Abstract
With climate change projections indicating an increase in the frequency of extreme heat events and irregular rainfall patterns globally, the threat to global food security looms large. Terminal heat stress, which occurs during the critical reproductive stage, significantly limits lentil productivity. Therefore, there is an urgent need to improve lentil’s resilience to heat stress to sustain production. However, studies identifying heat-tolerant sources in lentils are limited. To address these issues, we assessed 158 lentil genotypes under normal and late-sown conditions over two consecutive seasons. We employed eleven heat stress indices to identify lines tolerant to heat stress. All genotypes exhibited a decrease in average grain yield when subjected to stress conditions as compared to non-stress conditions, indicating the impact of heat stress on crop yield. Correlation analysis showed significant positive correlation between yield in normal and late-sown conditions and the following heat stress indices: STI, MP, MRP, YI, GMP, and HM. In contrast, TOL, SSPI, and PYR showed negative associations with yield in late-sown conditions. Based on these indices, we identified the genotypes P13143, P13130, and P13135 as high-yielding in both stress and non-stress conditions. Cluster analysis and biplot display in PCA also confirmed that genotypes P13143, P13130, and P13135 exhibited suitability and high yield potential in both environments. These genotypes can be utilized as donors in future breeding programs to introduce genetic variations for improving heat stress tolerance in lentil.
Similar content being viewed by others
Introduction
The frequency and intensity of heat waves have increased due to global climate change, significantly impacting plant species worldwide1,2. Rising temperatures and prolonged heat waves are altering growth patterns, reducing yields, and threatening the sustainability of various crops3,4,5. Pulses, known for their sensitivity to temperature fluctuations, are particularly vulnerable, with higher temperatures during reproductive stages causing substantial declines in yield and grain quality6,7,8. Lentils, like other pulses, are highly sensitive to rising temperatures9.
Lentil (Lens culinaris Medikus subsp. culinaris) stands as one of the most significant cool-season food legume crops, cultivated across more than 52 countries worldwide10. Originating from the Near East11, lentil holds the distinction of being one of the oldest crops, boasting a genome size of approximately 4 Gb12. Because of their nutritional richness, lentils are described as “poor man’s meat,” offering a protein content ranging from 20 to 36%, alongside carbohydrates comprising 60–67%, dry ash at 2–3%, and fat content of less than 4%13. With a low glycaemic index, lentils present a healthy dietary option for individuals grappling with diabetes, obesity, and cardiovascular conditions14.
Due to its high nutrition value and easily adaptable cultivation practices, the global production of lentils has seen a remarkable surge of 107%, growing from 3.15 to 6.53 million metric tons (MT) over the past two decades15. Key contributors to this expansion include major lentil-producing nations such as China, Ethiopia, Nepal, India, Turkey, Australia, and the United States16. World production for the year 2022 increased to 6.7 million tons, with Canada being the leading producer, producing 34% of the total17. India, according to the third advanced estimate from Ministry of Agriculture & Farmers Welfare, Government of India recorded an average production of 1.7 million tons of lentils between 2023 and 2024, cultivated across approximately 1.9 million hectares18. Despite an increase in lentil cultivation area in India over recent decades, the crop’s productivity is still relatively low, averaging only about 904 kg per hectare19. This low productivity can be partly attributed to the adverse effects of various environmental stresses. Lentils, like other pulses, are particularly susceptible to abiotic stressors such as soil salinity, extreme temperatures (both heat and cold), drought, and deficiencies in essential minerals and nutrients12,20,21,22. These abiotic stresses contributed to 28% of global yield loss23. Specifically, heat stress, cold, and frost led to an 8% yield drop in Sub-Saharan Africa and 13% in Central and West Asia and North Africa23. Among all these stresses, heat, drought and cold are recognized as the major ones affecting the lentil production24.
Optimal lentil growth occurs within a temperature range of 18 to 30 °C, with warmer conditions preferred during maturity and cooler temperatures essential during vegetative growth stages25. However, temperatures above 32/20°C during the reproductive stage result in notable declines in both grain quality and yield26,27. Study reported in South-eastern Australia revealed that prolonged heat waves, lasting up to six days with temperatures reaching 35 °C, trigger a drastic reduction (up to 70%) in lentil production28. Furthermore, lentil cultivation in South Asia typically occurs during the post-monsoon season, relying heavily on residual soil moisture29. This reliance renders the crop susceptible to issues arising from the premature cessation of rainfall.
In India, sowing of lentil is often delayed because of the delayed harvesting of preceding crops, primarily paddy in northern regions24. Consequently, during the critical seed-filling phase, lentil crops are exposed to elevated temperatures. This vulnerability is exacerbated by its susceptibility to terminal heat stress during grain filling, which can lead to premature maturity and reduce overall yield. Studies have reported that heat stress in lentils also results in severe oxidative damage, membrane deterioration, and a reduction in leaf sugar content30. Pollen fertility was also found to be adversely affected at temperatures above 32 °C31. This is because heat stress adversely affects the accumulation of starch and sucrose in pollen grains32. It also decreases seed growth rate, ranging from 30–44%33.
Heat tolerance indices have been suggested in many studies to help select stress-tolerant cultivars. These indices provide a quantitative measure of a plant’s ability to maintain yield or other important traits under heat stress. They integrate yield performance under both stress and non-stress conditions, allowing for a better understanding of how a genotype performs relative to its potential under optimal conditions. They indirectly reflect physiological and genetic traits linked to heat tolerance, such as efficient resource use, resilience to temperature-induced stress and stable productivity. One such index is the Tolerance Index (TOL), which measures the yield differences between optimal conditions and conditions of heat stress34. Another useful metric is Mean Productivity Index (MP). It is determined by the average yield of a genotype in both normal and heat stress conditions34. Harmonic Mean (HM), suggested by Farshadfar et al.35, is calculated as the ratio of twice the product of genotype yield and their total in both stress and non-stress conditions. Another measure of stress tolerance is the Mean Relative Performance (MRP) introduced by Ramirez and Kelly36. Furthermore, to evaluate stability and variations in traits in both stress and non-stress conditions, Moosavi et al.37 developed the Stress Susceptibility Percentage Index (SSPI). The Relative Stress Index (RSI) was suggested by Fisher and Wood38 to assess tolerance to heat stress.
