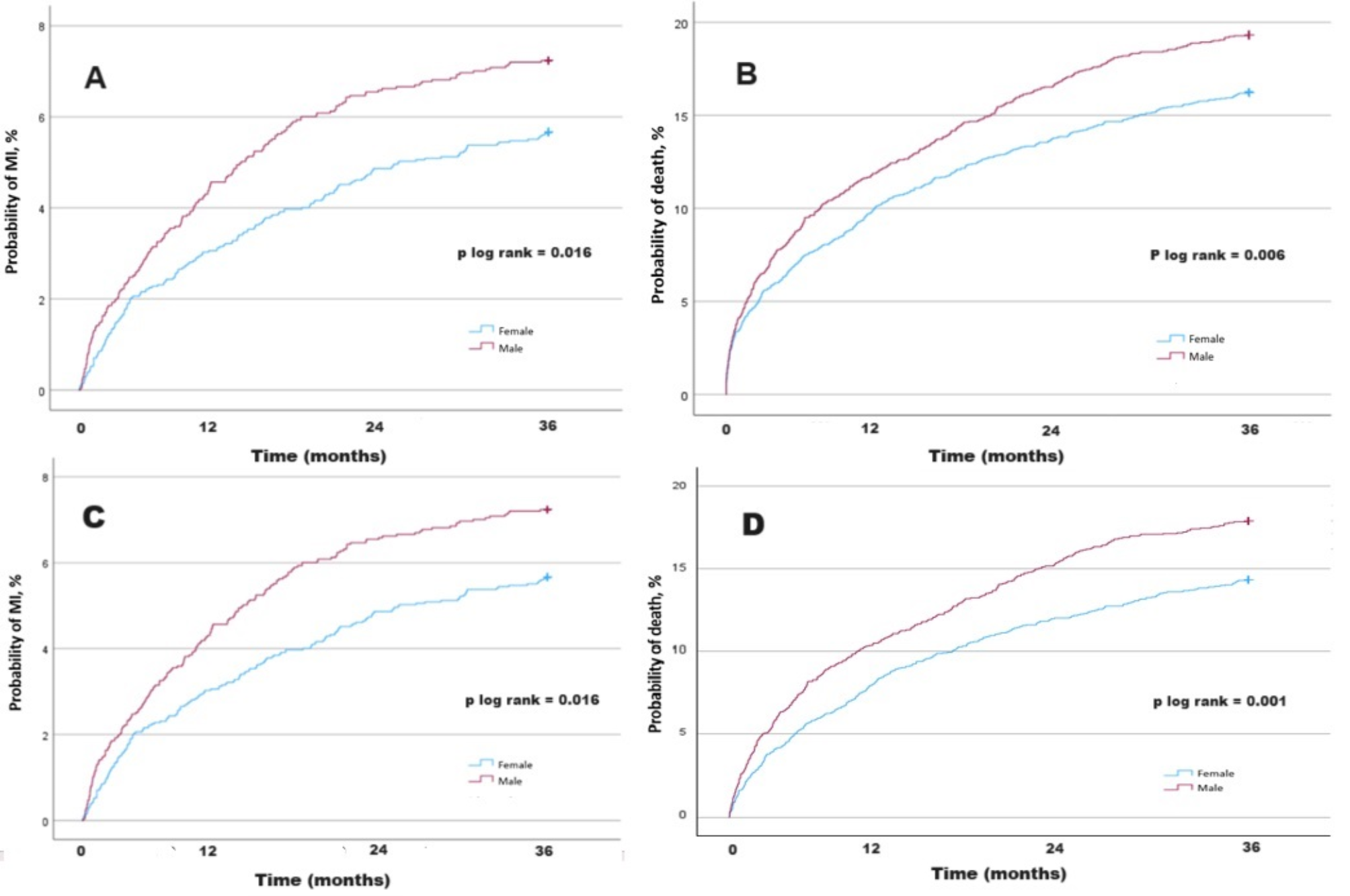
Fig. 2

The 3-years Kaplan-Meier curve shows the cumulative incidence rates of (A) myocardial infarction and (B) death. The 3-years Kaplan-Meier landmark analysis shows the cumulative incidence rates of (C) myocardial infarction and (D) death of patients who survived until discharge.