Fig. 9
From: Stable quantum droplets with high-order vorticity in zero-order Bessel lattice

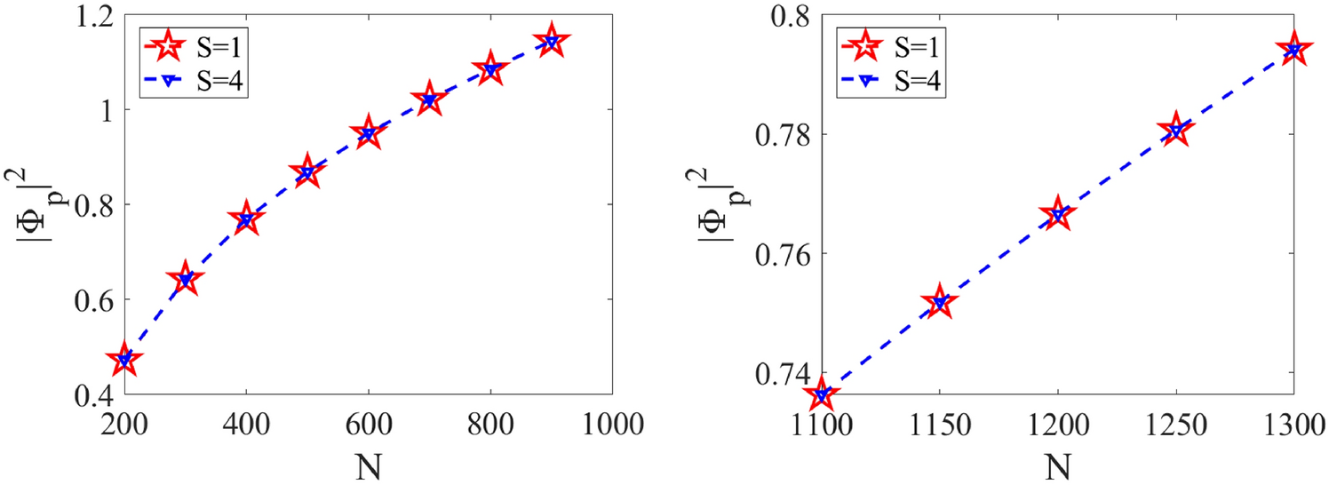
Peak value for \(S=1,4\). Here \(k=2\), V0=20 and \(R=20\).
From: Stable quantum droplets with high-order vorticity in zero-order Bessel lattice

Peak value for \(S=1,4\). Here \(k=2\), V0=20 and \(R=20\).