Fig. 5
From: Corrosion behavior of Fe amorphous/Al-12Si piston composites with core-shell structure

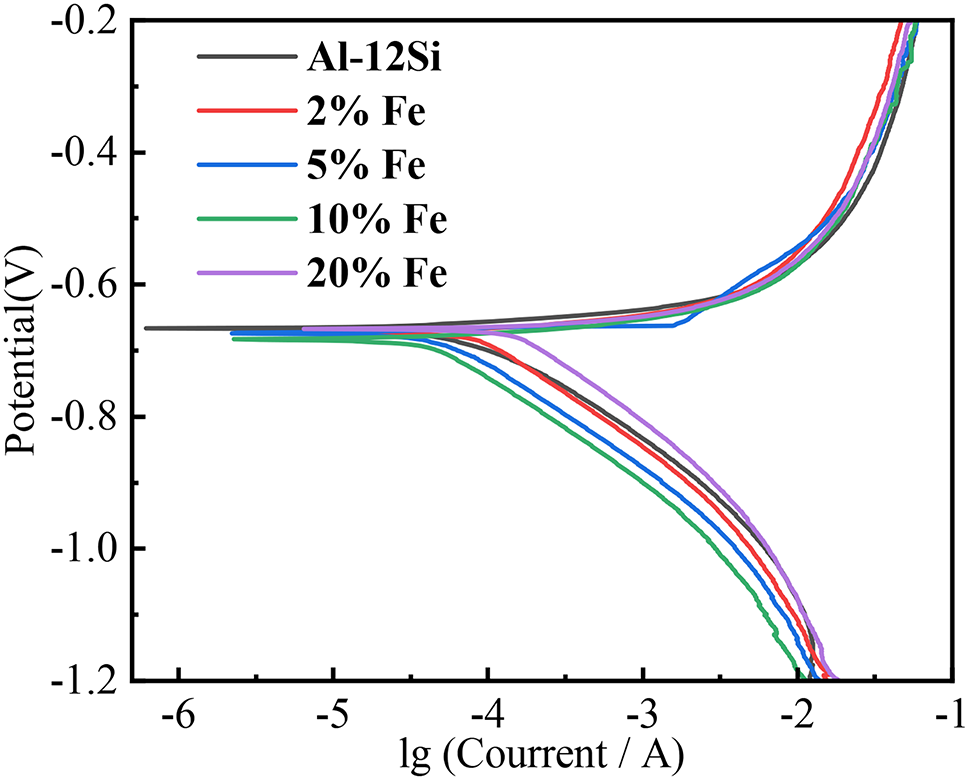
Tafel curves of Al-12Si and FACS.
From: Corrosion behavior of Fe amorphous/Al-12Si piston composites with core-shell structure

Tafel curves of Al-12Si and FACS.