Fig. 10

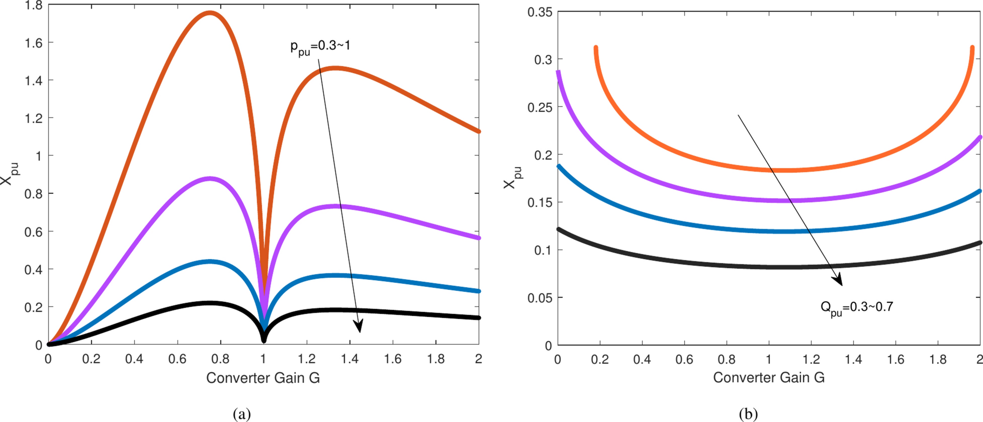
The variation of converter gain G regards to \(X_{pu}\) (a) different normalized \(P_{pu}\); (b) different normalized \(Q_{pu}\).

The variation of converter gain G regards to \(X_{pu}\) (a) different normalized \(P_{pu}\); (b) different normalized \(Q_{pu}\).