Abstract
This study focused on the relationships among gut microbiota, plasma protein ratios, and tuberculosis. Given the unclear causal relationship between gut microbiota and tuberculosis and the scarcity of research on relevant plasma protein ratios in tuberculosis, Mendelian randomization analysis (MR) was employed for in-depth exploration. By analyzing the GWAS data of individuals with European ancestry (the FinnGen dataset included 409,568 controls and 2613 cases), using the two-sample MR method, we focused on evaluating the impact of immunocyte-mediated gut microbiota on tuberculosis and the associations between 2821 plasma protein-to-protein ratios and tuberculosis. Particularly, the mediation effect was emphasized in the exploration. The results showed that 19 gut microbiotas were associated with tuberculosis. An7 indirectly affected tuberculosis through immunocyte (CD4 on CM CD4+), with a masking effect ratio of 0.008, demonstrating immune cells’ mediating role in the association between gut microbiota and tuberculosis. Meanwhile, the MR analysis revealed that 127 plasma protein-to-protein ratios were associated with tuberculosis. In conclusion, this study not only confirmed the impact of immunocyte-mediated gut microbiota on tuberculosis and clarified the mediating mechanism therein but also identified plasma protein-to-protein ratios related to tuberculosis, providing novel and valuable ideas for diagnosing and treating tuberculosis.
Similar content being viewed by others
Introduction
Tuberculosis (TB), a disease caused by infection with Mycobacterium tuberculosis, is the world’s second-largest infectious killer after the novel coronavirus in 2022 and remains a significant burden on global public health today. According to the data of the Tuberculosis Prevention and Control Center of the China Center for Disease Control and Prevention, the estimated number of new TB patients in China in 2022 is 748,000, and the estimated incidence of TB is 5200/100,000, which is slightly lower than that in 20211. However, the proportion of TB diagnoses is increasing year by year, with notable increases in TB incidence among HIV-positive people and a 1% increase in TB incidence among children 0–14 years of age1.
When MTB invades the body, it reacts with the body’s innate and adaptive immunocytes, which play an important role in controlling TB. In particular, adaptive immune response mediated by CD4+T lymphocytes plays a key role in MTB invasion2, which occurs about 2–4 weeks after MTB infection3. According to the expression of CD45RA, CD45RO, CD62L and CCR7, CD4+T cells can be divided into naive T cells, central memory T cells (TCM), effective memory T cells (TEM) and end-effect memory RA+ (TEMRA)4. TCM is a long-lived T cell with a strong proliferation and self-renewal ability5. Studies have shown that in tuberculosis, these central memory T cells have the characteristics of a protective response and can effectively resist the invading MTB, which has higher research value in the development of anti-tuberculosis vaccines4,6. Therefore, focusing on the role of immunocytes in the susceptibility of TB patients to MTB is critical to ending TB.
Notably, the role of gut microbiota in regulating host immunity during homeostasis and infection has been widely recognized7,8. Gut microbiota is a complex collection of microbial communities that participate in physiological and pathological activities and metabolic processes of the human body through various channels and play a crucial role in the regulation of human growth and development as well as human pathophysiological processes9. In addition to directly acting on intestinal cells through substances such as LPS in the structure, gut microbiota can also act as endocrine organs, metabolizing and secreting active substances, indirectly affecting other physiological functions of the host through various ways10,11. It has been reported that the microbial diversity in TB patients is reduced compared with healthy individuals12,13. However, studies have found that patients with new or recurrent TB have higher gut microbial diversity14. At present, the relationship between gut microbiota and tuberculosis is still elusive, whether there is a causal relationship and the direction of the causal relationship is still unclear, and the relationship between immunocytes in gut microbiota and susceptibility to TB has not been reported, so it is necessary to study the impact of gut microbiota and immunocytes on TB, to provide a new direction for TB prevention and treatment. Based on this, we hypothesize that the functional changes of different immunocytes and the balance regulation among them are of great significance in the immune response to tuberculosis and that the changes in the functions of these immunocytes may be associated with the changes in the gut microbiota.
Proteomics provides a broader perspective on the mechanisms and treatments of diseases. Studies have shown that protein-to-protein ratio has a causal relationship with diseases. A genome-wide association study (GWAS) was conducted on the 2,821 ratios using the genotyped UKB data15. Considering the potential significance of protein–protein ratio in disease occurrence, we postulate that specific protein interaction networks have a crucial regulatory function in the occurrence and progression of tuberculosis during the interaction between the gut microbiota and immunocytes. In the context of tuberculosis, we hypothesize that the interaction between the gut microbiota and immunocytes might influence the ratio between proteins, thereby regulating the occurrence and development of tuberculosis. Specifically, alterations in the gut microbiota could lead to changes in the expression and modification of specific proteins in immunocytes, thus affecting the interaction ratio among proteins. These changes may further impact the function of immunocytes, modify their response to Mycobacterium tuberculosis, and ultimately influence the pathogenesis of tuberculosis. For instance, some gut microbiota may affect the binding affinity or activity between proteins involved in the immune response by regulating the signal transduction pathways within immunocyte, consequently affecting the protein ratio. Changes in this ratio may have an impact on the activation, proliferation, or cytokine secretion of immunocyte, and subsequently affect the occurrence and development of tuberculosis.
