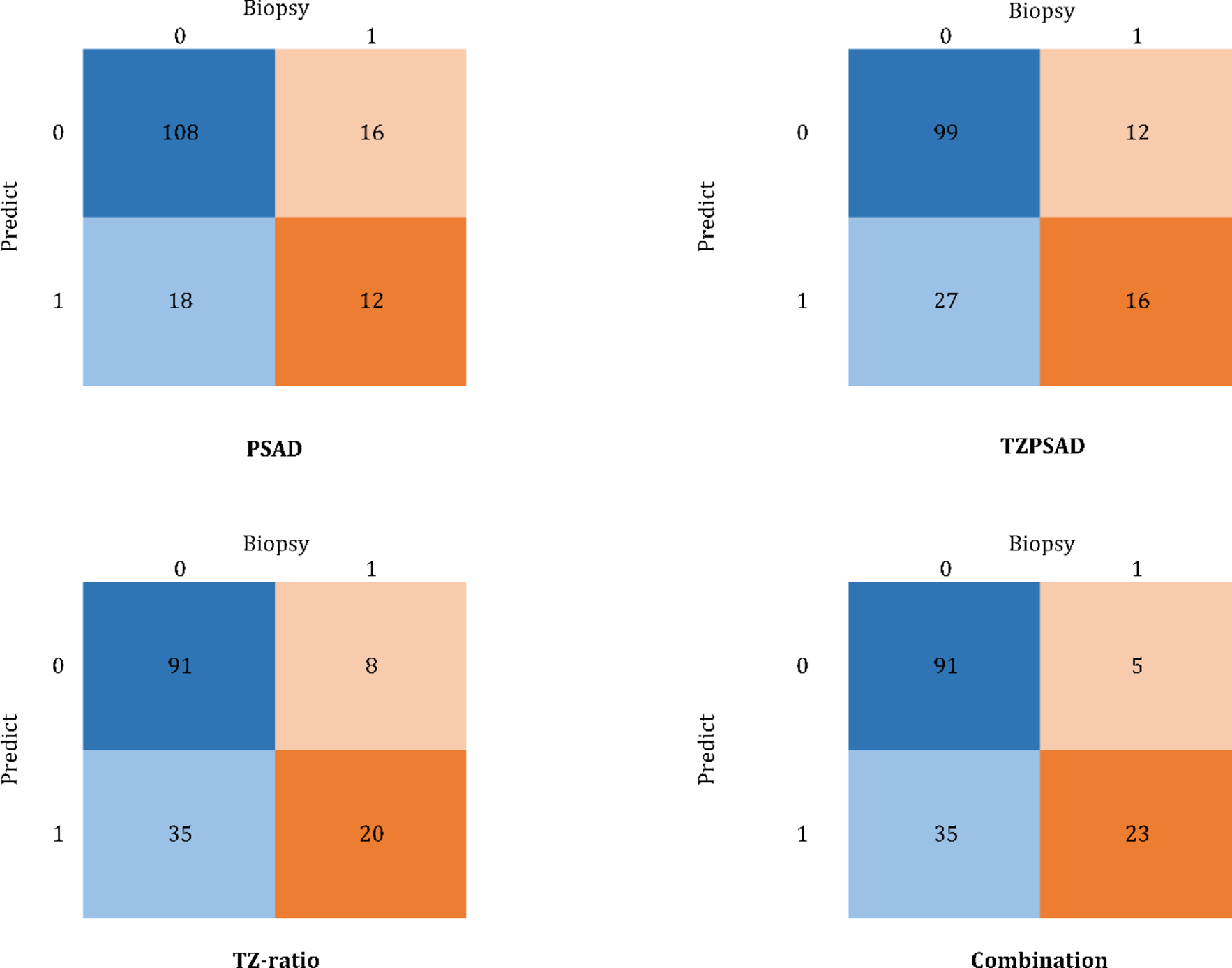
Fig. 3

Confusion matrix for PSAD, TZPSAD, TZ-ratio, and the combination model of age, TZPSAD, and TZ-ratio. PSAD, prostate-specific antigen density; TZPSAD, transitional zone prostate-specific antigen density; TZ-ratio, transitional zone volume ratio; TZV, transitional zone volume.