Basavaraj et al.39 employed the Percent Yield Reduction (PYR) metric to evaluate low phosphorus stress in rice. Introduced by Fernandez40, the Stress Tolerance Index (STI) selects genotypes that are tolerant to heat stress, using the geometric mean production index as its basis. Bouslama and Schapaugh41 suggested Yield Stability Index (YSI) as the ratio of yield under stress conditions to yield under non-stress conditions. Additionally, Gavuzzi et al.42 introduced the Yield Index (YI), which assesses genotype performance by comparing its normal yield with average yield of all the genotypes under conditions of heat stress. These diverse measures provide valuable tools for assessing and selecting stress-tolerant cultivars across various environmental conditions. The selection of stable as well as tolerant genotypes can be done by identifying genotypes with high values of YI, STI, GMP, HM, YSI, and MP, and low values of TOL, SSPI, and PYR43.
Breeding for heat tolerance is of paramount importance in lentils for adaptation to heat stress conditions. But limited genetic diversity within cultivated lentil varieties, a consequence of domestication, presents a significant challenge in facilitating adaptation to shifting climates. Therefore, screening diverse genetic resources, selection, and introgression will be key to developing heat stress resilient lentil cultivars44. However, studies aimed at identifying sources of heat stress tolerance in lentil are still limited. To address these gaps, we evaluated 158 lentil genotypes in the field conditions for two consecutive seasons and employed heat stress indices for identifying lines showing tolerance to heat stress. We employed eleven heat stress indices: STI40, MRP36, GMP40, HM45, MP34, YSI41, YI42, RSI38, PYR46, SSPI37, TOL34. By analyzing these stress index values and conducting principal component analysis, correlation, and cluster analysis, several heat-tolerant genotypes were identified. These lines identified as heat tolerant in this study can be utilized in future breeding programs as donors to introduce genetic variations aimed at improving heat stress tolerance in lentil.
Materials and methods
Plant Material
A set of 158 lentil genotypes, comprising released cultivars, advanced breeding lines, and exotic germplasm lines were used in our study. Among these, 106 accessions were sourced from the ICARDA gene bank in Morocco and 52 were obtained from ICAR-IARI in India. All these materials were obtained in accordance with the rules and regulations set forth by the Government of India under the leadership of NBPGR (National Bureau of Plant Genetic Resources). The experimental material used in this study does not involve any species that are at risk of extinction and is not listed under the Convention on International Trade in Endangered Species of Wild Fauna and Flora (CITES). The materials can be obtained from the corresponding authors in accordance with the rules and regulations set by the Government of India. Details of all the genotypes and their respective sources are provided in Table 1.
Experiment location
The field experiment took place in the research farm of the Division of Genetics, Indian Agricultural Research Institute, New Delhi. The farm is located at an average altitude of 228.61 m (750 feet) above sea level, with geographic coordinates of 28.080 N latitude and 77.120 E longitude. Authorization to conduct field experiments in the research fields of the Division of Genetics was granted by the Chairperson of the Advisory Committee.
All the genotypes were grown under both normal and late sown conditions. Normal sowing took place in November, while late sowing occurred in January, both within the Rabi season of 2022–23 and 2023-24 (Table 2). Then, eleven heat stress indices were used for the identification of heat-tolerant genotypes. The indices used and their mathematical formulas are presented in Table 3.
Experimental layout
The genotypes were planted in an augmented block design, where controls were replicated instead of entries. Five cultivated varieties of lentil (L4717, L4727, L4729, PDL-1, and PSL-9) served as controls. Among them, L4717, L4727, and L4729 are the ruling varieties with high breeder seed indent and early maturing in nature. Whereas, PDL-1 and PSL-9 are well known for their tolerance to drought and salinity stress.
Crop management
Under both normal and late-sown conditions, sowing was done in rows that were 5 m long, with a spacing of 25 cm between each row. Before sowing, seeds were treated with Carbendazim @ 2.5 g/kg of seeds. A recommended fertilizer dose of 20 kg Nitrogen, 40 kg Phosphorus and 20 kg Sulphur per hectare was applied as the basal dose. No further fertilization or micronutrient spraying was done. Two hand weeding were carried out at 25 DAS (days after sowing) and 50 DAS to control weeds. Two irrigations were given during the growing season, at the pre-flowering and pod-filling stages. The purpose was to ensure adequate soil moisture during these critical phenological phases. Emamectin benzoate 5 SG @ 0.2 g/litre of water and Imidacloprid 17.8 SL @ 0.2 ml/litre of water were used for controlling pod borer and aphids, respectively. Harvesting was done manually when the leaves became yellow and 85–90% pods turned to brown in colour.
Environmental evaluation
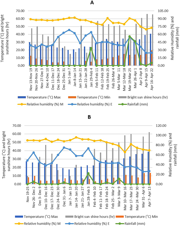
We collected the weather parameters from the Division of Agricultural Physics, IARI, New Delhi, for two crop growing seasons 2022–23 and 2023–24 (Table S1, S2). During the reproductive stage, genotypes under standard sowing conditions experienced a maximum temperature of 29.2 °C and a maximum relative humidity of 93% in the 2022–2023 season. Whereas genotypes that were sown late experienced temperatures as high as 32.5 °C and maximum relative humidity of 90% (Fig. 1A). During the 2023–24 season, the maximum temperature was 28.6 °C and the maximum relative humidity was around 97%. In contrast, plants that were sown late experienced temperatures as high as 33.1 °C with 87% relative humidity (Fig. 1B). So, at the reproductive stage, genotypes that were sown late had faced a heat stress of ~ 4–5 °C during both the seasons 2022–23 and 2023–24 that causes early maturity and yield loss.
Pooled weekly weather parameters [maximum and minimum temperature (°C), relative humidity at morning and evening (%), rainfall (mm) and bright sun shine hour (hr)] during the lentil growing season 2022-23. Pooled weekly weather parameters [maximum and minimum temperature (°C), relative humidity at morning and evening (%), rainfall (mm) and bright sun shine hour (hr)] during the lentil growing season 2023-24.
Statistical analysis
The calculation of heat stress indices was done in Microsoft Excel 2016 MSO (Version 2411). They were calculated based on the mean yield data of two years of experiment as there were no significant differences in yield of genotypes between two studied seasons. Then Analysis of Variance was performed using the ‘augmentedRCBD’ package47 present in edition number 4.3.2 of the R software. For correlation analysis, package ‘corrplot’48 was used, while PCA was conducted using packages ‘factoextra’49 and ‘FactoMineR’50 of R software. Chord diagram was also created in R using the ‘circlize’ package51. For hierarchical cluster analysis (average linkage method), the R ‘stats’ package52 and iTOL version 6.953 were used.