Based on the foregoing understanding, we postulate that the functional changes and balance regulation among diverse immunocyte hold significant importance in the immune response to tuberculosis. Moreover, it is conceivable that the alterations in immunocyte function may be correlated with the changes in the gut microbiota. Simultaneously, we further hypothesize that during the interaction between the gut microbiota and immunocytes, specific protein interaction networks play a crucial regulatory role in the occurrence and development of tuberculosis. These hypotheses will direct us to conduct in-depth research on the complex relationships among the gut microbiota, immunocytes and protein interactions, thereby uncovering the pathogenesis of tuberculosis and providing new theoretical underpinnings and potential targets for the prevention and treatment of this disease.
With the rapid increase of complex disease microbiota and genetic data, MR has been widely used in recent years. MR is a data analysis technique used to evaluate causal inference in epidemiological studies using GWAS methods. Genetic variants strongly associated with exposure factors (especially SNPs) are used as instrumental variables (IV) to assess the causal relationship between exposure factors and outcomes16. The MR Process is based on the Mendelian laws of heredity to randomly distribute intermediate genes while avoiding the influence of confounding factors17,18.
Methods
Data characteristics
We employed MR to verify the causal relationship between the gut microbiota and tuberculosis by using GWAS summary statistics. Gut microbiota used as exposure variables were downloaded from the most recent GWAS study19. The GWAS summary of tuberculosis used as the outcome was downloaded from the FinnGen study.
(https://storage.googleapis.com/finngen-public-data-r10/summary_stats/finngen_R10_AB1_TUBERCULOSIS.gz)20. GWAS summary statistics for each immune trait used as mediating effect were publicly available from the GWAS Catalog (accession numbers from GCST90001391 to GCST90002121)21. The genetic data about plasma protein-to-protein ratios stem from the most recent GWAS study, research describes new insights into 2821 protein ratios and diseases describes new insights into 2821 plasma protein ratios and diseases15.
Study design
We performed a two-sample MR study to assess the causal relationship between the gut microbiota and tuberculosis via immunocyte. And assess the causal relationship between the protein-to-protein ratio and tuberculosis. MR relies on three key assumptions22,23: (1) Instrumental Variables Relevance (IVR): The genetic variant used as an instrument is related to the exposure (in this case, gut microbiota) and influences the outcome (tuberculosis); (2) Instrumental Variables Independence (IVI): The genetic variant is independent of any confounding factors that might influence the relationship between the exposure and the outcome; and (3) No Direct Effect: There is no direct effect of the genetic variant on the outcome, except through its influence on the exposure. The design of this MR study is depicted in Fig. 1.
Diagram illustrating the design of this study.
Selection of instrumental variables
We regarded tuberculosis as the outcome and took the gut microbiota, immunocytes, and protein-to-protein ratios as the exposure factors sequentially. To provide valid IVs in the MR analysis, the following selection criteria were used to choose the IVs: We conducted the following analysis by using “TwoSampleMR” packages. First, we set a threshold (P < 1 × 10–5) to screen SNPs related to gut microbiota, immunocytes, and protein-to-protein ratio as the IVs24. Then, all data were used as the reference panel to calculate the linkage disequilibrium (LD) between the SNPs, and among those SNPs that had r2 < 0.001 (window size: 10,000 kb), only the SNPs with the lowest P-value were retained25. Then, the statistical robustness of all SNPs was assessed via the F-statistic, with SNPs possessing an F-statistic < 10 being excluded to mitigate bias stemming from weak instrumental variables26. Finally, we harmonized the exposure and outcome data. The conclusion is drawn after organizing, sorting, and multiple corrections of the results.
Statistical analyses
The cornerstone of our study was inverse variance weighted (IVW) analysis, which served as the main analytical method. It’s the effect of combining multiple IV estimates27. We also used other approaches, including MR-Egger28, weighted median29, weighted mode30 and simple mode. The MR analysis was conducted via the R environment (version 4.3.1) within the TwoSampleMR.
Sensitivity analyses
We conducted Cochrane’s Q test to evaluate heterogeneity, recognizing that variability among different instrumental variables (IVs) could potentially impact the results of our Mendelian randomization (MR) analysis, P < 0.05 indicates significant heterogeneity. Additionally, horizontal pleiotropy implies that the IVs may be associated with the outcome through alternative pathways, which is not acceptable in the context of MR analysis31. Pleiotropy was assessed through the intercept of MR-Egger regression; a non-significant intercept (P > 0.05) indicates a lack of evidence for directional pleiotropy. To ensure the robustness of our conclusion, we conducted thorough sensitivity analyses. These included leave-one-out analysis, systematically excluding individual instrumental genes to assess their impact on the results; MR-Egger method, employed to detect horizontal pleiotropy28; Weighted Median analysis, providing robust effect estimates in the presence of highly heterogeneous instrumental gene sets; and MR-PRESSO method, used to detect and correct potential outliers32. Through these sensitivity analyses, we aim to ensure the reliability of our study results under different assumptions and conditions, providing a comprehensive evaluation of our causal inferences. This strengthens the scientific credibility of our research regarding the relationship between exposure and outcomes. We conducted a leave-one-out analysis to investigate whether the exclusion of individual SNPs exhibiting a notable horizontal pleiotropic effect could exert a substantial impact on the MR estimates33.
