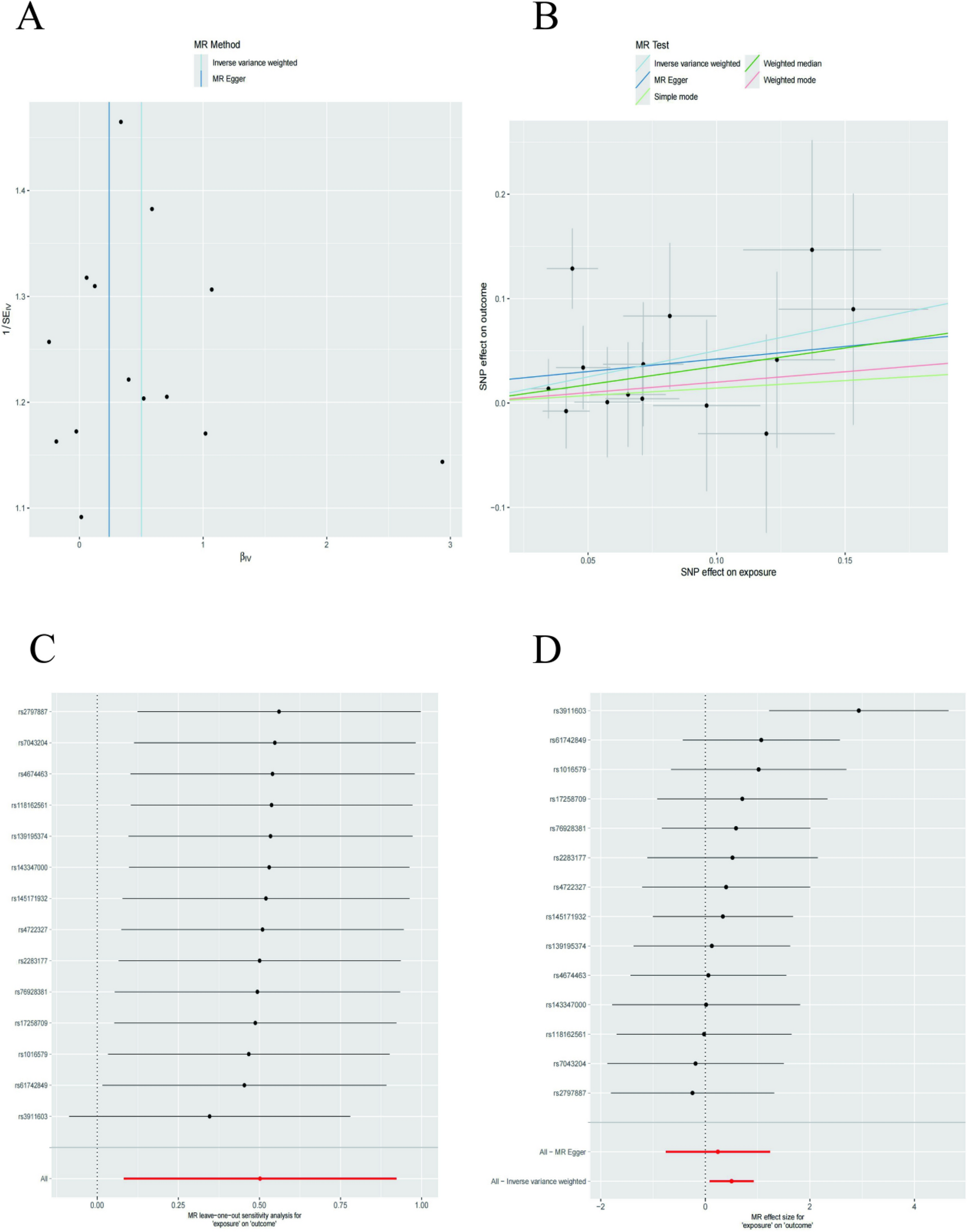
Fig. 5

Mendelian randomization analysis for investigating the causal association between gut microbiota An7 and tuberculosis. (A) Funnel plot. (B) Scatter plot. (C) leave One-Out analysis. (D) MR effect size for gut microbiota An7 on tuberculosis.

Mendelian randomization analysis for investigating the causal association between gut microbiota An7 and tuberculosis. (A) Funnel plot. (B) Scatter plot. (C) leave One-Out analysis. (D) MR effect size for gut microbiota An7 on tuberculosis.