Results
Analysis of variance and descriptive statistics
ANOVA revealed significant variation (P ≤ 0.01) for grain yield in stress and non-stress conditions and stress tolerance indices among the lentil genotypes (Table S3). These genotypes are also found to be significantly differing from controls for most of the studied heat stress indices. Conversely, the block effect and residuals do not appear to significantly contribute to the observed variation in these traits.
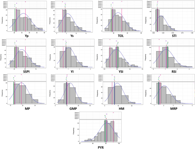
The descriptive statistics for heat stress indices and grain yields under both normal and late-sown conditions are presented in Table 4, while Fig. 2 illustrate their frequency distribution. Indices such as YI (CV = 9.46), YSI (CV = 12.15), STI (CV = 7.10), HM (CV = 8.00) and RSI (CV = 12.15) showed comparatively higher variability as compared to others. Conversely, MP (CV = 1.39) TOL (CV = 2.60), SSPI (CV = 2.60), PYR (CV = 2.82), MRP (CV = 4.61) and GMP (CV = 4.70) displayed low to moderate variability.
Frequency distribution of yield under normal and stress conditions and heat stress indices. Coloured lines represent the checks (Brown-Check 1, Dark Cyan-Check 2, Green-Check 3, Purple-Check 4, Pink-Check 5). Yp yield under normal conditions, Ys yield under stress conditions, TOL tolerance index, STI stress tolerance index, YSI yield stability index, YI yield index, RSI relative stress index, MP mean productivity, HM harmonic mean, GMP geometric mean productivity, MRP mean relative performance, PYR percent yield reduction, SSPI stress susceptibility percentage index.
Heat tolerance indices
A variety of stress indices were computed in this study using mean yield data obtained under both stress and non-stress conditions, including MRP, TOL, RSI, PYR, YSI, MP, STI, HM, SSPI, GMP and YI (Table S4 and Fig. S1). IC560181 exhibited high values for the following stress indices: TOL, PYR, MP, and SSPI, indicating its susceptibility to heat stress. Conversely, genotype P13133 displayed low MP, SSPI, PYR, and TOL, suggesting its heat tolerance. However, its overall performance was relatively low in both stress and non-stress conditions. Therefore, genotype grain yield should also be considered when selecting for both high performance and heat tolerance. While heat tolerance indices assess genotype response and resilience to heat stress, grain yield reflects a genotype’s actual productivity. By combining these two criteria, identification of such genotypes is possible that are not only heat-tolerant but also high-yielding under both stress and non-stress conditions. Genotype P13143 demonstrated the highest YI, HM, STI, MRP, GMP, and MP values, establishing it as the most productive and stable genotype in both stress and non-stress conditions. Conversely, genotype P117 exhibited the lowest HM, RSI, STI, GMP, YSI, and YI values, indicating its susceptibility to heat stress. Genotypes classified as heat-tolerant exhibited higher values of YI, YSI, STI, MP, HM, GMP, and MRP, while those classified as heat-susceptible had lower values. Genotype EC223209-B showed the lowest PYR, followed by EC78472, P13133, IG69568, and EC267529. These genotypes can be considered relatively stable in both stress and non-stress conditions. In terms of performance, genotype EC223209-B was low-yielding in normal sown conditions. However, in late-sown conditions, it performed better as compared to most of the genotypes. This superior performance under stress highlights its potential for cultivation in heat stress conditions where stable yields are critical.
Among the five control genotypes, control 5 was the best performing one in normal-sown conditions across both the seasons. However, under late-sown conditions, all the control genotypes showed significant reduction in yield. Control 3 had the lowest PYR followed by control 2, indicating superior performance as compared to other controls in late-sown conditions.
Correlation analysis
A correlation analysis was performed between Yp, Ys and stress tolerance indices to determine the most appropriate criteria for selecting heat-tolerant genotypes (Table 5; Fig. 3). Chord diagram was also constructed using the correlation matrix to visually represent the relationships (Fig. S2). PYR showed a strong negative association with Ys and a strong positive relationship with both TOL and SSPI. Conversely, under normal-sown conditions, a positive correlation was found between grain yield and TOL, SSPI, and PYR. This suggests that selection on the basis of these indices can improve performance in normal-sown conditions. However, performance may be reduced in case of heat stress. Furthermore, RSI as well as YSI showed significant positive association with Ys and a negative association with Yp. These two indices are more effective for distinguishing heat-tolerant genotypes from susceptible ones. Another study on durum wheat also reported the effectiveness of YSI in discerning genotypes with varying levels of stability under stress54. The stress indices STI, MRP, MP, YI, GMP, and HM had highly significant positive relationship with both Yp and Ys, indicating their usefulness in identifying better-performing genotypes in both stress and non-stress conditions. Selection on the basis of the above indices identified genotype P13143 followed by P13130 and P13135 as high-yielding in both normal and stress conditions.
Correlation matrix demonstrating the correlations among yields under normal and stress conditions and heat tolerance indices. Correlation coefficients are depicted as the colour and size of the circles. Yp yield under normal conditions, Ys yield under stress conditions, TOL tolerance index, STI stress tolerance index, SSPI stress susceptibility percentage index, YI yield index, YSI yield stability index, RSI relative stress index, MP mean productivity, GMP geometric mean productivity, HM harmonic mean, MRP mean relative performance, PYR percent yield reduction.
Principal component analysis
To identify genotypes tolerant to heat stress, PCA was conducted using grain yields in normal and late-sown conditions and stress tolerance indices. Among thirteen principal components, the first two had eigenvalues greater than 1, accounting for 97.8% of the observed variation (Table S5). Specifically, PC1 explained 58.3% of the overall variance, while PC2 accounted for 39.5% (Table 6; Fig. 4). Thus, by using the first two principal components, the complexity of the data can be significantly reduced without substantial loss of information, making it easier to visualize, interpret, and analyze. As nearly all the variation in the dataset is captured by these two components, any model or analysis based on them is expected to be highly accurate. Furthermore, MRP, GMP, YI, STI, and HM displayed a strong positive association with PC1. Conversely, PC2 showed a strong positive relationship with SSPI, TOL, and PYR. Additionally, RSI and YSI were found to be positively associated with PC1 but negatively related to PC2.
Scree plot demonstrating the variance explained by the principal components. First principal component explained 58.4% of the observed variation followed by second principal component that accounted for 39.5% of the observed variation.
