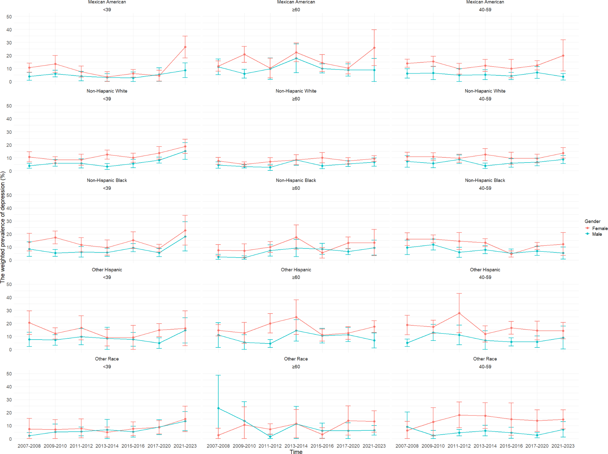
Fig. 3

The weighted prevalence of depression among U.S adults by genders, age groups and races from 2007 to 2023. Note: The 2017–2020 data was a nationally representative data generated by combining data collected from 2019 to March 2020, which suspended field operations in March 2020 due to COVID-19 pandemic, with data from the NHANES 2017–2018 cycle.