Results
Causal effects of gut microbiota on tuberculosis
This section was dedicated to probing into which specific gut microbiota could exert an influence on tuberculosis. Through IVW analysis of 473 gut microbiota, we found that there is a causal relationship between 19 gut microbiota and tuberculosis. As shown in Fig. 2, the relative abundance of 19 gut microbiota were associated with the risk of tuberculosis. Based on the Odds Ratio (OR) values as well as the P values, we have identified that 15 species of gut microbiota act as risk factors for tuberculosis, while 4 species of gut microbiota are beneficial factors for tuberculosis (Table 1).
Causal analysis of gut microbiota and tuberculosis (locus-wide significance, P < 1 × 10–5).
Then we conducted a sensitivity analysis of all the results. All P values of the Cochran Q tests were > 0.05. The MR-Egger regression (egger_intercept) is statistical a statistical technique techniques employed in MR studies to evaluate and address horizontal pleiotropy (Supplementary Table S1, Supplementary Table S2). In our study, the absence of evidence suggests that the genetic variants under examination do not appear to have effects on multiple traits (P > 0.05). This outcome enhances the confidence in the reliability of the results derived from the MR analysis. In addition, the leave-one-out sensitivity analyses show that each SNP analyzed will not affect the results (Supplementary Fig. S1). Therefore, we are even more convinced that there is a causal relationship between the gut microbiota and tuberculosis.
Causal effects of immunocyte on tuberculosis
We have already identified that 15 species of gut microbiota act as risk factors for tuberculosis, while 4 species of gut microbiota are beneficial factors for tuberculosis. However, the specific way in which it affects tuberculosis remains unknown. As reported in the literature, gut microbiota can exert an influence on the function of immunocytes in combating tuberculosis via the gut-lung axis34. We explored study how the gut microbiota influences the development of tuberculosis through immunocyte. Therefore, we would explore which immunocyte would have an impact on tuberculosis. After IVW analysis of 731 immunocytes, we found that there is a causal relationship between 25 species of immunocytes and tuberculosis (Fig. 3). Based on the Odds Ratio (OR) values as well as the P values, we have identified that 8 species of immunocytes act as risk factors for tuberculosis, while 17 species of immunocytes are beneficial factors for tuberculosis.
Forest plot of the association of the immunocyte and tuberculosis. P < 0.05 was considered statistically significant. IVW: Inverse variance weighted, OR Odds ratio, CI Confidence interval.
All P values of the Cochran Q tests were > 0.05. The MR-Egger regression (Egger_intercept) is a statistical technique employed in MR studies to evaluate and address horizontal pleiotropy (Supplementary Tables S3, S4). In addition, the leave-one-out sensitivity analyses show that each SNP analyzed will not affect the results (Supplementary Fig. S2).
MR for gut microbiota-immunocyte interactions
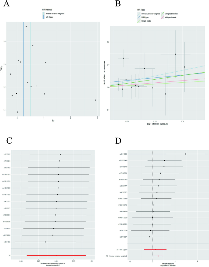
In mediation Mendelian randomization research, examining the relationship between exposure and mediator is crucial to ensure the rationality and validity of the results. It helps in confirming the causal pathway, fulfilling the prerequisite conditions for evaluating the mediation effect, and excluding other possible interpretations35. We conducted multiple MR analyses on the previously screened gut microbiota and immunocytes. Gut microbiota as expose and immunocytes as an outcome. Through MR analysis, we ultimately found that four types of gut microbiota are correlated with immunocytes (Fig. 4). Based on p-value, pleiotropy and heterogeneity statistical results, we included An7 and for mediation analysis (OR 0.66; 95% CI 0.45–0.96; P= 0.03). Mendelian randomization analysis for investigating the causal association between gut microbiota An7 and tuberculosis was shown in Fig. 5. Mendelian randomization analysis for investigating the causal association between CD4 on CM CD4 + and tuberculosis was shown in Fig. 6. Funnel plot of An7 and CD4 on CM CD4 + demonstrated that there were no bias observed among the SNPs incorporated in our study, thereby confirming the credibility of our results. Scatter plot demonstrated that An7 increased the risk of tuberculosis and CD4 on CM CD4 + decreased the risk of tuberculosis. Leave-one-leave sensitivity analysis and MR effect size showed that our results are characterized by stability and reliability.
