Figure 6
From: Graph attention and Kolmogorov–Arnold network based smart grids intrusion detection

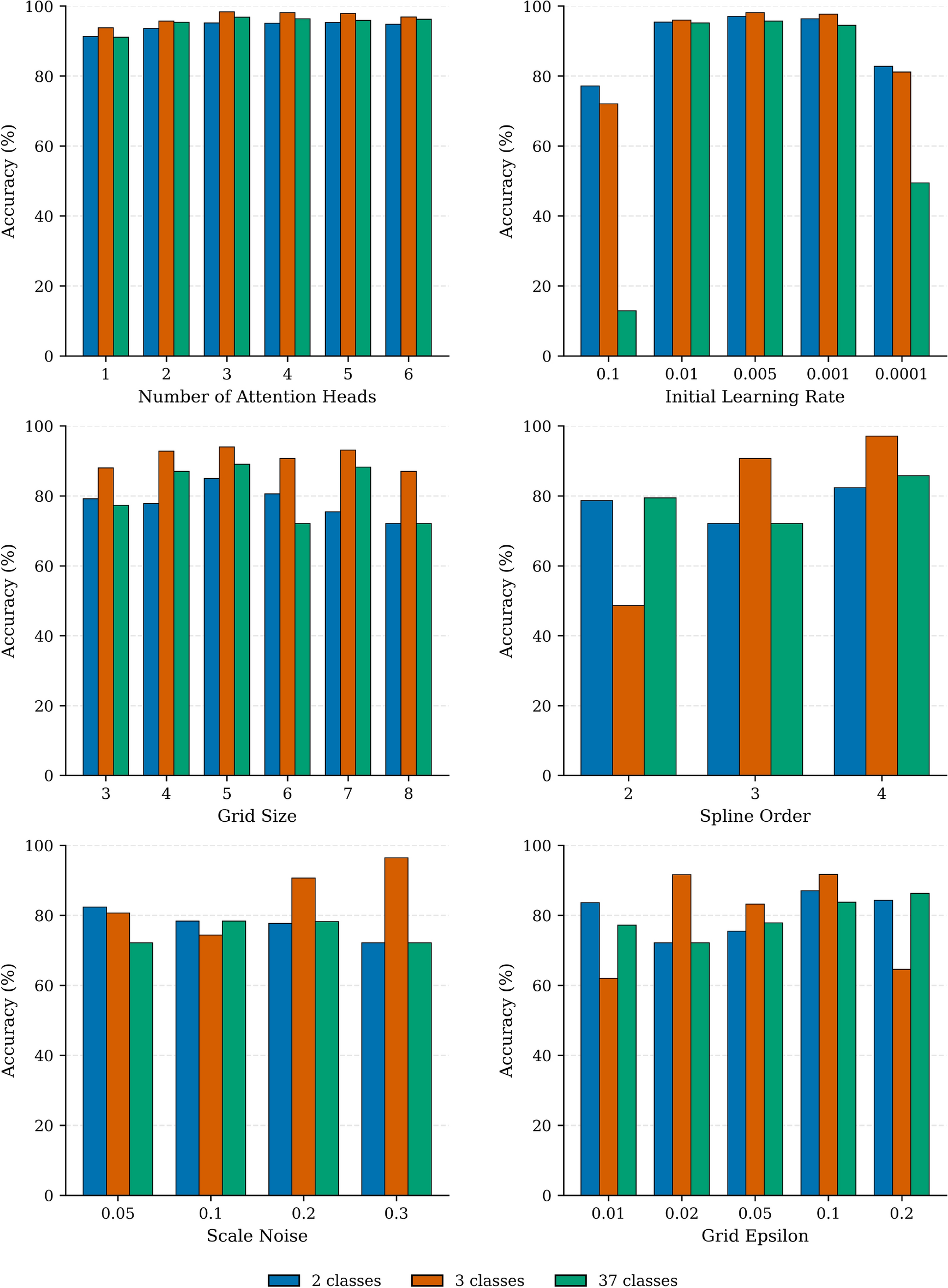
The impact of hyperparameters on the accuracy of the GraphKAN model.
From: Graph attention and Kolmogorov–Arnold network based smart grids intrusion detection

The impact of hyperparameters on the accuracy of the GraphKAN model.