Abstract
A theoretical framework is presented to investigate the stability of novel two-dimensional quantum droplets within zeroth-order Bessel lattices. The evolution of quantum droplets is studied by the Gross–Pitaevskii equations with Lee–Huang–Yang corrections. The circular groove structure inherent in the zeroth-order Bessel lattice potential facilitates the formation of distinct configurations, including stable zero-vorticity annular quantum droplets and annular quantum droplets featuring embedded vorticity. The stability region of these quantum droplets is achieved through direct numerical simulations. It is found that the lower limit of the stability range for quantum droplets under this optical lattice remains unaffected by vorticity. Conversely, the upper limit exhibits a discernible dependence on vorticity. Subsequently, the study extends to the construction of stable composite states, manifesting as nested concentric multiring structures. Numerical results not only validate the feasibility of nesting vortical quantum droplets under the influence of a zeroth-order Bessel lattice potential but also establish that the vorticity of the smaller droplet within nested vortical quantum droplets does not surpass half of that observed in the larger droplet. Moreover, a comparative analysis highlights the enhanced stability of nested quantum droplets with varying vorticities when contrasted with their counterparts possessing identical vorticities.
Similar content being viewed by others
Introduction
The advent of Bose–Einstein condensates (BECs)1,2,3and degenerate Fermi gases4 has propelled ultracold quantum gases into the forefront of quantum research, offering rich platforms to explore novel quantum phenomena and emergent states of matter through meticulous manipulation of internal and external degrees of freedom5,6,7,8,9,10. While short-range isotropic contact interactions are fundamental in most ultracold quantum gas systems, the introduction of Feshbach resonance enables the transition from repulsive to attractive interactions, paving the way for the realization of condensed states11. However, mean-field approximations predict the instability of BECs with contact interactions in untrapped free space12. This instability manifests as expansion or collapses in two- and three-dimensional (2D and 3D) space due to effective repulsive and attractive contact interactions, respectively13,14,15. To account for these complex behaviors, quantum fluctuation effects beyond mean-field approximations become crucial, leading to corrections in the ground state energy. While quantum fluctuations are often negligible in ultracold gases with weak interactions, they play a critical role in systems with competing mean-field interactions, counterbalancing weak attractive forces and preventing collapse, thereby giving rise to exotic quantum droplets. The pioneering work of Lee, Huang, and Yang in 1957 introduced the concept of quantum fluctuations and the associated Lee–Huang–Yang (LHY) correction16,17. In 2015, Petrov predicted the stable existence of quantum droplets by incorporating LHY corrections into Bose–Bose mixtures with competing interactions18, a prediction subsequently validated through experiments with Bose–Bose mixtures19 and dipole ultracold quantum gases20. The experimental realization of quantum liquids provides an invaluable platform to probe quantum many-body theories, igniting widespread interest and extensive research efforts21,22,23,24,25.
Quantum fluctuations exhibit diverse manifestations across different dimensions, leading to varied competitive modes between atomic contact interactions under mean field approximation and interactions arising from quantum fluctuations, thus giving rise to a plethora of new quantum droplet types26,27,28. Achieving the creation of droplets necessitates a delicate balance between intra- and inter-species interactions, encompassing the combined influences of mean-field and quantum fluctuation effects. In one-dimensional (1D) systems, beyond mean-field interactions (stemming from quantum fluctuations) are attractive, contrasting with repulsive effective mean-field interactions29. However, in 3D systems, the effective mean-field interaction becomes attractive, while beyond mean-field interactions repel30. In 2D space, the LHY correction’s magnitude is contingent upon changes in system density17,31,32. At low densities, the negative LHY correction induces self-focusing, fostering quantum droplet formation. Conversely, at high densities, the positive LHY correction stabilizes quantum droplets, preventing collapse. The dimensional variation in LHY correction expands the repertoire of quantum droplet possibilities, enriches the field of study, and intensifies interest in this area33,34,35,36,37.