Mendelian randomization analysis of gut microbiota and immunocyte.
Mendelian randomization analysis for investigating the causal association between gut microbiota An7 and tuberculosis. (A) Funnel plot. (B) Scatter plot. (C) leave One-Out analysis. (D) MR effect size for gut microbiota An7 on tuberculosis.
Mendelian randomization analysis for investigating the causal association between immunocyte CD4 on CM CD4+ and tuberculosis. (A) Funnel plot. (B) Scatter plot. (C) leave-one-leave sensitivity analysis. (D) MR effect size for immunocyte CD4 on CM CD4+ on tuberculosis.
Mediation analysis of immunocyte-mediated tuberculosis
The observation results indicate that the gut microbiota An7 increases the risk of tuberculosis via CD4 on CM CD4+ . Does this suggest that the gut microbiota An7 influences immunocytes in a way that reduces the risk of tuberculosis? We calculated the mediation effect of gut microbiota An7 on tuberculosis through immunocyte CD4 on CM CD4+ . We found that the An7 causally reduced CD4 on CM CD4+ (β = − 0.41, 95% CI = 0.45–0.96, P = 0.03) and subsequently associated with a decreased the risk of tuberculosis, with a mediated proportion of 0.008 (β = − 0.107, 95% CI = 0.82–0.97, P = 0.009) (Fig. 7). In this study, we found gut microbiota An7 could increase risk of tuberculosis. However, the gut microbiota An7 could reduce the risk of tuberculosis through CD4 on CM CD4+ . It showed that immunocytes played a mediating effect in the pathway from gut microbiota and tuberculosis, this validates our hypothesis.
Mediation analysis of immunocyte-mediated on tuberculosis.
Causal effects of plasma protein-to-protein ratios on tuberculosis
The gut microbiota has multiple metabolic and regulatory functions. It can regulate the host’s immune system and metabolic processes, and these processes are very likely to be closely related to the synthesis, metabolism, and functional regulation of plasma protein-to-protein ratios. The gut microbiota may have a causal impact on the virus by influencing plasma protein-to-protein ratios36. Whether the plasma protein-to-protein ratios also have a causal relationship with tuberculosis, we utilize it to diagnose diseases.
After IVW analysis of 2821 plasma protein-to-protein ratios, we found 117 plasma protein-to-protein ratios have causal effects on tuberculosis (Fig. 8). Supplementary Table S5 provides all data associated with tuberculosis. In these results, we found that protein BACH1 is associated with several other proteins, impacting tuberculosis. In particular, gut microbiota can influence the BACH1 by regulating cellular antioxidant capacity and metabolic pathways. Protein-to-protein ratios provide a new perspective for studying the mechanisms of tuberculosis.
Volcano plot of mendelian randomization analysis of causal effects of plasma protein-to-protein ratios on tuberculosis; OR, odds ratio.
Discussion
The gut microbiota is closely associated with human health, participating in various processes such as digestion and absorption, immune regulation and metabolic balance37,38,39,40. The gut microbiota is closely interconnected with the host’s immune system41. Microbial communities influence the development and function of immunocytes through various mechanisms, thereby impacting the body’s resistance to diseases. In recent years, the relationship between the gut microbiota and tuberculosis has attracted the attention of researchers. The imbalance of gut microbiota may affect the immune system and reduce the body’s defense against tuberculosis; On the other hand, the pathogenesis of tuberculosis may also affect the balance of gut microbiota42,43,44. However, there is no clear evidence thus far explaining whether there is a causal relationship between gut microbiota and tuberculosis. Therefore, We employed Mediation analysis and found that the gut microbiota can influence tuberculosis via immunocytes. Immunocytes are a critical defense line in the human body against invading pathogens. They identify and eliminate pathogens, regulate inflammatory responses, promote wound healing, and tissue regeneration, and maintain immune balance and overall health. However, there is relatively little research on how gut microbiota influences immunocytes in tuberculosis.
In this study, through screening 473 gut microbiota species and 731 immunocytes, we discovered that 19 gut microbiota and 25 immunocytes have a causal relationship with tuberculosis. We found that these 19 types of gut microbiota belong to the Phylum Actinobacteria , Proteobacteria and the Phylum Firmicutes. These various types of gut microbiota play important roles in the breakdown of nutrients, vitamin synthesis, immune regulation, pathogen resistance and metabolic regulation45.We observed that immunocytes predominantly comprise lymphocytes and the mononuclear phagocyte system. These cells exhibit dynamic changes in their kinetics during pathogenic microbial invasion and alterations in metabolic processes, thereby fulfilling their specific functions. Through Mediation analysis, we found that An7 increases the risk of tuberculosis, but this risk is reversed in the presence of CD4 on CM CD4 + . When changes occur in the gut microbiota, leading to an increase in harmful bacteria and the risk of contracting tuberculosis may rise. However, immunocytes produce immune molecules that play a role in combating tuberculosis46.