The biplot was created using the first two principal components to compare different genotypes and investigate the relationships between studied stress indices (Fig. 5). Genotypes present in the positive PC1 region (first quadrant) exhibited better performance under heat stress conditions due to their association with indices favouring heat stress tolerance. Genotype P13143 and P13130, followed by P13135, demonstrated the highest values for PC1. These were determined to be the most heat-tolerant among the studied genotypes. Whereas genotypes 1, 12, 143, and 13 (IC 560181, NDL1, EC78476, and LL1122, respectively) were present in the positive PC2 region (second quadrant) and exhibited higher (positive) PC2 and lower (negative) PC1 values. They were marked as most susceptible to heat stress. Furthermore, genotypes 140 and 51 (EC78472 and EC223209-B, respectively) had higher PC1 but lower PC2 values (fourth quadrant). They were considered stable in both stress and non-stress conditions.
PCA biplot demonstrating the relationships among studied heat tolerance indices. The X-axis represents the first principal component (Dim1), and the Y-axis represents the second principal component (Dim2). PC1 first principal component, PC2 second principal component, Yp yield under normal conditions, Ys yield under stress conditions, TOL tolerance index, STI stress tolerance index, YSI yield stability index, YI yield index, RSI relative stress index, MP mean productivity, HM harmonic mean, GMP geometric mean productivity, MRP mean relative performance, PYR percent yield reduction, SSPI stress susceptibility percentage index.
Cluster analysis
On the basis of eleven stress tolerance indices, all the studied lentil genotypes were grouped into eight clusters (Fig. 6; Table 7). Cluster VIII had the highest number of genotypes, with a total of 74. Whereas clusters I and II had the minimum number of genotypes, with one genotype in each. There were more similarities observed between genotypes within the same cluster, whereas those from different clusters exhibited greater variation in heat stress indices. Furthermore, genotype in cluster I exhibited the highest MRP, HM, MP, STI, and GMP values, followed by genotypes from clusters III. Conversely, the genotype in cluster VI showed the lowest values for these indices, followed by genotypes from cluster VIII. Therefore, the genotype P13143 in cluster I was considered the most heat-tolerant. On the other hand, P117 belonging to cluster VI was identified as most heat sensitive.
Dendrogram based on heat tolerance indices showing the clustering pattern of lentil genotypes into eight different groups.
Discussion
In the present study, late sowing reduced the growing season duration from 148 to 116 days in the first season and from 150 to 115 days in the second season. Under normal-sown conditions, plants experienced a longer vegetative phase under declining day lengths, followed by flowering and pod setting as day lengths increased. This alignment with optimal photoperiod and temperature supported better canopy development, efficient resource partitioning, and biomass accumulation. In contrast, late-sown plants experienced shorter photoperiods during the vegetative phase, with an abrupt transition to reproductive growth as temperature and day length increased. This shift accelerated phenological development, reducing the vegetative growth period and potentially limiting biomass production. These observations are consistent with those reported by Kumar et al.55 and Summerfield et al.56 in lentils. However, temperature has a much greater impact on lentil development (days to flowering) than photoperiod56,57.
Previous studies have reported significant reduction in plant height in late sown conditions as compared to normal sown conditions58,59. This may be due to the favourable environmental conditions during the normal sowing of the lentil genotypes, which promote proper growth and development. Late sowing also affected the time period required for overall phenological development, resulting in a reduction in overall growing season duration. These observations are in agreement with those reported by Wright et al.60 and Maphosa et al.61 in lentil. Furthermore, reduction in the number of secondary branches and pods per plant was also reported61,62. All these factors resulted in significant reductions in yield in late-sown conditions. Mukherjee et al.58 also reported a similar reduction in yield due to the exposure of lentil genotypes to high temperatures in late-sown conditions.
Heat stress can significantly affect lentil crops, particularly during the flowering and pod-filling stages26. Under late-sown conditions, lentil genotypes were exposed to higher temperature of approximately 3–5 °C, leading to reduction in grain yield. This negative association between grain yield and heat stress is a considerable obstacle for plant breeders in their efforts to sustain high yields. Therefore, in the present study, stress indices were computed using mean grain yield to assess heat stress in different lentil genotypes and to identify high-yielding heat-tolerant genotypes. Stress tolerance indices play a crucial role in identifying the genotypes capable of enduring adverse conditions. While it remains uncommon to employ these indices for selecting heat-tolerant lentil genotypes worldwide, they are established tools for screening drought-tolerant genotypes in durum and bread wheat under water-stress conditions63,64. Furthermore, GMP and MP indices have emerged as dependable markers for identifying genotypes with tolerance to terminal heat stress in case of spring wheat in Nepal65. Similar results were also documented by Sareen et al.66 demonstrating the effectiveness of these indices across various environments for screening terminal heat-tolerant genotypes. Lower values of TOL and SSPI are preferable for selecting tolerant genotypes, while higher values indicate greater susceptibility to stress. Therefore, tolerance increases with a decrease in TOL and SSPI values. However, these two indices fail to differentiate between genotypes that are high-yielding under both conditions. In our study, genotype IC 560181 exhibited the highest values for both SSPI and TOL. Whereas, genotype P13133 followed by EC267529, EC223209-B and IG69568 had the lowest TOL and SSPI values, indicating their heat tolerance.
When selecting high-yielding genotypes, it’s crucial to consider both low TOL and grain yield. Genotype EC223209-B also showed the highest values for RSI and YSI. Higher YSI indicates that a plant is able to maintain its yield despite adverse conditions like heat stress. Whereas, by comparing performance under stress and non-stress conditions, RSI highlights plants that are inherently better at tolerating stress. It indirectly reflects how well plants manage heat-induced disruptions, such as oxidative stress, protein denaturation or stomatal closure. Similar observations were made in rice, suggesting that RSI and YSI are valuable tools for identifying better-performing genotypes in stress rather than non-stress conditions42. In studies on chickpea, STI was found to be a more suitable parameter for screening heat-tolerant genotypes67,68. Higher values for STI, MP, and GMP indicate superior performance, suggesting genotypes with enhanced heat tolerance and increased grain yield.
