3814. (Wiley Online Library, 2019).
Reed, R. C., Bradford, K. J. & Khanday, I. Seed germination and vigor: ensuring crop sustainability in a changing climate. Heredity 128, 450–459 (2022).
Xiao, H., Chen, Z., Yi, S. & Liu, J. Rapid detection of maize seed germination rate based on gaussian process regression with selection kernel function. Vib. Spectrosc. 129, 103595 (2023).
Abdul-Baki, A. A. & Anderson, J. D. Vigor determination in soybean seed by multiple criteria 1. Crop Sci. 13, 630–633 (1973).
McNair, J. N., Sunkara, A. & Frobish, D. How to analyse seed germination data using statistical time-to-event analysis: non-parametric and semi-parametric methods. Seed Sci. Res. 22, 77–95 (2012).
Core Team, R. R. R: A language and environment for statistical computing (ver. 4.3.2). http://www.R-project.org/ (R Foundation for Statistical Computing, 2023).
Ali, F., Khan, N., Khan, A. M., Ali, K. & Abbas, F. Species distribution modelling of Monotheca Buxifolia (Falc.) A. DC.: Present distribution and impacts of potential climate change. Heliyon 9, e13417. https://doi.org/10.1016/j.heliyon.2023.e13417 (2023).
Khan, A. M. et al. MaxEnt Modelling and impact of climate change on habitat suitability variations of economically important chilgoza pine (Pinus gerardiana Wall.) In South Asia. Forests 13, 715. https://doi.org/10.3390/f13050715 (2022).
Ghodrat, V., Rousta, M. & Tadaion, M. Effect of priming with indole-butyric acid (IBA) on germination and growth of wheat under saline conditions. Int. J. Agric. Crop Sci. (IJACS). 4, 289–292 (2012).
Farooq, M. et al. Physiological role of exogenously applied glycinebetaine to improve drought tolerance in fine grain aromatic rice (Oryza sativa L). J. Agron. Crop. Sci. 194, 325–333 (2008).
Faisal, S. et al. Effects of priming on seed germination, physico-chemistry and yield of late sown wheat crop (Triticum aestivum L). Pol. J. Environ. Stud. 32 (2023).
Kharnaior, S. & Thomas, S. The Effect of Aquilaria malaccensis seed primed with gibberellic acid and indole butyric acid. J. Trop. For. Sci. 35, 367–376 (2023).
Damalas, C. A., Koutroubas, S. D. & Fotiadis, S. Hydro-priming effects on seed germination and field performance of faba bean in spring sowing. Agriculture 9, 201 (2019).
Hu, H. et al. Fiber and seed type of hemp (Cannabis sativa L.) responded differently to salt-alkali stress in seedling growth and physiological indices. Ind. Crops Prod. 129, 624–630 (2019).
Adhikari, B., Dhital, P. R., Ranabhat, S. & Poudel, H. Effect of seed hydro-priming durations on germination and seedling growth of bitter gourd (Momordica charantia). PloS One. 16, e0255258 (2021).
Phiri, C. Influence of Moringa oleifera leaf extracts on germination and early seedling development of major cereals. Agric. Biology J. North. Am. 1, 774–777 (2010).
Soliman, M. H., Ahlam, H. H., Hamdah, A. & Shroug, S. Allelopathic effect of Moringa oleifera leaves extract on seed germination and early seedling growth of faba bean (Vicia faba L.). (2017).
Basu, S. & Groot, S. P. Seed Vigour and Invigoration. Malavika Dadlani, 67 (2023).
Dhoran, V. & Gudadhe, S. Effect of plant growth regulators on seed germination and seedling vigour in Asparagus sprengeri Regelin. Int. Res. J. Biol. Sci. 1, 6–10 (2012).
Chormule, C., Sagar, R. & Sukul Premasis, S. P. & Kesha Ram, K. R. Efficacy of seed invigoration in wheat (Triticum aestivum L.) seed on germination and vigour. (2019).