In recent years, research has shown that dysregulation of the gut microbiota may impact the immune system, reducing the body’s defense against tuberculosis47. Some of the gut microbiota are all related to the synthesis of short-chain fatty acids and protein metabolism. Hence, they have an impact on host health by producing short-chain fatty acids, participating in the metabolic processes and interacting with the immune system48,49. They can influence the immunocytes of the intestinal mucosa, thereby affecting the overall immune status. However, immunocytes can exert immune functions to reverse this process. This impact may extend to the lungs through the so-called "gut-lung axis", influencing immune responses in the lungs, particularly in diseases such as tuberculosis50,51. In addition, the fatty acids-produced by the gut microbiota help regulate the inflammatory response in the lungs and alleviate symptoms52. The An7 gut microbiota, which belongs to the Bacillus genus, plays a vital role in regulating inflammatory responses. Under normal circumstances, it assists in maintaining the inflammatory equilibrium within the intestine, however, there is limited research on An7 in the context of tuberculosis. When infected with Mycobacterium tuberculosis, the An7 microbiota can modulate immunocytes such as macrophages and lymphocytes to release cytokines that contribute to an anti-tuberculosis immune response. Moreover, An7 produces short-chain fatty acids that enhance the metabolic activity and functionality of immunocytes, thereby supporting systemic immune balance and exerting anti-tuberculosis effects. Additionally, An7 promotes the metabolism of the host to produce antibiotics and vitamins, which influence immunocytes function and inflammatory responses. This demonstrates An7’s significant role in immune defense and the modulation of inflammation in tuberculosis. An observational study showed that the abundance of short-chain fatty acid-producing gut microbiota is lower in patients with tuberculosis infection than in others53. There is literature suggesting that metabolic changes induced by gut microbiota can influence the progression of tuberculosis54. This is consistent with our results, further confirming that gut microbiota can reduce the risk of tuberculosis infection, and it explains from a new perspective the causal relationship between gut microbiota and tuberculosis, thereby providing a new mechanism for the study of tuberculosis.
We also assessed the relationship between the 2821 plasma protein-to-protein ratios and the risk of tuberculosis. We found 117 plasma protein-to-protein ratios have causal effects on tuberculosis. In clinical practice, we often use ratios of certain proteins as indicators of disease status. Additionally, we hypothesize that the gut microbiota may influence protein-to-protein ratios, affecting susceptibility to tuberculosis. In particular, BACH1, a transcription factor that interacts with other proteins, is involved in the regulation of immunocytes functions and can impact the activity of macrophages. Macrophages serve as the first line of defense against Mycobacterium tuberculosis. BACH1 interacts with other proteins to regulate the redox balance and metabolic within macrophages. For instance, when Mycobacterium tuberculosis invades macrophages, BACH1 will modulate the production of reactive oxygen species (ROS) within the cells. BACH1 regulates the quantity of ROS by influencing the expression of related genes, thus affecting the killing ability of macrophages against Mycobacterium tuberculosis55. BACH1 is associated with several other proteins, impacting tuberculosis. Therefore, we believe that the gut microbiota can influence protein-to-protein ratios to impact on tuberculosis. In the subsequent research, we need to verify through experiments the role of the ratio of these two proteins in the pathogenesis of tuberculosis.
This study boasts several significant strengths. We have utilized the latest data on gut microbiota and immunocytes to compensate for existing results. And we propose a causal relationship between plasma protein ratios and tuberculosis. By connecting gut microbiota, molecular biology, and immunocytes functions, we unveil the intricate interactions that affect susceptibility to and progression of tuberculosis. This insight is essential for developing targeted interventions. This new concept introduces fresh perspectives into tuberculosis research. The mechanism diagram for this research is presented in Fig. 9.
The gut microbiota An7, which belongs to the genus Bacillus, exerts a crucial role in regulating inflammatory responses. Under normal conditions, it assists in maintaining the inflammatory balance within the intestine. When the body is infected with Mycobacterium tuberculosis, the An7 microbiota is capable of regulating immune cells like macrophages and lymphocytes, and releasing cytokines that are beneficial to the anti-tuberculosis immune response. This figure was drawn by Figdraw ( Copyright Code: SSSPA84709).
There are still some limitations that need to be acknowledged. First, we only selected the latest gut microbiota for analysis, which might lead to the omission of some crucial results. Second, the phenotype arises from the combined influence of genetic and environmental factors, and the conclusions drawn from our MR analysis may be influenced by various confounding factors, necessitating careful consideration of environmental factors and the confounding effects of mutation pathways in rigorous subsequent studies. Third, one of the primary limitations of this study is that the data utilized originate from the FinnGen cohort. Although this cohort is representative of genetic research, its samples are predominantly from the Finnish population, potentially constraining the universal applicability of our research findings. The genetic background and living environment of the Finnish people significantly differ from those in regions with a high tuberculosis (TB) burden. As a result, our findings may not be directly applicable to these high-burden areas. The epidemiological characteristics of tuberculosis vary considerably under different geographical and socioeconomic settings, indicating that the applicability of our research results may be impacted in these contexts. For instance, the incidence rate, transmission methods, and socioeconomic factors related to tuberculosis may be entirely different in high-burden areas compared to Finland. Hence, these contextual factors must be carefully considered when applying our research findings. Finally, We need to further explore the significance of 128 protein ratios in the context of tuberculosis. To obtain more accurate results, it is essential to collect data from diverse ethnicities for analysis.
