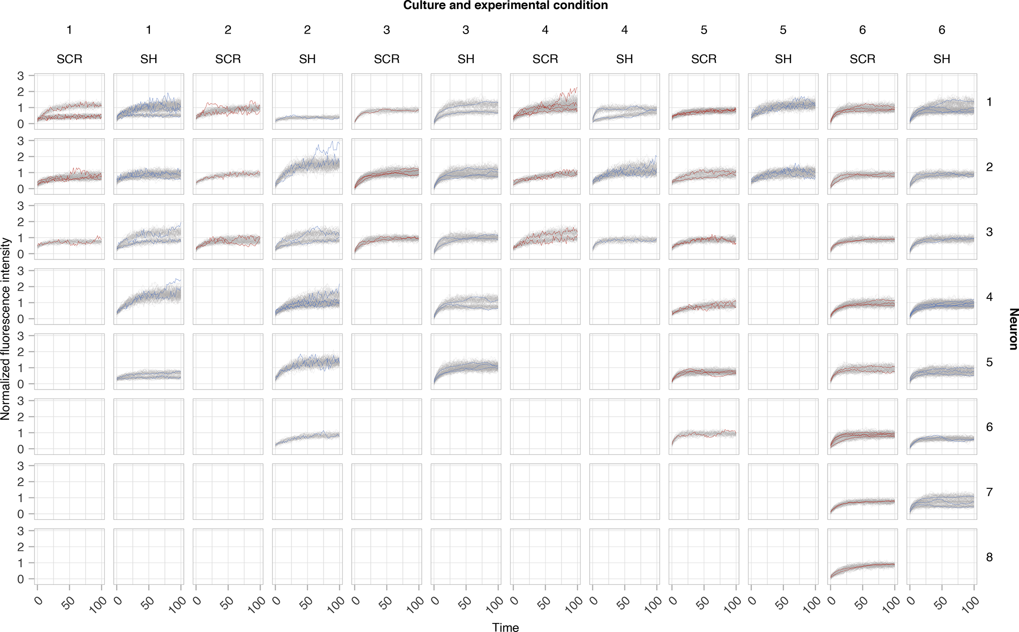
Fig. 6
From: Nonlinear mixed-effects models to analyze actin dynamics in dendritic spines

Model validation: comparison of observed data with 50 randomly selected Monte Carlo simulation samples of normalized fluorescence intensity \(y_{cgns}\) according to the selected model (grey lines) at the spine-specific level. Observed spines were grouped by neuron (rows), and culture and experimental condition [blue for CAP2-shRNA (SH) or red for SCR] combined (columns). These observed spines were the same reported in Fig. 1b for neurons 1-4 and in Fig. S2. Notably, the simulated spines generally aligned well with the observed data, due to the inclusion of random effects at the spine level. When deviations occurred, the corresponding simulated spines were regularized by the shrinkage effect inherent in the mixed-effects model.