Khan, S. et al. Application of moringa leaf extract as a seed priming agent enhances growth and physiological attributes of rice seedlings cultivated under water deficit regime. Plants 11, 261 (2022).
Ghafoor, F., Liaqat, S. & Iqbal, W. The hormonal seed priming in relation to carrot germination. J. La. Lifesci. 1, 1–5 (2020).
Chauhan, R., Jadhav, S. & Quraishi, A. An efficient seed germination and seedling establishment protocol for hybrid Carica papaya Linn. With application of plant growth regulator. Biotechnology 13, 139–142 (2014).
Trivedi, D. R. & Joshi, A. G. Studies on seed germination of Stereospermum suaveolens with respect to different parameters. Environ. Experimental Biology. 12, 33–37 (2014).
Acknowledgements
The article is extracted from the PhD Dissertation of the first author. The authors thankfully acknowledge the APC support provided by the Researchers Supporting Project Number (RSPD2024R966).
Funding
The authors extend their appreciation to the Researchers Supporting Project number (RSP2024R966) King Saud University, Riyadh, Saudi Arabia.
Author information
Authors and Affiliations
Contributions
Conceptualization, S.L and R.Q; methodology, S.L and S.S.H.S; software, A.M.K; validation, R.Q, A.R, Q.H and N.I; investigation, S.L and S.S.H.S.; data curation, S.L, S.S.H.S, A.M.K and R.Q; Writing—original draft preparation, S.L and S.S.H.S; writing—review and editing, S.L, S.S.H.S, R.Q, A.R and S.R; visualization, N.K and M.A.A-M; supervision, R.Q, N.I and Q.H; Formal analysis, A.M, S.F, M.A.A-M and B.H.K; Funding acquisition, A.M, S.F, M.A.A-M and B.H.K. All authors reviewed the manuscript.
Corresponding author
Ethics declarations
Ethics
The experiment was conducted in compliance with relevant institutional, national, and international guidelines and legislation.
Competing interests
The authors declare no competing interests.
Additional information
Publisher’s note
Springer Nature remains neutral with regard to jurisdictional claims in published maps and institutional affiliations.
Rights and permissions
Open Access This article is licensed under a Creative Commons Attribution-NonCommercial-NoDerivatives 4.0 International License, which permits any non-commercial use, sharing, distribution and reproduction in any medium or format, as long as you give appropriate credit to the original author(s) and the source, provide a link to the Creative Commons licence, and indicate if you modified the licensed material. You do not have permission under this licence to share adapted material derived from this article or parts of it. The images or other third party material in this article are included in the article’s Creative Commons licence, unless indicated otherwise in a credit line to the material. If material is not included in the article’s Creative Commons licence and your intended use is not permitted by statutory regulation or exceeds the permitted use, you will need to obtain permission directly from the copyright holder. To view a copy of this licence, visit http://creativecommons.org/licenses/by-nc-nd/4.0/.
About this article
Cite this article
Latif, S., Qureshi, R., Rauf, A. et al. Influence of different priming treatments on germination potential and seedling establishment of four important hemp (Cannabis sativa L.) cultivars. Sci Rep 15, 3073 (2025). https://doi.org/10.1038/s41598-025-86469-y
Received:
Accepted:
Published:
Version of record:
DOI: https://doi.org/10.1038/s41598-025-86469-y
Keywords
This article is cited by
-
Herbicide use and weed management strategies in hemp cultivation
Journal of Cannabis Research (2025)
-
Cannabis Sativa L. Leaves Powder as an Effective Biosorbent for the Elimination of Precarious Crystal Violet Dye from Aqueous Solution
Water, Air, & Soil Pollution (2025)
-
Sirocladium kumaoense derived iron nanoparticles as a biopriming agent for enhanced early growth of rice seedlings
Journal of Applied Phycology (2025)