In addition, the database we used has certain limitations in terms of sample size, it was difficult to obtain statistically significant results after correction, making it challenging to conduct further research. Our aim was to ferret out as many potentially positive results as possible in this exploratory study. All statistical data analyses were two-sided at P < 0.05 as significance through conducted with R software for preventing us from overlooking new clues. And then, we selected highly different gut microbiota and immunocyte with the smallest P-value for subsequent statistical analysis. Mendelian randomization analysis can act as a promising starting point for exploring causal effects. While it provides valuable initial leads, we are well aware that further confirmaton experiments in vitro and in vivo are essential. These future investigations will sttengthen the cues provided by our mendelian randomization analysis to uncover potential causal relationships that may have otherwise remained concealed.
Conclusion
In conclusion, through the MR analysis of GWAS, we comprehensively evaluated the impact of immunocyte-mediated gut microbiota and plasma protein-to-protein ratios on tuberculosis risk. Protein-to-protein ratios can influence the gut microbiota’s impact on tuberculosis. Thereby offering new research avenues for study.
Data availability
The GWAS summary of tuberculosis used as the outcome was downloaded from the FinnGen study (https://r10.finngen.fi/). GWAS summary statistics for each immune trait used as a mediating effect were publicly available from the GWAS Catalog (accession numbers from GCST90001391 to GCST90002121, https://www.ebi.ac.uk/gwas/home). The original contributions presented in the study are included in the article/Supplementary material.
Abbreviations
- CI:
-
Confidence interval
- GWAS:
-
Genome wide association study
- IV:
-
Instrumental variable
- IVW:
-
Inverse variance weighted
- MR:
-
Mendelian randomization
- OR:
-
Odds ratio
- pQTL:
-
Protein quantitative trait locus
- ROS:
-
Reactive oxygen species
- SNP:
-
Single nucleotide polymorphism
- TB:
-
Tuberculosis
References
Bagcchi, S. Who’s Global Tuberculosis Report 2022. Lancet Microbe. 4, e20 (2023).
de Martino, M., Lodi, L., Galli, L. & Chiappini, E. Immune response to mycobacterium tuberculosis: A narrative review. Front. Pediatr. 7, 350 (2019).
Comberiati, P. et al. The role of gut and lung microbiota in susceptibility to tuberculosis. Int. J. Environ. Res. Public Health. https://doi.org/10.3390/ijerph182212220 (2021).
Gupta, A. et al. Mycobacterium Indicus Pranii Induced memory T-Cells in lung airways are sentinels for improved protection against M.Tb infection. Front. Immunol. 10, 2359 (2019).
Kaech, S. M., Hemby, S., Kersh, E. & Ahmed, R. Molecular and functional profiling of memory Cd8 T Cell differentiation. Cell 111, 837–851 (2002).
Khan, A. et al. A recombinant bovine adenoviral mucosal vaccine expressing mycobacterial antigen-85b generates robust protection against tuberculosis in mice. Cell Rep. Med. 2, 100372 (2021).
Kamada, N., Seo, S. U., Chen, G. Y. & Nunez, G. Role of the gut microbiota in immunity and inflammatory disease. Nat. Rev. Immunol. 13, 321–335 (2013).
Negi, S., Das, D. K., Pahari, S., Nadeem, S. & Agrewala, J. N. Potential role of gut microbiota in induction and regulation of innate immune memory. Front. Immunol. 10, 2441 (2019).
Agus, A., Clement, K. & Sokol, H. Gut microbiota-derived metabolites as central regulators in metabolic disorders. Gut. 70, 1174–1182 (2021).
Guan, X. & Sun, Z. The role of intestinal flora and its metabolites in heart failure. Infect. Drug Resist. 16, 51–64 (2023).
Liu, J., Liu, Y. & Li, X. Effects of intestinal flora on polycystic ovary syndrome. Front. Endocrinol. 14, 1151723 (2023).
Ye, S. et al. The Correlation between dysfunctional intestinal flora and pathology feature of patients with pulmonary tuberculosis. Front. Cell. Infect. Microbiol. 12, 1090889 (2022).
Ding, X. et al. A metagenomic study of the gut microbiome in Ptb’s disease. Microbes Infect. 24, 104893 (2022).
Naidoo, C. C. et al. The microbiome and tuberculosis: state of the art, potential applications, and defining the clinical research agenda. Lancet Resp. Med. 7, 892–906 (2019).
Suhre, K. Genetic associations with ratios between protein levels detect new pqtls and reveal protein-protein interactions. Cell Genom. 4, 100506 (2024).
