Fig. 6
From: Corrosion behavior of Fe amorphous/Al-12Si piston composites with core-shell structure

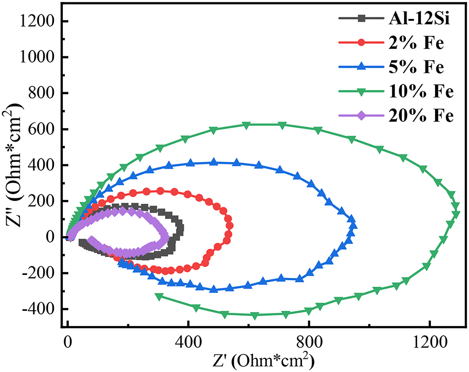
Nyquist plot of Al-12Si and FACS.
From: Corrosion behavior of Fe amorphous/Al-12Si piston composites with core-shell structure

Nyquist plot of Al-12Si and FACS.