The introduction of optical potential fields offers extensive control over quantum droplets, unlocking diverse possibilities for their stable existence, morphological characteristics, and dynamic behaviors. In 1D harmonic potentials, previous studies predicted the emergence of stable multi-peaked and staggered discrete quantum droplets38,39. Furthermore, investigations into quasi-1D arrays unveiled the stability of semi-discrete zero-vorticity and vortex quantum droplets40, highlighting the significant impact of 1D optical lattices on droplet structure and stabilization. Transitioning to 2D anharmonic potentials, predictions suggested the presence of stable multipole quantum droplets with up to 14 pole numbers41. Significant findings in 2D square optical lattices included the identification of various fundamental and vortex lattice quantum droplets42. Additionally, the removal of weak trapping potentials in 2D settings revealed the existence of metastable rotating vortex quantum droplets43, while exploration of 2D radial lattices led to the discovery of stable ring-shaped vortex quantum droplets with embedded vorticity values extending up to \(S=10\)35. In the context of multi-well potentials, spontaneous symmetry-breaking phenomena were observed in 2D systems44. Other scenarios, such as parity-time (PT) symmetric harmonic-Gaussian potentials and spherical trap potentials, demonstrated stable quantum droplet formations in different dimensional settings45,46. Rare stable 3D vortex quantum droplets with embedded vorticity up to S = 8 were identified in 3D harmonic potentials47. These cumulative findings across both 2D and 3D systems underscore the transformative influence of external potential fields, altering system dimensionality and fostering diverse forms of LHY correction. This expansion of possibilities in the realm of quantum droplets reflects growing interest and research focus in this captivating scientific domain. The present study offers a theoretical framework for understanding the stability and evolution of two-dimensional quantum droplets within zeroth-order Bessel lattices. Through numerical simulations and subsequent analysis, we explore the formation of stable annular quantum droplets with and without embedded vorticity and investigate stable composite states in the form of nested concentric multiring structures. Section II outlines the employed models, Section III presents simulation outcomes and analysis, and Section IV summarizes our findings.
The model
Consider two identical bosonic species \((\psi _{+,-})\), characterized by densities \(n_1\) = \(|\psi _+|^2\) and \(n_2 = |\psi _-|^2\) . Under the transverse confinement and the influence of LHY and mean-field effects, the evolution of two-component binary BECs can be described as:
where g > 0 represents the coupling constant, and \(\nabla ^2 = \partial _x^2 + \partial _y^2\)is the respective Laplacian. The assumption is made that the two components are symmetric, i.e.,
By substituting Eq. (2) into Eq. (1) and considering the external potential field, Eq. (1) simplifies to a single-component Gross–Pitaevskii equation with an external potential and LHY correction term48. Here, \(\psi\) is the combined wavefunction representing the symmetric state, and this substitution allows us to simplify the two-component system into a single effective component:
where V represents the external potential. This simplified two-dimensional GP equation is generally applicable when the radial size \(l_{2D}\) is much larger than \(\sqrt{a_{\pm } \cdot a_{\perp }}\) (where \(a_{\pm }\) and \(a_{\perp }\) represent the two-dimensional scattering lengths for each component and the transverse confinement length, respectively). This condition is suitable for current experimental values (\(l_{2D} \approx 10 \, \upmu \text {m}, \quad a_{\pm } \approx 3 \, \text {nm}, \quad a_{\perp } \le 1 \, \upmu \text {m}\)).In the case of a zero-order Bessel potential lattice, the external potential V is given by the following expression:
where \(r = \sqrt{x^2 + y^2}\) is the radial coordinate, and \(V_0\) is the depth of the lattice potential. Increasing \(V_0\) makes the peaks and troughs of the potential energy surface steeper while decreasing \(V_0\) makes it smoother. If \(V_0\) is zero, Eq. (3) will degenerate to the case of quantum droplets in free space. The parameter k determines the oscillation frequency in the Bessel lattice potential. The parameter R controls the propagation characteristics of waves. Increasing R will increase the distance between the peak and trough. The parameter j controls the order of the Bessel function, where j = 0 represents the use of the zero-order Bessel lattice potential. Figure 1a gives a typical zero-order Bessel potential When k = 2, \(V_0 = 20\), R = 20. In this case, the potential energy gets its maximum at the center of the lattice, and it exhibits annular shapes. Figure 1b shows a side cross-section of the Bessel lattice potential, clearly showing the positions of the first and second slots.
Several conserved quantities can be obtained from Eq. (3). The number of particles can be described as
and the effective area A is
The Hamiltonian for Eq. (3) is
where \(E_K\), \(E_V\), and \(E_{LHY}\) represent the kinetic energy, energy from the lattice potential term, and energy from the LHY correction term, respectively. They can be expressed as:
To reach the steady-state solution of Eq. (3) in polar coordinates, the quantum droplets with the radial symmetry can be described as
where \(\mu\) represents the chemical potential, S is the integer topological index embedded within the vortex, and \(\theta\) represents the angular coordinate in polar coordinates. Substituting Eq. (11) into Eq. (3), the real-valued function \(\phi\) satisfies
According to Ref.15, when the Thomas–Fermi approximation is adopted, Eqs. (7) and (12) can produce ring-shaped quantum droplets, which has a constant peak density \(|\phi _P|^2\), the effective area of the quantum droplet can also be estimated as
(a) The graph of the zero-order Bessel potential with k = 2, V0 = 20 and R = 20. (b) zero-order Bessel potential cross-section.
