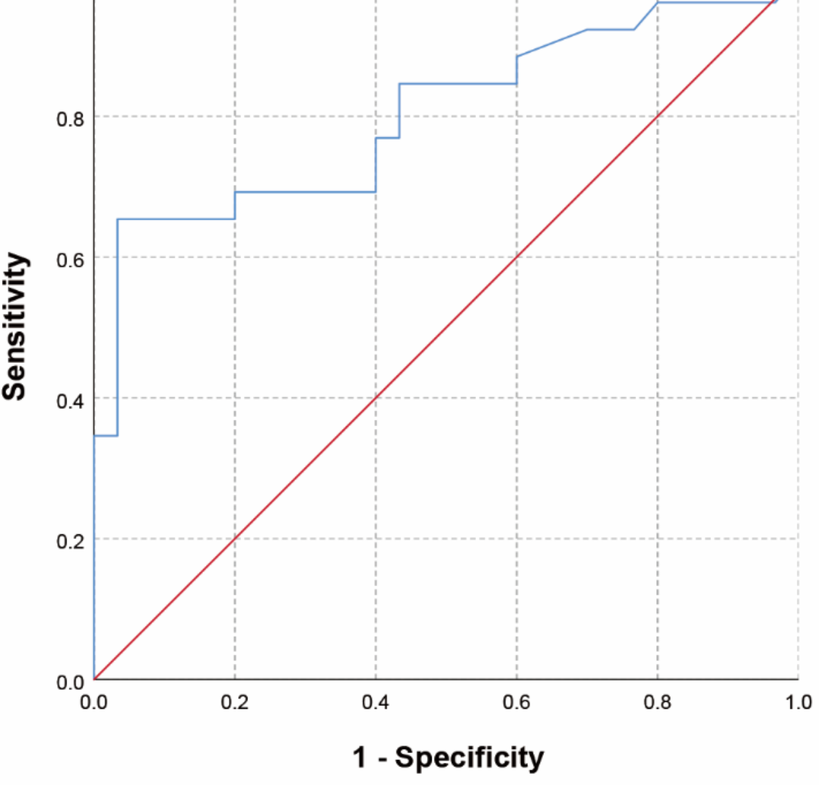
Fig. 4

ROC curve assessing the discriminatory value of D-dimer for poor prognosis in influenza-associated encephalopathy. The horizontal coordinate is the false-positive rate; the vertical coordinate is the true-positive rate; the red 45° diagonal indicates the baseline (minimum standard), and the blue solid line is the constructed ROC curve with an area under the curve (95% confidence interval) of 0.802 (0.680, 0.924), P < 0.001. When D-dimer was ≥ 1.18 mg/L FEU, the sensitivity and specificity for differentiating poor prognosis were 65.4% and 96.7%, respectively. (ROC curve, receiver operating characteristic curve).