Davey, S. G. & Hemani, G. Mendelian randomization: Genetic anchors for causal inference in epidemiological studies. Hum. Mol. Genet. 23, R89–R98 (2014).
Li, Y. et al. Mitochondrial related genome-wide mendelian randomization identifies putatively causal genes for multiple cancer types. Ebiomedicine. 88, 104432 (2023).
Zhu, Z. et al. Integration of summary data from GWAS and Eqtl studies predicts complex trait gene targets. Nat. Genet. 48, 481–487 (2016).
Qin, Y. et al. Combined effects of host genetics and diet on human gut microbiota and incident disease in a single population cohort. Nat. Genet. 54, 134–142 (2022).
Kurki, M. I. et al. Finngen provides genetic insights from a well-phenotyped isolated population. Nature. 613, 508–518 (2023).
Orru, V. et al. Complex genetic signatures in immune cells underlie autoimmunity and inform therapy. Nat. Genet. 52, 1036–1045 (2020).
Birney, E. Mendelian Randomization. Cold Spring Harb. Perspect. Med. https://doi.org/10.1101/cshperspect.a041302 (2022).
Emdin, C. A., Khera, A. V. & Kathiresan, S. Mendelian Randomization. Jama. 318, 1925–1926 (2017).
Li, N. et al. Causal effects of specific gut microbiota on chronic kidney diseases and renal function-a two-sample Mendelian randomization study. Nutrients https://doi.org/10.3390/nu15020360 (2023).
Slatkin, M. Linkage disequilibrium-understanding the evolutionary past and mapping the medical future. Nat. Rev. Genet. 9, 477–485 (2008).
Burgess, S. & Thompson, S. G. Improving bias and coverage in instrumental variable analysis with weak instruments for continuous and binary outcomes. Stat. Med. 31, 1582–1600 (2012).
Richmond, R. C. & Davey, S. G. Mendelian Randomization: Concepts and Scope (Med, Cold Spring Harb Perspect, 2022). https://doi.org/10.1101/cshperspect.a040501.
Burgess, S. & Thompson, S. G. Interpreting findings from Mendelian randomization using the Mr-Egger Method. Eur. J. Epidemiol. 32, 377–389 (2017).
Bowden, J., Davey, S. G., Haycock, P. C. & Burgess, S. Consistent estimation in mendelian randomization with some invalid instruments using a weighted median estimator. Genet. Epidemiol. 40, 304–314 (2016).
Hartwig, F. P., Davey, S. G. & Bowden, J. Robust inference in summary data Mendelian randomization Via the zero modal pleiotropy assumption. Int. J. Epidemiol. 46, 1985–1998 (2017).
Greco, M. F., Minelli, C., Sheehan, N. A. & Thompson, J. R. Detecting pleiotropy in mendelian randomisation studies with summary data and a continuous outcome. Stat. Med. 34, 2926–2940 (2015).
Verbanck, M., Chen, C. Y., Neale, B. & Do, R. Detection of widespread horizontal pleiotropy in causal relationships inferred from Mendelian randomization between complex traits and diseases. Nat. Genet. 50, 693–698 (2018).
Burgess, S., Bowden, J., Fall, T., Ingelsson, E. & Thompson, S. G. Sensitivity analyses for robust causal inference from Mendelian randomization analyses with multiple genetic variants. Epidemiology. 28, 30–42 (2017).
Tarashi, S., Ferdosnejad, K., Fateh, A. & Siadat, S. D. Editorial: Gut-Lung Axis: Tuberculosis and drug resistance. Front. Microbiol. 15, 1469562 (2024).
Bochud, M. On the use of Mendelian randomization to infer causality in observational epidemiology. Eur. Heart J. 29, 2456–2457 (2008).
Erttmann, S. F. et al. The gut microbiota prime systemic antiviral immunity via the Cgas-Sting-Ifn-I Axis. Immunity 55, 847–861 (2022).
Ma, P. J., Wang, M. M. & Wang, Y. Gut microbiota: A new insight into lung diseases. Biomed. Pharmacother. 155, 113810 (2022).
Sen, P. et al. Microbiota and sleep: Awakening the gut feeling. Trends Mol. Med. 27, 935–945 (2021).
Quigley, E. Microbiota-brain-gut axis and neurodegenerative diseases. Curr. Neurol. Neurosci. Rep. 17, 94 (2017).
Wang, J., Zhu, N., Su, X., Gao, Y. & Yang, R. Gut-Microbiota-Derived Metabolites Maintain Gut and Systemic Immune Homeostasis. Cells https://doi.org/10.3390/cells12050793 (2023).
Lukacova, I., Ambro, L., Dubayova, K. & Marekova, M. The Gut microbiota, its relationship to the immune system, and possibilities of its modulation. Epidemiol. Mikrobiol. Imunol. 72, 40–53 (2023).
Huang, H. L. et al. Gut microbiota composition can reflect immune responses of latent tuberculosis infection in patients with poorly controlled diabetes. Respir. Res. 24, 11 (2023).
