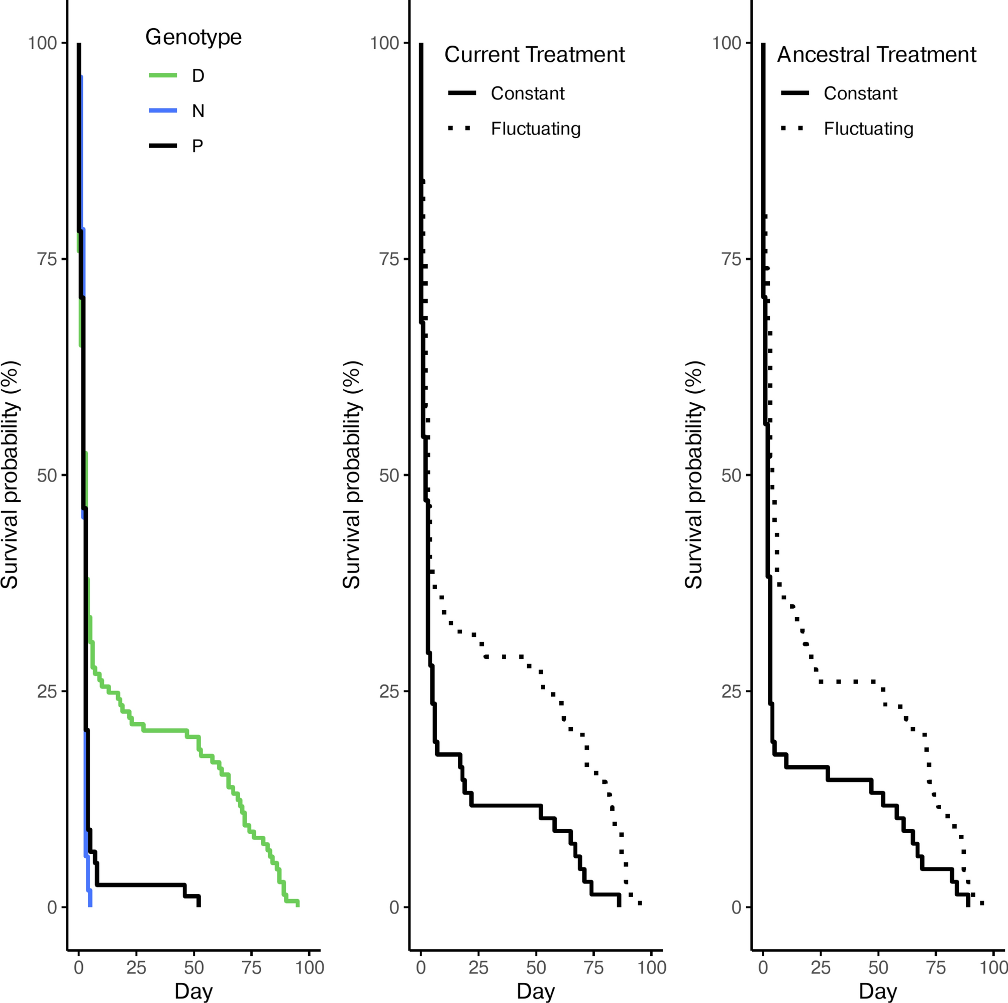
Fig. 5
From: Variable stressor exposure shapes fitness within and across generations

Survival curves of the G4 generation displaying the effects of genotype, current treatment and ancestral treatment in the respective panels from left to right. The centre and rightmost panels refer only to genotype D.