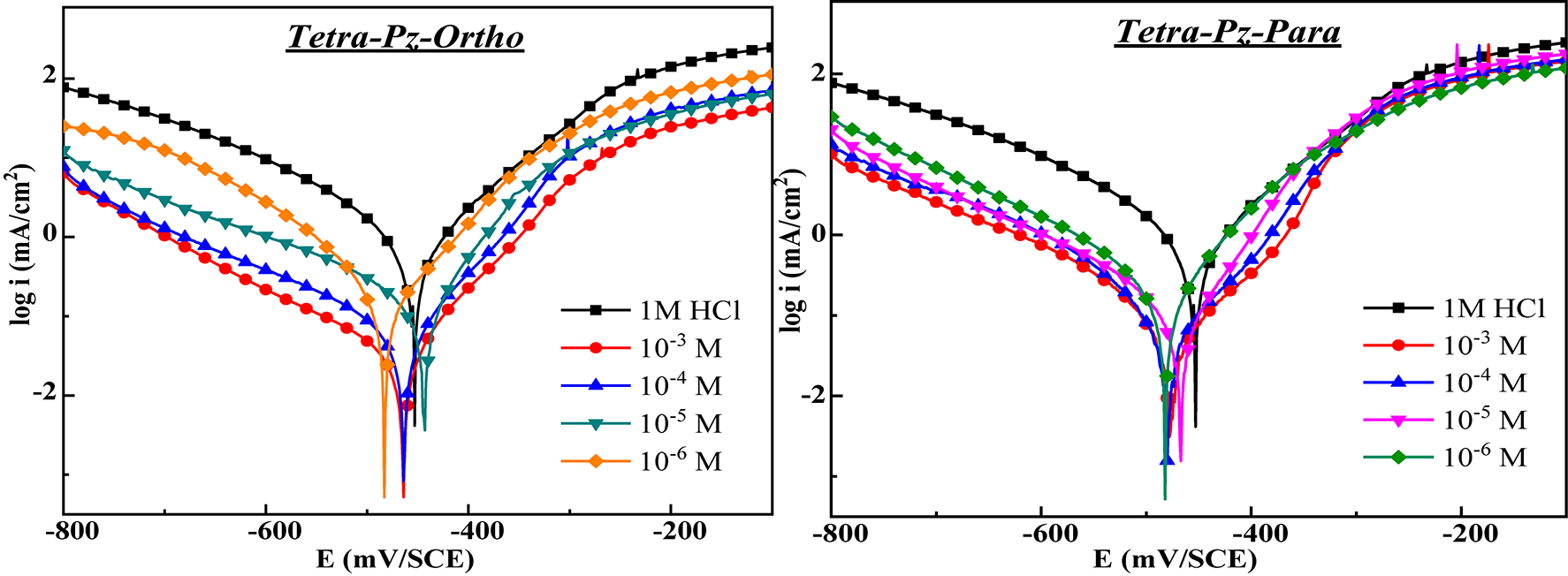
Fig. 4

PDP curves of C&S uninhibited and inhibited with different concentrations of Tetra-Pz-Ortho and Tetra-Pz-Para in 1 M HCl at 303 K.

PDP curves of C&S uninhibited and inhibited with different concentrations of Tetra-Pz-Ortho and Tetra-Pz-Para in 1 M HCl at 303 K.