Selection on the basis of MP tends to prioritize higher yields over heat tolerance. In our study, genotype P13143 exhibited the highest HM, MP, STI, and GMP values. Conversely, genotype P117 displayed the lowest YI, GMP, STI, and HM values. Rosielle and Hamblin34, along with Fernanez40, have previously identified GMP as an effective method for distinguishing genotypes on the basis of their performance in stress and non-stress conditions. Therefore, compared to other genotypes, genotype P13143 demonstrated higher productivity under heat stress. Among the controls, control 5 had the highest values of MRP, GMP, and STI, indicating superior performance. In their research, Zaman et al.69 also suggested that high values for MRP, GMP, and STI could serve as criteria for selecting genotypes that are both highly productive and heat-tolerant. Studies by Singh et al.70 and Ashraf et al.71 concluded that lines with higher YI are more tolerant to heat stress compared to other lines. In our study, genotype P13143, followed by P13130 and EC78472, exhibited the highest values for YI.
For the selection of genotypes susceptible to or tolerant of heat stress, relying solely on various stress indices is deemed insufficient Therefore, we examined the correlation between Yp, Ys and stress indices to identify the most appropriate indices for assessing tolerance to heat stress. In present study, a positive correlation (0.178) was found between Yp and Ys. Zaman et al.69 also reported similar associations between grain yields in normal and heat stress conditions. In addition, RSI and YSI showed negative association with Yp but positive association with Ys. Similar findings were reported by Poudel et al.72, who concluded that lower SSPI and TOL and higher YSI should be given more importance when selecting heat-tolerant genotypes. We also found a highly significant positive correlation of yield with following heat tolerance indices such as HM, STI, GMP, YI, and MP. These observed correlations align with the findings reported by Zaman et al.69 and Ivi´c et al.73 in studies on lentil and wheat, respectively. Jha et al.74. proposed that these indices might be utilised to select genotypes that perform well in both stress and non-stress conditions. This idea is further supported by Puri et al.‘s75 research on spring wheat in Nepal.
In order to determine the percentage contributions of main components and heat tolerance indices to the overall variance, we conducted PCA based on yield and stress tolerance indices. PCA serves as a valuable tool for pattern identification in cluster analysis, often preferred by plant breeders76. While correlation coefficients help understand relationships between two variables, several authors have advocated for PCA as a more effective criterion for selection of superior genotypes in both normal and heat-prone conditions54,77. Moreover, PCA offers advantages over cluster analysis by simultaneously displaying associations between all traits and reducing the number of contributing traits to total variations. In our study, the first two components with eigenvalues > 1 were considered the major components. PC1 displayed positive correlations with the following heat tolerance indices: GMP, HM, YSI, MP, MRP, YI, and STI. These indices were clustered together in PC1 as they share a common focus on stable and high performance under both stress and non-stress conditions. Thus, PC1 could be regarded as “yield potential and heat tolerance component” in both stress and non-stress conditions. Conversely, PC2 was deemed as “stress susceptibility component,” significantly associated with TOL, SSPI, and PYR, making it useful for identifying genotypes sensitive to heat. Our observations revealed that genotypes exhibiting high performance under both stress and non-stress conditions had higher PC1 and lower PC2. In their study, Kaya et al.78 also supported the view that genotypes having higher PC1 and low PC2 values could be identified as stable, and vice versa.
All 158 lentil genotypes were classified into eight clusters based on eleven heat-tolerant indices. In this grouping, cluster I exhibited the highest MRP, HM, GMP, and STI values, followed by cluster III. Therefore, these clusters represent genotypes with superior heat tolerance and yield stability under stress conditions. Breeders can select genotypes from these clusters as potential parents for developing heat-tolerant and high-yielding varieties. Crosses between genotypes within these clusters may combine and enhance these favourable traits. Conversely, cluster VI showed the lowest values for these indices, trailed by cluster VIII. While genotypes belonging to these clusters may not directly contribute to improved yield, they can be used in pre-breeding programs or wide crosses to introduce genetic diversity and novel traits. Naghavi et al.79 utilized MP, GMP, and STI to cluster eight maize genotypes into three groups, finding that genotypes having highest values for these indices were tolerant to heat stress. Similarly, Thanaa et al.80 categorized genotypes into five clusters based on performance and stress indices, identifying the genotype with the highest values of STI, YSI, HM, MP, and GMP as tolerant. Hence, prioritizing high values of YSI, HM, MP, STI, and GMP during parent selection could aid in developing heat-tolerant varieties. Jha et al.81. , using morphological traits and stress tolerance indices, categorized chickpea genotypes into distinct clusters, recommending the inclusion of genotypes from diverse clusters in breeding programs for heat-tolerant chickpea varieties. Their research highlighted the utility of YI, MP, and GMP in breeding programs for identifying highly productive chickpea genotypes under conditions of heat stress.
In summary, our study identified MP, GMP, YI, YSI, HM, MRP, and STI as suitable criteria for selecting high-yielding genotypes in lentils under both stress and non-stress conditions. Conversely, TOL, SSPI, and PYR were found to be linked to heat susceptibility. Therefore, these heat stress indices can be routinely used in future breeding programs for the selection of heat-tolerant lines. Based on heat tolerance indices, principal component analysis, and cluster analysis, genotypes P13143, P13130, and P13135 were selected as the most heat-tolerant and high-yielding genotypes in both conditions. Whereas genotypes IC 560181, NDL1, EC78476, and LL1122 were identified as the most heat-susceptible genotypes. Identified heat-tolerant genotypes should be evaluated in future in multi-location field trials to assess their performance across diverse agro-climatic zones. These genotypes can also be used as donors for combining favourable traits such as yield stability and heat tolerance. Additionally, the low-performing genotypes may be used in pre-breeding or wide crosses to broaden the genetic base for future breeding efforts. All these strategies will ultimately help develop lentil varieties that maintain high productivity in heat stress conditions.
Conclusion
The present study conducted an assessment of 158 lentil genotypes grown under both normal and late-sown conditions using various heat stress indices. Heat stress adversely affected the performance of all genotypes when planted late, resulting in reduced yields. Principal component analysis, correlation and biplot display indicated presence of significant positive correlation between Yp, Ys, and following heat tolerance indices: YI, MP, HM, GMP, MRP and STI. Therefore, these indices were identified as suitable criteria for selecting highly productive genotypes under both conditions. In contrast, TOL, SSPI, and PYR were found to be associated with heat susceptibility. Furthermore, cluster analysis based on these indices successfully classified 158 genotypes into heat-tolerant and heat-sensitive groups. Three genotypes, i.e., P13143, P13130, and P13135 were found to be the most heat-tolerant as well as high-yielding in both conditions, making them suitable for use in future breeding programs as a source of heat stress tolerance.
Data availability
All data generated or analyzed during this study are included in this published article [and its supplementary information files].The datasets used and/or analyzed during the current study are available from the corresponding author on reasonable request.