Numerical results and discussion
Localized solutions of Eq. (12) with fixed N and S were obtained using the imaginary-time evolution method (ITE) combined with the split-step Fourier method (SSFM)48, applied to Eq. (3) and input \(\phi (r) = r^s \exp \left( -\alpha r^2 + i S \theta \right) , \quad \alpha > 0\).The ITE method involves substituting \(t \rightarrow i \tau\), transforming the time-dependent equation into a form that converges to the ground state by suppressing higher-energy components. The spatial derivatives were computed using a finite difference scheme with a grid resolution of \(\Delta x\) and \(\Delta y\) in the x and y directions, respectively, ensuring sufficient accuracy. For time evolution, we utilized a time step \(\Delta t\) in the imaginary time evolution method, combined with the split-step Fourier method to efficiently handle linear and nonlinear terms. These conditions are well-suited for SSFM, enabling efficient computation of spatial derivatives through the Fast Fourier Transform (FFT) and minimizing boundary artifacts. This approach allowed us to explore various quantum droplet solutions with different embedded vorticities S.Then this study employs the split-step method combined with the fourth-order Runge-Kutta algorithm to simulate the evolution of the nonlinear Schrödinger equation. The initial ground state solution is first loaded into the program, and 3% random noise is introduced. By analyzing the evolution of angular momentum and the spatial distribution of the wave function, the system’s conserved quantities and dynamical behavior are explored. In the following sections, we discuss the characteristics of quantum droplets with zero, single, and double-ring vorticity in detail.
Zero-vorticity quantum droplets
Density pattern(a1, b1), cross-sectional profile(a2, b2) and its real-time evolution (a3, b3) of zero-vortex quantum droplets when k = 2, V0 = 20 and R = 20. (a1–a3): N = 300; (b1–b3): N = 1200.
First, the zero-vorticity quantum droplets, S = 0, are studied. Figure 2 present a typical case of quantum droplets with zero-vorticity configuration. The zero-order Bessel potential reaches its maximum at the center, and thus the quantum droplets can be formed in the valley of the lattice potential. When the total norm N of the quantum droplet is low, all particles are constrained in the first circular groove, exhibiting a ring-shaped structure[see Fig. 2a1,a2]. As the total norm increases, particles progressively disperse outward. When the total norm is sufficiently large, new quantum droplets form in the second circular groove of the lattice potential. Figure 2b1 and b2 illustrate the density distribution and cross-sectional profiles of the quantum droplets. The direct numerical simulations [see Fig. 2a3, b3] show that the zero-vorticity quantum droplets remain stable under a 3% random noise perturbation introduced in the initial conditions.
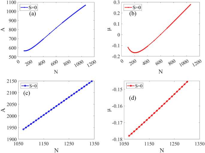
The relation between the effective area (a, c), chemical potential (b, d), and the total norms N of ring-shaped zero-vorticity QD located in the first groove (a, b) and the second groove (c, d). when k = 2, V0 = 20 and R = 20.
For zero-vorticity quantum droplets, both the effective area A and the chemical potential \(\mu\) exhibit variations in response to changes in the total norm N, as shown in Fig. 3. Figure 3a and c demonstrate the relationship between the effective area A and the norm N of annular zero-vorticity quantum droplets within the first and second circular grooves, respectively. As the total norm N increases, the effective area of the quantum droplets experiences an increase. Figure 3b and d elucidate the relationship between the chemical potential \(\mu\) and the norm N of annular zero-vorticity quantum droplets situated in the first and second circular grooves, respectively. For the annular zero-vorticity quantum droplet in the first circular groove, the chemical potential initially decreases and increases as the total norm N increases. Initially, at low values of N, the quantum droplets occupy only the first groove of the potential. As N surpasses a certain threshold, the droplets transition fully into the second groove. With further increases in N, the droplets develop a nested structure, occupying both the first and second grooves simultaneously. The overlapping region in the 1050–1100 range (as shown in Fig. 3) demonstrates a phenomenon of multistability, where vortex rings with the same norm N coexist in different troughs of the potential. These configurations can be distinguished by their distinct chemical potentials \(\mu\), as each trough corresponds to a separate stable state with unique density and energy profiles.
Notably, the Bessel optical potential provides additional confinement, enabling the system to support a higher norm N under specific parameters. As N increases, the droplet density rises, leading the chemical potential to transition to positive values. This shift indicates that the droplet can maintain enhanced energetic stability in this configuration.
