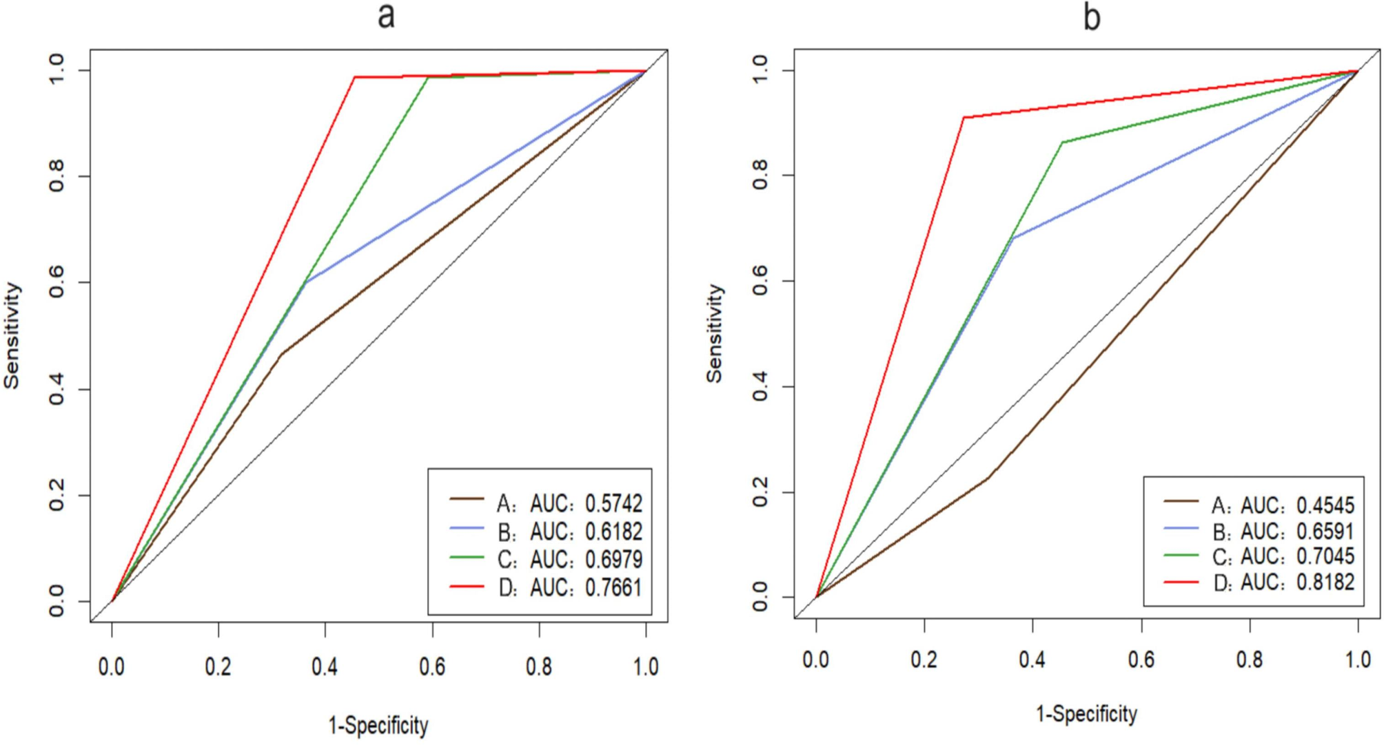
Fig. 5

The receiver operating characteristic curves of each examination method (Figure a shows the diagnosis of intraductal papilloma. Figure b shows the diagnosis of intraductal malignancy.) (A, smear cytology; B,liquid-based cytology; C, FDS + smear cytology; D, FDS + liquid-based cytology).