Fig. 6
From: Lithium recovery from mixed spent LFP-NMC batteries through atmospheric water leaching

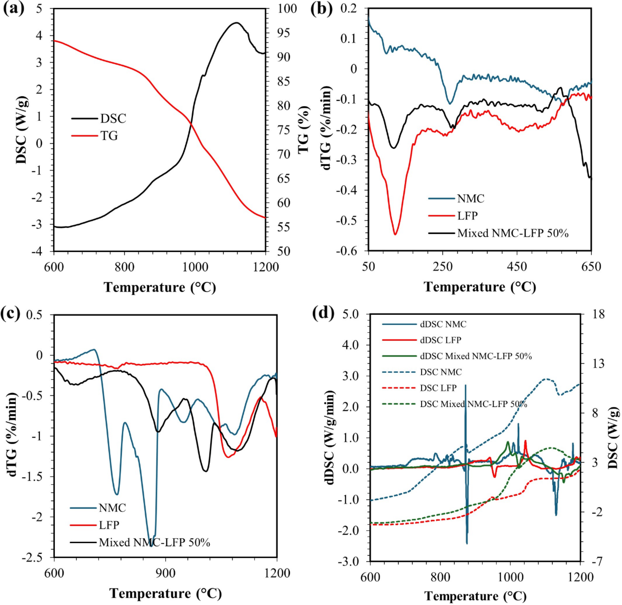
(a) Thermogravimetric (TG) and differential scanning calorimetry (DSC) curves, (b) first derivative (dTG) curves from 600 to 1200 °C, (c) first derivative (dTG) curves from 50 to 650 °C, and (d) first derivative (dTG and dDSC) curves of mixed LFP-NMC black mass.