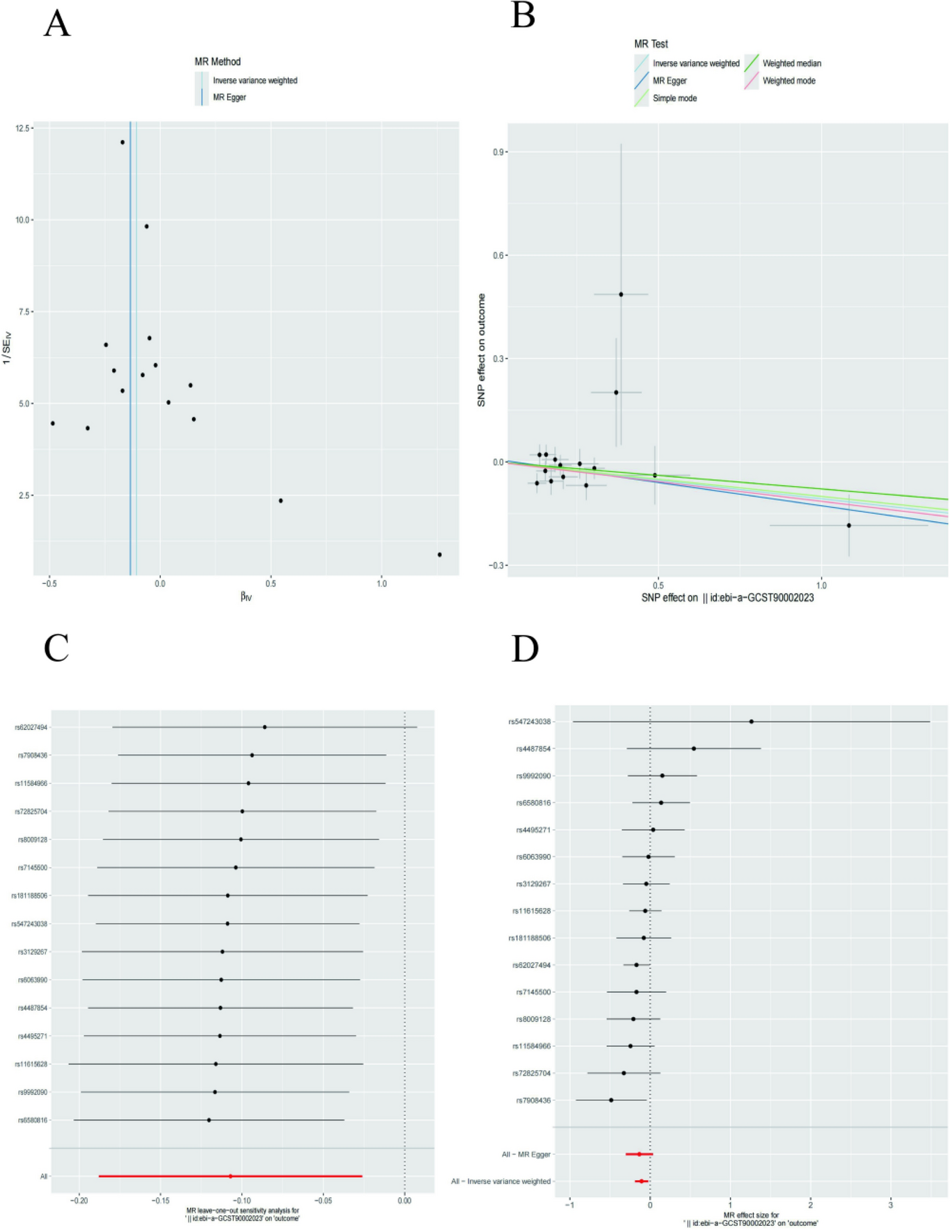
Fig. 6

Mendelian randomization analysis for investigating the causal association between immunocyte CD4 on CM CD4+ and tuberculosis. (A) Funnel plot. (B) Scatter plot. (C) leave-one-leave sensitivity analysis. (D) MR effect size for immunocyte CD4 on CM CD4+ on tuberculosis.