Figure 3b shows that when N < 202, \(\frac{d\mu }{dN} < 0\), which satisfies the well-known Vakhitov–Kolokolov (VK) criterion (a necessary condition for the stability of a soliton). However, for N > 202, \(\frac{d\mu }{dN}> 0\), signifying a deviation from the VK criterion in the variation relationship between \(\mu\) and N[as shown in Fig. 3b,d]. Under the self-repulsion effect in Eq. (3), these solutions correspond to localized states, and their necessary stability condition contradicts the VK criterion. In the subsequent analysis, the rationale behind this violation of the VK criterion in our model will be elucidated through an examination of the \(\mu (N)\) curve. By utilizing Eq. (12), steady-state solutions in the proximity of \(\phi _P\) adhere to the GP equation. Consequently, Eq. (14) can be derived:
In this context, the Thomas–Fermi approximation is applied, omitting the derivative terms in Eq. (14). Based on Eq. (11), the peak density \(|\phi _P|^2\) can be approximated as \(|\phi _P|^2 \approx \frac{N}{A}\) .Substituting this form of \(|\phi _P|^2\) into Eq. (14), the expression for the chemical potential \(\mu\) is obtained:
Taking the derivative of Eq. (15) concerning N on both sides, the following equation can be obtained:
When \(\ln \frac{N}{A} + 1 > 0\), from Eqs. (16), (14) can be derived:
Vortex QDs
Transverse density patterns of vortex QDs(first row and third row) and their corresponding phase diagrams (second row, fourth row). (a1–a5): (N, S) = (800, 1), (800, 2), (800, 3), (800, 4), (800, 5), (c1-c5): (N, S) = (1200, 1), (1200, 2), (1200, 3), (1200, 4), (1200, 5). Here k = 2, V0 = 20 and R = 20.
The quantum droplets with embedded vorticities are studied next. Vortex quantum droplets are generated by embedding a specific topological charge S into the initial condition. This is achieved by setting the desired vorticity S directly in the phase of the initial wavefunction Eq. (11), where \(\theta\) is the angular coordinate. The imaginary-time evolution method then refines this initial condition to converge to a steady-state solution with the embedded vorticity S. In Fig. 4, typical examples of vortex quantum droplets are illustrated for the parameters \(V_0 = 20\) and R = 20. A thorough analysis of the density plots (first and third rows) and their corresponding phase diagrams (second and fourth rows) has been conducted. The first row showcases vortex quantum droplets captured at the first circular groove of the zero-order Bessel lattice potential, while the third row depicts those captured at the second circular groove of the same potential. Observation from Fig. 4 reveals that the quantum droplets can carry vorticity S.
The stability regions for vortex quantum droplets with embedded vorticities S ranging from 1 to 11. The orange and yellow regions correspond to quantum droplets confined in the first and second circular troughs, respectively. The gray region indicates where both configurations are stable.
As illustrated in Fig. 5, the orange and yellow regions denote stable quantum droplets confined within the first and second circular grooves, respectively, while the gray area represents the stable coexistence of droplets within both grooves. The graph reveals that in both the first and second grooves, the lower bound of the stable region remains unaffected by changes in vorticity S. However, in the second groove, once the embedded vorticity S exceeds 5, the extent of the stable region (corresponding to the combined area of the yellow and gray regions in Fig. 5) expands with further increases in vorticity. Notably, the coexistence range of the first and second grooves (represented by the gray area) does not exhibit a linear relationship with vorticity. Instead, as S increases, the range first expands and then contracts. Furthermore, the zero-order Bessel lattice potential can support stable vortex quantum droplets with embedded vorticity as high as \(S=11\), as depicted in Fig. 5.
(a) Direct numerical simulation against 3% random noise perturbation for the stable vortex quantum droplets with (N, S) = (210, 10). (b) Typical examples of unstable vortex quantum droplets at the white area for (N, S) = (200, 10). Here k = 2, V0 = 20 and R = 20.
In Fig. 6a and b, the stability of vortex quantum droplets was assessed through direct numerical simulations utilizing the fourth-order Runge-Kutta method, with the addition of 3% random noise perturbations to the initial solution. Specifically, a 3% random perturbation was incorporated into the initial conditions of the simulations, enabling a detailed analysis of the stability regions of quantum droplets with embedded vorticity. This approach allowed us to evaluate how well the droplets maintained stability under small initial disturbances. The results demonstrate long-term stability, with illustrative examples of both stable and unstable vortex quantum droplets. The stable quantum droplets maintain their integrity at \(t=6000\), while the unstable droplets undergo self-destruction during the evolution process.
(a) The energy of the vortex quantum droplets versus vorticity S. (b) The relation between the effective area and vorticity S.
Figure 7 illustrate the relationship between the effective area and energy of vortex quantum droplets through graphical representation, considering varying vorticities S. Notably, at a total norm N = 300, these droplets are exclusively confined to the first circular groove of the radial lattice, while at N = 1200, they are constrained to the second groove. When the norm N = 2000, a dual-ring nested structure emerges. Subsequent in-depth analysis will focus on this specific configuration. The energy of quantum droplets in both grooves increases with the embedded vorticity S, with droplets in the first groove exhibiting higher energy than those in the second groove, as shown in Fig. 7a. In contrast, the vorticity S has a minimal impact on the effective area A, as demonstrated in Fig. 7b.
