Fig. 4

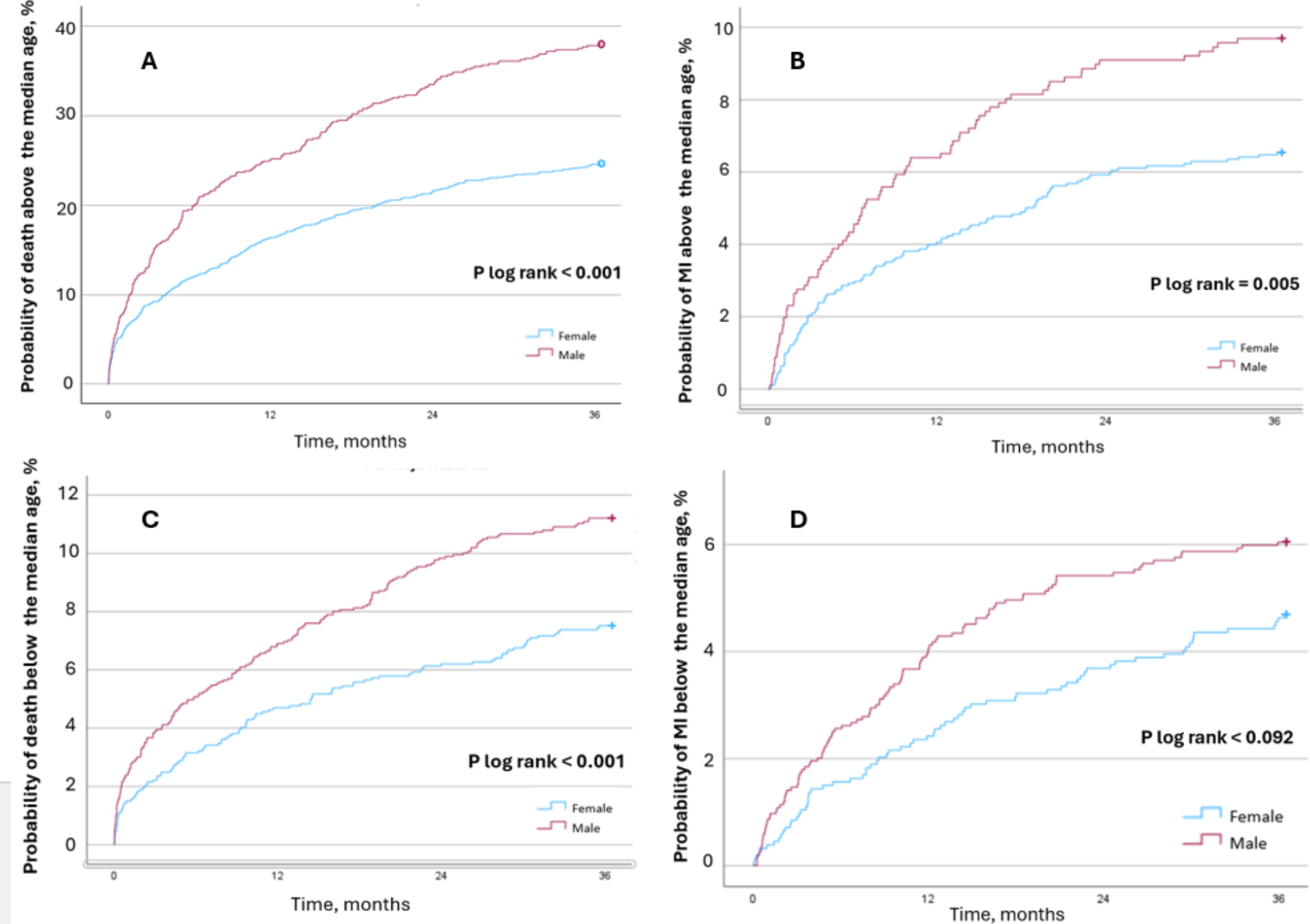
The 3-years Kaplan-Meier curve shows the cumulative incidence rates of death (A, C) and myocardial infarction (B, D), stratified by the median age.

The 3-years Kaplan-Meier curve shows the cumulative incidence rates of death (A, C) and myocardial infarction (B, D), stratified by the median age.