Luo, M. et al. Alternation of gut microbiota in patients with pulmonary tuberculosis. Front. Physiol. 8, 822 (2017).
Alvarado-Pena, N., Galeana-Cadena, D., Gomez-Garcia, I. A., Mainero, X. S. & Silva-Herzog, E. The microbiome and the gut-lung axis in tuberculosis: Interplay in the course of disease and treatment. Front. Microbiol. 14, 1237998 (2023).
Shah, T., Shah, Z., Baloch, Z. & Cui, X. The role of microbiota in respiratory health and diseases. Particul. Tubercul. Biomed. Pharmacother. 143, 112108 (2021).
Khan, N. et al. Intestinal dysbiosis compromises alveolar macrophage immunity to mycobacterium tuberculosis. Mucosal Immunol. 12, 772–783 (2019).
Zhou, A. et al. Gut microbiota: The emerging link to lung homeostasis and disease. J. Bacteriol. https://doi.org/10.1128/JB.00454-20 (2021).
Fu, Y. et al. Associations among dietary omega-3 polyunsaturated fatty acids, the gut microbiota, and intestinal immunity. Mediat. Inflamm. 2021, 8879227 (2021).
Silva, Y. P., Bernardi, A. & Frozza, R. L. The role of short-chain fatty acids from gut microbiota in gut-brain communication. Front. Endocrinol. 11, 25 (2020).
Yu, Z., Shen, X., Wang, A., Hu, C. & Chen, J. The gut microbiome: A line of defense against tuberculosis development. Front. Cell. Infect. Microbiol. 13, 1149679 (2023).
Li, Y. et al. Lactobacillus casei improve anti-tuberculosis drugs-induced intestinal adverse reactions in rat by modulating gut microbiota and short-chain fatty acids. Nutrients https://doi.org/10.3390/nu14081668 (2022).
Abdel, M. A., Tews, I., Schultz, J. E. & Linder, J. U. Fatty acid regulation of adenylyl cyclase Rv2212 from mycobacterium tuberculosis H37Rv. Febs J. 273, 4219–4228 (2006).
Shi, W. et al. Alterations of gut microbiota in patients with active pulmonary tuberculosis in China: A pilot study. Int. J. Infect. Dis. 111, 313–321 (2021).
Luo, D. et al. The potential mechanism of the progression from latent to active tuberculosis based on the intestinal microbiota alterations. Tuberculosis. 143, 102413 (2023).
Amaral, E. P. et al. Bach1 promotes tissue necrosis and mycobacterium tuberculosis susceptibility. Nat. Microbiol. 9, 120–135 (2024).
Acknowledgements
We would like to thank all study participants as well as all investigators of the studies that were used throughout the course of this investigation.
Funding
This work was supported by the National Natural Science Foundation of China (82160304, 32060180, 81860644, 81560596, 31560051), Natural Foundation of Yunnan Province (2017FE467-001, 2019FE001-002).
Author information
Authors and Affiliations
Contributions
AHL and FKB initiated the project and were responsible for the design of the protocol. HXW and WJM collected the data and assessed the quality of the studies. LP and HW analyzed the data. LZ, LYZ, BXL and WJM interpreted the data. HXW and WJM wrote the initial draft of the manuscript. FKB, AHL, WJM, LP, LYZ, HW, LZ, RY, BXL, WJM, LG, JQS and SYL were responsible for critical revision of the manuscript and provided important intellectual content. All authors approved the final version of the manuscript submitted for publication.
Corresponding authors
Ethics declarations
Competing interests
The authors declare no competing interests.
Additional information
Publisher’s note
Springer Nature remains neutral with regard to jurisdictional claims in published maps and institutional affiliations.
Supplementary Information
Rights and permissions
Open Access This article is licensed under a Creative Commons Attribution-NonCommercial-NoDerivatives 4.0 International License, which permits any non-commercial use, sharing, distribution and reproduction in any medium or format, as long as you give appropriate credit to the original author(s) and the source, provide a link to the Creative Commons licence, and indicate if you modified the licensed material. You do not have permission under this licence to share adapted material derived from this article or parts of it. The images or other third party material in this article are included in the article’s Creative Commons licence, unless indicated otherwise in a credit line to the material. If material is not included in the article’s Creative Commons licence and your intended use is not permitted by statutory regulation or exceeds the permitted use, you will need to obtain permission directly from the copyright holder. To view a copy of this licence, visit http://creativecommons.org/licenses/by-nc-nd/4.0/.
About this article
Cite this article
Wu, H., Ma, W., Zhu, L. et al. The association of gut microbiota, immunocyte dynamics, and protein–protein ratios with tuberculosis susceptibility: a Mendelian randomization analysis. Sci Rep 15, 2931 (2025). https://doi.org/10.1038/s41598-025-87160-y
Received:
Accepted:
Published:
Version of record:
DOI: https://doi.org/10.1038/s41598-025-87160-y