References
Perkins, S. E., Alexander, L. V. & Nairn, J. R. Increasing frequency, intensity and duration of observed global heatwaves and warm spells. Geophys. Res. Lett. 39, 1–5 (2012).
Perkins-Kirkpatrick, S. E. & Lewis, S. C. Increasing trends in regional heatwaves. Nat. Commun. 11, 1–8 (2020).
Jha, U. C., Bohra, A. & Singh, N. P. Heat stress in crop plants: its nature, impacts and integrated breeding strategies to improve heat tolerance. Plant. Breed. 133, 679–701 (2014).
Mall, R. K., Gupta, A. & Sonkar, G. Effect of climate change on agricultural crops. In Current Developments in Biotechnology and Bioengineering 23–46Elsevier, (2017).
Lesk, C. et al. Compound heat and moisture extreme impacts on global crop yields under climate change. Nat. Rev. Earth Environ. 3, 872–889 (2022).
Sita, K. et al. Food legumes and rising temperatures: effects, adaptive functional mechanisms specific to reproductive growth stage and strategies to improve heat tolerance. Front. Plant. Sci. 8, 1658 (2017).
Dave, K. et al. Climate change impacts on legume physiology and ecosystem dynamics: a multifaceted perspective. Sustainability 16, 6026 (2024).
Sarkar, S. et al. Abiotic stresses: alteration of composition and grain quality in food legumes. Agronomy 11, 2238 (2021).
Dhuppar, P., Biyan, S., Chintapalli, B. & Rao, S. Lentil crop production in the context of climate change: an appraisal. Indian Res. J. Ext. Educ. 2, 33–35 (2012).
Choukri, H. et al. Heat and drought stress impact on phenology, grain yield, and nutritional quality of lentil (Lens culinaris Medikus). Front. Nutr. 7, 596307 (2020).
Ford, R., Rubeena, Redden, R. J., Materne, M. & Taylor, P. W. J. Lentil. In Genome Mapping and Molecular Breeding in Plants: Pulses, Sugar and Tuber Crops 91–108 (Springer, (2007).
Singh, B. et al. Springer,. Understanding abiotic stress responses in lentil under changing climate regimes. In Developing Climate Resilient Grain and Forage Legumes 179–204 (2022).
Bhatty, R. S. Composition and quality of lentil (Lens culinaris Medik): a review. Can. Inst. Food Technol. J. 21, 144–160 (1998).
Kumar, S., Rajendran, K., Kumar, J., Hamwieh, A. & Baum, M. Current knowledge in lentil genomics and its application for crop improvement. Front. Plant. Sci. 6, 125110 (2015).
Kaale, L. D., Siddiq, M. & Hooper, S. Lentil (Lens culinaris Medik) as nutrient-rich and versatile food legume: a review. Legum Sci. 5, e169 (2023).
Reda, A. Lentil (Lens culinaris Medikus): current status and future prospect of production in Ethiopia. Adv. Plants Agric. Res. 2, 40 (2015).
FAOSTAT. Food and Agriculture Organization corporate statistical database. (2024). https://www.fao.org/faostat/en/#data/QCL
MoA&FW. Third advance estimates of production of food grains, oilseeds and other commercial crops for the year 2023-24. (2024). https://desagri.gov.in/statistics-type/advance-estimates
Kumar, U., Patel, G. A., Chudhari, R. P., Darji, S. S. & Raghav, R. S. Cluster frontline demonstration: an effective technology dissemination approach for enhancing productivity and profitability of black gram (Vigna mungo). Legum Res. 46, 1356–1360 (2023).
Muehlbauer, F. J. et al. Application of biotechnology in breeding lentil for resistance to biotic and abiotic stress. Euphytica 147, 149–165 (2006).
Zeroual, A., Baidani, A. & Idrissi, O. Drought stress in lentil (Lens culinaris medik) and approaches for its management. Horticulturae 9, 1 (2022).
Skliros, D. et al. Global metabolomics analysis reveals distinctive tolerance mechanisms in different plant organs of lentil (Lens culinaris) upon salinity stress. Plant. Soil. 429, 451–468 (2018).
Bhandari, K. et al. Heat stress at reproductive stage disrupts leaf carbohydrate metabolism, impairs reproductive function, and severely reduces seed yield in lentil. J. Crop Improv. 30, 118–151 (2016).
Sehgal, A. et al. Effects of drought, heat and their interaction on the growth, yield and photosynthetic function of lentil (Lens culinaris Medikus) genotypes varying in heat and drought sensitivity. Front. Plant. Sci. 8, 1776 (2017).
Choudhury, D. R., Tarafdar, S., Das, M. & Kundagrami, S. Screening lentil (Lens culinaris Medik.) Germplasms for heat tolerance. Trends Biol. Sci. 5, 143–146 (2012).
Sehgal, A. et al. Influence of drought and heat stress, applied independently or in combination during seed development, on qualitative and quantitative aspects of seeds of lentil (Lens culinaris Medikus) genotypes, differing in drought sensitivity. Plant. Cell. Environ. 42, 198–211 (2019).
El Haddad, N. et al. Metabolic mechanisms underlying heat and drought tolerance in lentil accessions: implications for stress tolerance breeding. Plants 12, 3962 (2023).
Delahunty, A., Nuttall, J., Nicolas, M. & Brand, J. Genotypic heat tolerance in lentil. In Proceedings of the 17th ASA Conference pp. 20–24 (2015).
Kumar, S., Barpete, S., Kumar, J., Gupta, P. & Sarker, A. Global lentil production: constraints and strategies. SATSA Mukh Ann. Tech. 17, 1–13 (2013).
Bhandari, K. et al. Differential heat sensitivity of two cool-season legumes, chickpea and lentil, at the reproductive stage, is associated with responses in pollen function, photosynthetic ability and oxidative damage. J. Agron. Crop Sci. 206, 734–758 (2020).
Wang, J., Gan, Y. T., Clarke, F. & McDonald, C. L. Response of chickpea yield to high temperature stress during reproductive development. Crop Sci. 6, 2171–2178 (2006).
Kaushal, N. et al. Heat-stress-induced reproductive failures in chickpea (Cicer arietinum) are associated with impaired sucrose metabolism in leaves and anthers. Funct. Plant. Biol. 40, 1334–1349 (2013).
Sita, K. et al. Impact of heat stress during seed filling on seed quality and seed yield in lentil (Lens culinaris Medikus) genotypes. J. Sci. Food Agric. 98, 5134–5141 (2018).
