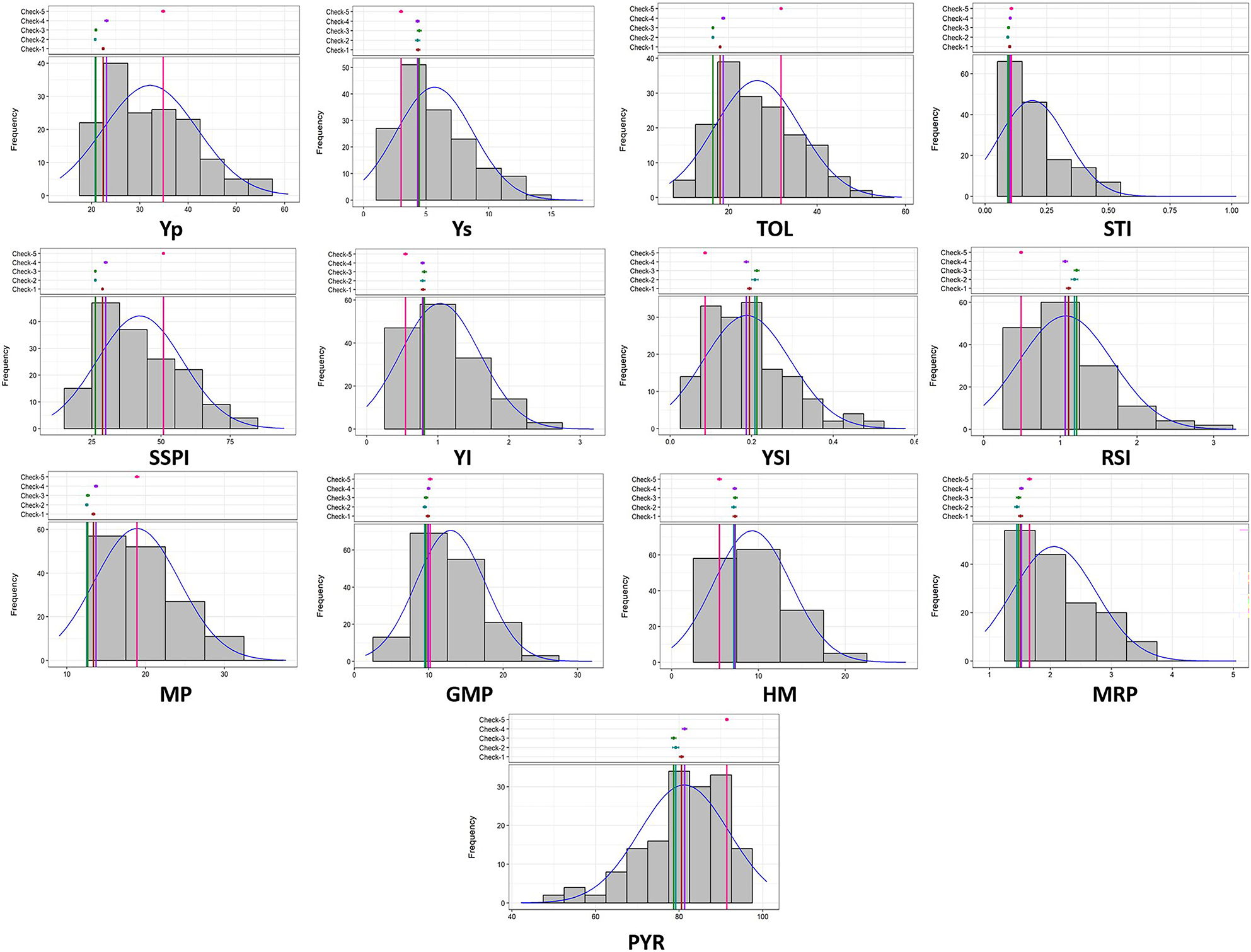
Fig. 2
From: Identification of heat tolerant lentil genotypes through stress tolerance indices

Frequency distribution of yield under normal and stress conditions and heat stress indices. Coloured lines represent the checks (Brown-Check 1, Dark Cyan-Check 2, Green-Check 3, Purple-Check 4, Pink-Check 5). Yp yield under normal conditions, Ys yield under stress conditions, TOL tolerance index, STI stress tolerance index, YSI yield stability index, YI yield index, RSI relative stress index, MP mean productivity, HM harmonic mean, GMP geometric mean productivity, MRP mean relative performance, PYR percent yield reduction, SSPI stress susceptibility percentage index.