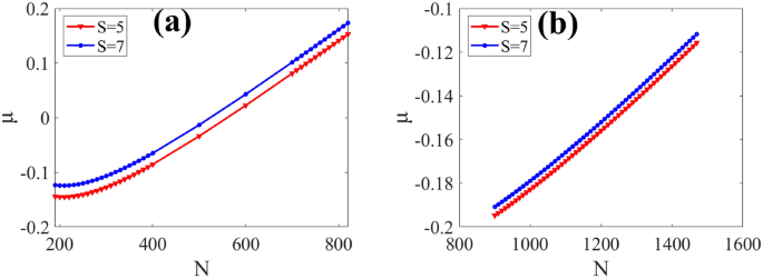
(a) For vorticity S = 5 and S = 7, the chemical potential corresponds to the norm N of the first circular groove. (b) same but corresponding to the norm N of the second circular groove.
In Fig. 8, the graphical representation illustrates the interdependence of the total norm N and the chemical potential of vortex quantum droplets. As N increases, the chemical potential of quantum droplets with vorticity S = 5,7 also rises [Fig. 8a and b], with the \(\mu (N)\)curve violating the VK criterion (\(\frac{d\mu }{dN} > 0\))specified in Eq. (17). Moreover, the chemical potential increases with higher vorticity, compared to quantum droplets with S = 5.
Peak value for \(S=1,4\). Here \(k=2\), V0=20 and \(R=20\).
Figure 9 portrays the connection between the peak density \(|\phi _P|^2\) of vortex quantum droplets and the total norm N. The variation curve indicates a rise in peak density \(|\phi _P|^2\) with an increase in norm N. The vorticity has negligible influence on the peak density \(|\phi _P|^2\) of the quantum droplets, as the curves representing the relationship between peak density \(|\phi _P|^2\) and norm N for different vorticities almost overlap.
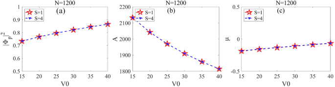
(a) Peak value, (b) Effective area, and (c) Chemical potential of vortex quantum droplets trapped at the second circular trough of the radial lattice versus the amplitude of the radial lattice V0 for \(S = 1\) and \(S = 4\), respectively. Here \(k=2\) and \(R=20\).
Figure 10 investigates the influence of the characteristic parameters of the zero-order Bessel lattice on vortex quantum droplets. For constant parameters(\(k=2\) and \(R=20\)), both the peak density and chemical potential exhibit slight amplitude variations with changes in V0 [Fig. 10a,c], while the effective area decreases as V0 increases [Fig. 10b]. Additionally, Fig. 10 demonstrates that, under these conditions, the impact of vorticity on the effective area and chemical potential is minimal, a trend that is also observed in Fig. 9.
Nested vortex QDs
This section delves into the exploration of double-ring quantum droplets coexisting within the zero-order Bessel lattice potential’s first and second circular grooves. As the norm increases, quantum droplets under the zero-order Bessel lattice potential naturally adopt double-ring configurations. Typically, the inner and outer rings exhibit identical vorticities [refer to Fig. 11a1–a3]. However, experimental observations reveal instances of double-ring quantum droplets with varying embedded vorticities in the inner and outer rings, as illustrated in Fig. 11b1–b3 for a case with inner vorticity \(S=0\) and outer embedded vorticity \(S=8\). While the peak density of the outer ring quantum droplet is slightly higher than that of the inner ring [see Fig. 11a3], the inner ring with differing vorticity exhibits substantially higher density compared to the inner ring with uniform vorticity, as observed in Fig. 11a3,b3,c3. Figure 11b illustrates a double-ring quantum droplet with inner vorticity \(S=0\) and outer embedded vorticity \(S=8\). The phase diagram in Fig. 11b2 emphasizes the blank center, indicating the zero-vorticity quantum droplet in the inner ring. Furthermore, Fig. 11c presents double-ring quantum droplets with embedded vorticity pairs of \(S=2\) and \(S=10\). Figure 11c1 presents the density plot of double-ring quantum droplets embedding vorticity pairs with \(S=2\) and \(S=10\). Figure 11c2 shows the phase diagram of double-ring quantum droplets embedding vorticity pairs with \(S=2\) and \(S=10\). Rigorous numerical simulations affirm the stability of these double-ring quantum droplets, maintaining their structural integrity over infinite distances.
The quantum droplet undergoes an unstable interval before stabilizing as the vorticity increases. Similar phenomena were observed in the radial periodic lattice potential, where, irrespective of vorticity, the inner ring’s density remained only slightly lower than that of the outer ring, and as the vorticity of the outer ring of the quantum droplet increased, the vorticity of the inner ring of the quantum droplet also increased. In this scenario, the nested quantum droplets exhibit a relatively simple configuration, forming one-to-one corresponding nested vorticity quantum droplets. Specifically, combinations like \(S=2\) and \(S=10\), \(S=1\) and S = 9, and S = 0 and S = 8 are observed.