Rosielle, A. A. & Hamblin, J. Theoretical aspects of selection for yield in stress and non-stress environment. Crop Sci. 21, 943–946 (1981).
Farshadfar, E., Mohammadi, R., Farshadfar, M. & Dabiri, S. Relationships and repeatability of drought tolerance indices in wheat-rye disomic addition lines. Aust J. Crop Sci. 7, 130–138 (2013).
Ramirez-Vallejo, P. & Kelly, J. D. Traits related to drought resistance in common bean. Euphytica 99, 127–136 (1998).
Moosavi, S. S. et al. Introduction of new indices to identify relative drought tolerance and resistance in wheat genotypes. Desert 12, 165–178 (2008).
Fischer, R. A. & Wood, J. T. Drought resistance in spring wheat cultivars. III. Yield associations with morpho-physiological traits. Aust J. Agric. Res. 30, 1001–1020 (1979).
Basavaraj, P. S. et al. Identification and molecular characterization of high-yielding, blast resistant lines derived from Oryza rufipogon Griff. In the background of ‘Samba Mahsuri’ rice. Genet. Resour. Crop Evol. 68, 1905–1921 (2021).
Fernandez, G. C. Effective selection criteria for assessing plant stress tolerance. In Proceedings of the International Symposium on Adaptation of Vegetables and Other Food Crops in Temperature and Water Stress pp. 257–270 (1992).
Bouslama, M. & Schapaugh, W. T. Stress tolerance in soybean, part 1: evaluation of three screening techniques for heat and drought tolerance. Crop Sci. 2, 933–937 (1984).
Gavuzzi, P. et al. Evaluation of field and laboratory predictors of drought and heat tolerance in winter cereals. Can. J. Plant. Sci. 77, 523–531 (1997).
Pour-Aboughadareh, A. et al. iPASTIC: an online toolkit to estimate plant abiotic stress indices. Appl. Plant. Sci. 7, e11278 (2019).
Singh, A. et al. Springer,. Breeding for abiotic stress tolerance in lentil in genomic era. In Genomic Designing for Abiotic Stress Resistant Pulse Crops 145–167 (2022).
Bidinger, F. R., Mahalakshmi, V. & Rao, G. D. P. Assessment of drought resistance in pearl millet [Pennisetum americanum (L.) Leeke]. I. factors affecting yields under stress. Aust J. Agric. Res. 38, 37–48 (1987).
Farshadfar, E. & Javadinia, J. Evaluation of chickpea (Cicer arietinum L.) genotypes for drought tolerance. Seed Plant. Improv. J. 27, 517–537 (2011).
Aravind, J., Mukesh Sankar, S., Wankhede, D. P. & Kaur, V. augmentedRCBD: analysis of augmented randomised complete block designs. (2023). https://doi.org/10.5281/ZENODO.8015094
Wei, T. & Simko, V. R package ‘corrplot’: visualization of a correlation matrix (version 0.92). (2021). https://github.com/taiyun/corrplot
Kassambara, A. & Mundt, F. Factoextra: extract and visualize the results of multivariate data analyses. (2020). https://CRAN.R-project.org/package=factoextra
Le, S., Josse, J. & Husson, F. FactoMineR: an R package for multivariate analysis. J. Stat. Softw. 25, 1–18 (2008).
Gu, Z., Eils, G. U. L., Schlesner, R. & Brors, M. Circlize implements and enhances circular visualization in R. Bioinformatics 30, 2811–2812 (2014).
Core Team, R. R: A language and environment for statistical computing [computer software]. Vienna: R foundation for statistical computing. (2023). https://www.R-project.org
Letunic, I. & Bork, P. Interactive tree of life (iTOL) v5: an online tool for phylogenetic tree display and annotation. Nucleic Acids Res. 49, W293–W296 (2021).
Nouri, A., Etminan, A., Teixeira da Silva, J. A. & Mohammadi, R. Assessment of yield, yield-related traits and drought tolerance of durum wheat genotypes (Triticum turgidum var. Durum desf). Aust J. Crop Sci. 5, 8–16 (2011).
Kumar, J. et al. Association of functional markers with flowering time in lentil. J. Appl. Genet. 59, 9–21 (2018).
Summerfield, R. J., Roberts, E. H., Erskine, W. & Ellis, R. Effects of temperature and photoperiod on flowering in lentils (Lens culinaris Medic). Ann. Bot. 56, 659–671 (1985).
Erskine, W., Ellis, R. H., Summerfield, R. J., Roberts, E. H. & Hussain, A. Characterization of responses to temperature and photoperiod for time to flowering in a world lentil collection. Theor. Appl. Genet. 80, 193–199 (1990).
Mukherjee, B. et al. Growth, nodulation, yield, nitrogen uptake, and economics of lentil as influenced by sowing time, tillage, and management practices. Front. Sustain. Food Syst. 7, 1151111 (2023).
Venugopalan, V. K. et al. Foliar spray of micronutrients alleviates heat and moisture stress in lentil (Lens culinaris Medik) grown under rainfed field conditions. Front. Plant. Sci. 13, 847743 (2022).
Wright, D. M. et al. Understanding photothermal interactions will help expand production range and increase genetic diversity of lentil (Lens culinaris Medik). Plants People Planet. 3, 171–181 (2021).
Maphosa, L., Preston, A. & Richards, M. F. Effect of sowing date and environment on phenology, growth and yield of lentil (Lens culinaris Medikus.) Genotypes. Plants 12, 474 (2023).
Moosavi, S. G., Seghatoleslami, M. J. & Delarami, M. R. Effect of sowing date and plant density on yield and yield components of lentil (Lens culinaris Cv. Sistan). Annu. Res. Rev. Biol. 4, 296–305 (2013).
Lan, J. Comparison of evaluating methods for agronomic drought resistance in crops. Acta Agric. Bor-Occidsinic. 7, 85–87 (1998).
Barrs, H. D. & Weatherley, P. E. A re-examination of the relative turgidity technique for estimating water deficits in leaves. Aust J. Biol. Sci. 15, 413–428 (1962).
Mohammadi, M., Karimizadeh, R. & Abdipour, M. Evaluation of drought tolerance in bread wheat genotypes under dryland and supplemental irrigation conditions. Aust J. Crop Sci. 5, 487–493 (2011).
Sareen, S., Tyagi, B. S., Tiwari, V. & Sharma, I. Response estimation of wheat synthetic lines to terminal heat stress using stress indices. J. Agric. Sci. 4, 97 (2012).
Erdemcı, İ. Investigation of genotype× environment interaction in chickpea genotypes using AMMI and GGE biplot analysis. Turk. J. Field Crops. 23, 20–26 (2018).
Shabani, A., Zebarjadi, A., Mostafaei, A., Saeidi, M. & Poordad, S. S. Evaluation of drought stress tolerance in promising lines of chickpea (Cicer arietinum L.) using drought resistance indices. Env Stresses Crop Sci. 11, 289–299 (2018).
Aktar-Uz-Zaman, M. et al. Selection of lentil (Lens culinaris Medik.) Genotypes suitable for high-temperature conditions based on stress tolerance indices and principal component analysis. Life 12, 1719 (2022).
Singh, S. et al. Assessment of multiple tolerance indices for salinity stress in bread wheat (Triticum aestivum L). J. Agric. Sci. 7, 49 (2015).
Abd El-Mohsen, A. A., El-Shafi, A., Gheith, M. A., Suleiman, H. S. & E. M. S., & Using different statistical procedures for evaluating drought tolerance indices of bread wheat genotypes. Adv. Agric. Biol. 4, 19–30 (2015).
Poudel, P. B., Poudel, M. R. & Puri, R. R. Evaluation of heat stress tolerance in spring wheat (Triticum aestivum L.) genotypes using stress tolerance indices in western region of Nepal. J. Agric. Food Res. 5, 100179 (2021).
Ivić, M. et al. Screening of wheat genotypes for nitrogen deficiency tolerance using stress screening indices. Agronomy 11, 1544 (2021).
Jha, U. C., Basu, P., Shil, S. & Singh, N. P. Evaluation of drought tolerance selection indices in chickpea genotypes. Int. J. Bio-resour Stress Manag. 7, 1244–1248 (2016).
Puri, R. R., Gautam, N. R. & Joshi, A. K. Exploring stress tolerance indices to identify terminal heat tolerance in spring wheat in Nepal. J. Wheat Res. 7, 13–17 (2015).
Ceylan, H. A., Türkan, I. & Sekmen, A. H. Effect of coronatine on antioxidant enzyme response of chickpea roots to combination of PEG-induced osmotic stress and heat stress. J. Plant. Growth Regul. 32, 72–82 (2013).
Talebi, R., Fayaz, F. & Naji, A. M. Effective selection criteria for assessing drought stress tolerance in durum wheat (Triticum durum Desf). Gen. Appl. Plant. Physiol. 35, 64–74 (2009).
Kaya, Y., Palta, C. & Taner, S. Additive main effects and multiplicative interactions analysis of yield performances in bread wheat genotypes across environments. Turk. J. Agric. For. 26, 275–279 (2002).
Naghavi, M. R., Aboughadareh, A. P. & Khalili, M. Evaluation of drought tolerance indices for screening some of corn (Zea mays L.) cultivars under environmental conditions. Not Sci. Biol. 5, 388–393 (2013).
Thanaa, H., MNA, E. & EAM, A., & Tolerance indices and cluster analysis to evaluate some bread wheat genotypes under water deficit conditions. Alex J. Agric. Sci. 64, 245–256 (2019).
Jha, U. C., Jha, R., Singh, N. P., Shil, S. & Kole, P. C. Heat tolerance indices and their role in selection of heat stress tolerant chickpea (Cicer arietinum) genotypes. Indian J. Agric. Sci. 88, 260–267 (2018).
Acknowledgements
RS wishes to acknowledge the ICAR-IARI for PG fellowship and all other the necessary facilities. Technical support received from Mr. Dilip Kumar, Mr. Niranjan Rai, and Mr. Lalbabu is duly acknowledged.
Funding
This work was supported and funded by the Indian Council of Agricultural Research (ICAR) and the International Center for Agricultural Research in the Dry Areas (ICARDA).
Author information
Authors and Affiliations
Contributions
M.S.A., H.K.D., G.P.M., P.S.Y., and R.S.: Conceptualization; K.M.S., P., S.B.R., J.R., A.S., U.D., S.G., and R.B.: Methodology; R.S., P., M.S.A., and S.G.: Formal analysis; M.S.A., G.P.M., S.K., and H.K.D.: Resources; R.S., P., K.M.S., S.K.S., and S.B.R.: Data curation; R.S., P., and M.S.A.: Writing—original draft preparation; R.S., P., K.M.S., and S.K.: Writing—review and editing; M.S.A., H.K.D., and G.P.M.: Supervision.
Corresponding authors
Ethics declarations
Competing interests
The authors declare no competing interests.
Additional information
Publisher’s note
Springer Nature remains neutral with regard to jurisdictional claims in published maps and institutional affiliations.
Electronic supplementary material
Below is the link to the electronic supplementary material.
Rights and permissions
Open Access This article is licensed under a Creative Commons Attribution-NonCommercial-NoDerivatives 4.0 International License, which permits any non-commercial use, sharing, distribution and reproduction in any medium or format, as long as you give appropriate credit to the original author(s) and the source, provide a link to the Creative Commons licence, and indicate if you modified the licensed material. You do not have permission under this licence to share adapted material derived from this article or parts of it. The images or other third party material in this article are included in the article’s Creative Commons licence, unless indicated otherwise in a credit line to the material. If material is not included in the article’s Creative Commons licence and your intended use is not permitted by statutory regulation or exceeds the permitted use, you will need to obtain permission directly from the copyright holder. To view a copy of this licence, visit http://creativecommons.org/licenses/by-nc-nd/4.0/.
About this article
Cite this article
Sarkar, R., Mishra, G.P., Premakumar et al. Identification of heat tolerant lentil genotypes through stress tolerance indices. Sci Rep 15, 3716 (2025). https://doi.org/10.1038/s41598-025-87326-8
Received:
Accepted:
Published:
Version of record:
DOI: https://doi.org/10.1038/s41598-025-87326-8
Keywords
This article is cited by
-
Breeding climate-resilient wheat for Nepalese agricultural system under diverse abiotic stresses using an integrated AMMI, GGE and stress tolerance indices
Scientific Reports (2026)
-
Heat Tolerance in Omani Lentil Landraces and Their Stress Responses to Elevated Temperatures
Journal of Plant Growth Regulation (2025)
-
Temporal Modulation of Physiological and Biochemical Mechanisms Enhances Drought Tolerance Across Developmental Stages in Field Pea (Pisum sativum L.)
Journal of Plant Growth Regulation (2025)