(a1–a3) Density pattern of double ring vortex quantum droplets, its phase diagram, and cross-section profile for S = 11 and S = 11 (inner and outer rings, respectively). (b1–b3) The same but for S =0 and S = 8 (inner and outer rings, respectively). (c1–c3) The same but for S = 2 and S = 10 (inner and outer rings, respectively). Here k = 2, V0 = 20 and R = 20.
Nested quantum droplets can also be generated by partitioning the initial solution into two distinct segments, each featuring a different radius and vortex configuration. A representative example of this state is illustrated in Fig. 12, depicting a scenario with two vortex rings characterized by different vorticities. As a generic illustration of this state, Fig. 12a presents a robust double-ring solution. In this configuration, the alteration of the chemical potential after increasing the total number of particles is explored, as depicted in Fig. 12b. Upon comparison, it becomes evident that the chemical potential of nested quantum droplets with different vorticities is lower and more stable than that of nested quantum droplets with identical vorticities.
In the direct simulation, this composite state remains stable for the dimensionless time t = 6000 iterations, as shown in Fig. 12c. Notably, although the inner ring can accommodate different vorticity in this nested state, it cannot exceed half of the maximum vorticity. Additionally, for a fixed maximum vorticity, if the aim is to nest a larger vorticity, quantum droplets require a larger norm to sustain their existence; otherwise, they may enter a heterogeneous robust state33.
The nested vortex quantum droplets are shown, in which the vorticity of the outer ring is S = 10 and that of the inner ring is S = 5. (a) show the phase diagram of nested quantum droplets, (b) nested quantum droplets with different vorticity and \(\mu\) (N) curves with the same vorticity, and (c) nested quantum droplets evolution diagram.
Conclusion
The investigation primarily focuses on the presence and stability of two-dimensional quantum droplets within the framework of the two-dimensional Gross–Pitaevskii equation. In this examination, emphasis is placed on the influence of a zero-order Bessel lattice potential and the incorporation of the Lee–Huang–Yang correction. The study reveals the stable formation of both zero-vortex and vortex quantum droplets within the confines of the zero-order Bessel lattices, notably observing the ring-shaped zero-vorticity quantum droplets within this lattice configuration. Analysis of the \(\mu (N)\) curve for these quantum droplets unveils a deviation from the Vakhitov–Kolokolov criterion, prompting theoretical scrutiny to elucidate the underlying reasons for this deviation. Furthermore, the investigation showcases the existence and stability of quantum droplets with embedded vorticities, even when the embedded vorticity reaches as high as S = 11. These vortex quantum droplets are notably observed within the zero-order Bessel lattice potential’s first and second circular grooves. The stable range of quantum droplets with embedded vorticity is meticulously determined through extensive long-term evolutions, revealing a consistent violation of the Vakhitov-Kolokolov criterion in the \(\mu (N)\) curve for these vortex quantum droplets. Of particular note is the observation that peak density and effective area of vortex quantum droplets exhibit characteristics invariant to vorticity, solely influenced by the total norm and the zero-order Bessel lattice potential within the system. In the subsequent exploration, nested vortex quantum droplets are investigated, with a specific focus on embedding varying vorticity in the first and second circular grooves under the influence of a zero-order Bessel lattice potential. Two distinct nesting methods are explored: firstly, increasing the total particle number to form double-ring quantum droplets, where achieving the same vorticity in both grooves is feasible in most cases; secondly, partitioning the steady-state solution into two parts, allowing nesting of quantum droplets with different vorticities, with a maximum not exceeding half of the larger vorticity. For instance, when vorticity S = 10, the maximum embedded vorticity is S = 5.
These findings provide new insights into the complex interplay between lattice potentials, quantum droplet stability, and vorticity, suggesting potential avenues for further research in the controlled manipulation of quantum droplets.
Data availability
All data generated or analyzed during this study are included in this published article.
References
Anderson, M. H., Ensher, J. R., Matthews, M. R., Wieman, C. E. & Cornell, E. A. Observation of Bose–Einstein condensation in a dilute atomic vapor. science269, 198–201 (1995).
Davis, K. B. et al. Bose–Einstein condensation in a gas of sodium atoms. Phys. Rev. Lett. 75, 3969 (1995).
Bradley, C. C., Sackett, C., Tollett, J. & Hulet, R. G. Evidence of Bose–Einstein condensation in an atomic gas with attractive interactions. Phys. Rev. Lett. 75, 1687 (1995).
DeMarco, B. & Jin, D. S. Onset of fermi degeneracy in a trapped atomic gas. Science 285, 1703–1706 (1999).
Guo, M. & Pfau, T. A new state of matter of quantum droplets. Front. Phys. 16, 32202 (2021).
Gross, C. & Bakr, W. S. Quantum gas microscopy for single atom and spin detection. Nat. Phys. 17, 1316–1323 (2021).
Zeiher, J., Wolf, J., Isaacs, J. A., Kohler, J. & Stamper-Kurn, D. M. Tracking evaporative cooling of a mesoscopic atomic quantum gas in real time. Phys. Rev. X 11, 041017 (2021).
Jayaseelan, M., Manikandan, K. S., Jordan, A. N. & Bigelow, N. P. Quantum measurement arrow of time and fluctuation relations for measuring spin of ultracold atoms. Nat. Commun. 12, 1847 (2021).
Schäfer, F., Fukuhara, T., Sugawa, S., Takasu, Y. & Takahashi, Y. Tools for quantum simulation with ultracold atoms in optical lattices. Nat. Rev. Phys. 2, 411–425 (2020).
Veit, C. et al. Pulsed ion microscope to probe quantum gases. Phys. Rev. X 11, 011036 (2021).
Chin, C., Grimm, R., Julienne, P. & Tiesinga, E. Feshbach resonances in ultracold gases. Rev. Mod. Phys. 82, 1225–1286 (2010).
Böttcher, F. et al. New states of matter with fine-tuned interactions: Quantum droplets and dipolar supersolids. Rep. Prog. Phys. 84, 012403 (2020).
Donley, E. A. et al. Dynamics of collapsing and exploding Bose–Einstein condensates. Nature 412, 295–299 (2001).
Lahaye, T. et al. d-wave collapse and explosion of a dipolar Bose–Einstein condensate. Phys. Rev. Lett. 101, 080401 (2008).
Ferioli, G. et al. Collisions of self-bound quantum droplets. Phys. Rev. Lett. 122, 090401 (2019).
Lee, T. D., Huang, K. & Yang, C. N. Eigenvalues and eigenfunctions of a Bose system of hard spheres and its low-temperature properties. Phys. Rev. 106, 1135 (1957).
Guo, Z. et al. Lee–Huang–Yang effects in the ultracold mixture of na 23 and rb 87 with attractive interspecies interactions. Phys. Rev. Res. 3, 033247 (2021).
Petrov, D. Quantum mechanical stabilization of a collapsing Bose–Bose mixture. Phys. Rev. Lett. 115, 155302 (2015).
Cabrera, C. et al. Quantum liquid droplets in a mixture of Bose–Einstein condensates. Science 359, 301–304 (2018).
Kadau, H. et al. Observing the Rosensweig instability of a quantum ferrofluid. Nature 530, 194–197 (2016).
Zhou, Z., Yu, X., Zou, Y. & Zhong, H. Dynamics of quantum droplets in a one-dimensional optical lattice. Commun. Nonlinear Sci. Numer. Simul. 78, 104881 (2019).
Luo, Z.-H., Pang, W., Liu, B., Li, Y.-Y. & Malomed, B. A. A new form of liquid matter: Quantum droplets. Front. Phys. 16, 1–21 (2021).
Zhao, F.-Y. et al. Discrete quantum droplets in one-dimensional optical lattices. Chaos Solitons Fractals 152, 111313 (2021).
Zhou, Z. et al. Controllable dissipative quantum droplets in one-dimensional optical lattices. Chaos Solitons Fractals 150, 111193 (2021).
Weitenberg, C. & Simonet, J. Tailoring quantum gases by floquet engineering. Nat. Phys. 17, 1342–1348 (2021).
Edler, D. et al. Quantum fluctuations in quasi-one-dimensional dipolar Bose–Einstein condensates. Phys. Rev. Lett. 119, 050403 (2017).
Zin, P., Pylak, M., Wasak, T., Gajda, M. & Idziaszek, Z. Quantum Bose–Bose droplets at a dimensional crossover. Phys. Rev. A 98, 051603 (2018).
Ilg, T., Kumlin, J., Santos, L., Petrov, D. S. & Büchler, H. P. Dimensional crossover for the beyond-mean-field correction in Bose gases. Phys. Rev. A 98, 051604 (2018).
Khan, A. & Debnath, A. Quantum droplet in lower dimensions. Front. Phys. 10, 887338 (2022).
Otajonov, S. R. Quantum droplets in three-dimensional Bose–Einstein condensates. J. Phys. B: At. Mol. Opt. Phys. 55, 085001 (2022).
Lin, Z. et al. Two-dimensional vortex quantum droplets get thick. Commun. Nonlinear Sci. Numer. Simul. 93, 105536 (2021).
Shamriz, E., Chen, Z. & Malomed, B. A. Suppression of the quasi-two-dimensional quantum collapse in the attraction field by the Lee–Huang–Yang effect. Phys. Rev. A 101, 063628 (2020).
Liu, B. et al. Vortex-ring quantum droplets in a radially-periodic potential. New J. Phys. 24, 123026 (2022).
Karpov, P. & Piazza, F. Light-induced quantum droplet phases of lattice bosons in multimode cavities. Phys. Rev. Lett. 128, 103201 (2022).
Huang, H. et al. Stable quantum droplets with higher-order vortex in radial lattices. Chaos Solitons Fractals 168, 113137 (2023).
Li, G. et al. Two-dimensional anisotropic vortex quantum droplets in dipolar Bose–Einstein condensates. Front. Phys. 19, 22202 (2024).
Huang, H., Wang, H., Chen, M., Lim, C. S. & Wong, K.-C. Binary-vortex quantum droplets. Chaos Solitons Fractals 158, 112079 (2022).
Pathak, M. R. & Nath, A. Dynamics of quantum droplets in an external harmonic confinement. Sci. Rep. 12, 6904 (2022).
Dong, L. et al. Multi-stable quantum droplets in optical lattices. Nonlinear Dyn. 102, 303–310 (2020).
Zhang, X. et al. Semidiscrete quantum droplets and vortices. Phys. Rev. Lett. 123, 133901 (2019).
Dong, L., Liu, D., Du, Z., Shi, K. & Qi, W. Bistable multipole quantum droplets in binary Bose–Einstein condensates. Phys. Rev. A 105, 033321 (2022).
Zheng, Y.-Y. et al. Quantum droplets in two-dimensional optical lattices. Front. Phys. 16, 1–10 (2021).
Tengstrand, M. N., Stürmer, P., Karabulut, E. & Reimann, S. Rotating binary Bose–Einstein condensates and vortex clusters in quantum droplets. Phys. Rev. Lett. 123, 160405 (2019).
Song, J., Dong, H., Mihalache, D. & Yan, Z. Spontaneous symmetry breaking, stability and adiabatic changes of 2d quantum droplets in amended Gross–Pitaevskii equation with multi-well potential. Phys. D 448, 133732 (2023).
Song, J. & Yan, Z. Dynamics of 1d and 3d quantum droplets in parity-time-symmetric harmonic-gaussian potentials with two competing nonlinearities. Phys. D 442, 133527 (2022).
Skov, T. G., Skou, M. G., Jørgensen, N. B. & Arlt, J. J. Observation of a Lee-Huang-Yang fluid. Phys. Rev. Lett. 126, 230404 (2021).
Dong, L. & Fan, M. Stable higher-charge vortex droplets governed by quantum fluctuations in three dimensions. Chaos Solitons Fractals 173, 113728 (2023).
Yang, J. & Lakoba, T. I. Accelerated imaginary-time evolution methods for the computation of solitary waves. Stud. Appl. Math. 120, 265–292 (2008).
Acknowledgements
This work is supported by Guangdong Basic and Applied Basic Research Foundation (2024A1515010710), Dongguan Science and Technology of Social Development Program (20231800940532), SSL Sci-Tech Commissioner Program (20234373-01KCJ-G).
Author information
Authors and Affiliations
Contributions
J.H.: Investigation, Data curation, Writing—original draft. H.W.: Conceptualization, Writing—review and editing, Supervision. G.C.: Validation. Q.Z.: Validation.
Corresponding author
Ethics declarations
Competing interests
The authors declare no competing interests.
Additional information
Publisher’s note
Springer Nature remains neutral with regard to jurisdictional claims in published maps and institutional affiliations.
Rights and permissions
Open Access This article is licensed under a Creative Commons Attribution-NonCommercial-NoDerivatives 4.0 International License, which permits any non-commercial use, sharing, distribution and reproduction in any medium or format, as long as you give appropriate credit to the original author(s) and the source, provide a link to the Creative Commons licence, and indicate if you modified the licensed material. You do not have permission under this licence to share adapted material derived from this article or parts of it. The images or other third party material in this article are included in the article’s Creative Commons licence, unless indicated otherwise in a credit line to the material. If material is not included in the article’s Creative Commons licence and your intended use is not permitted by statutory regulation or exceeds the permitted use, you will need to obtain permission directly from the copyright holder. To view a copy of this licence, visit http://creativecommons.org/licenses/by-nc-nd/4.0/.
About this article
Cite this article
Hu, J., Wang, H., Chen, G. et al. Stable quantum droplets with high-order vorticity in zero-order Bessel lattice. Sci Rep 15, 3737 (2025). https://doi.org/10.1038/s41598-025-87088-3
Received:
Accepted:
Published:
Version of record:
DOI: https://doi.org/10.1038/s41598-025-87088-3














