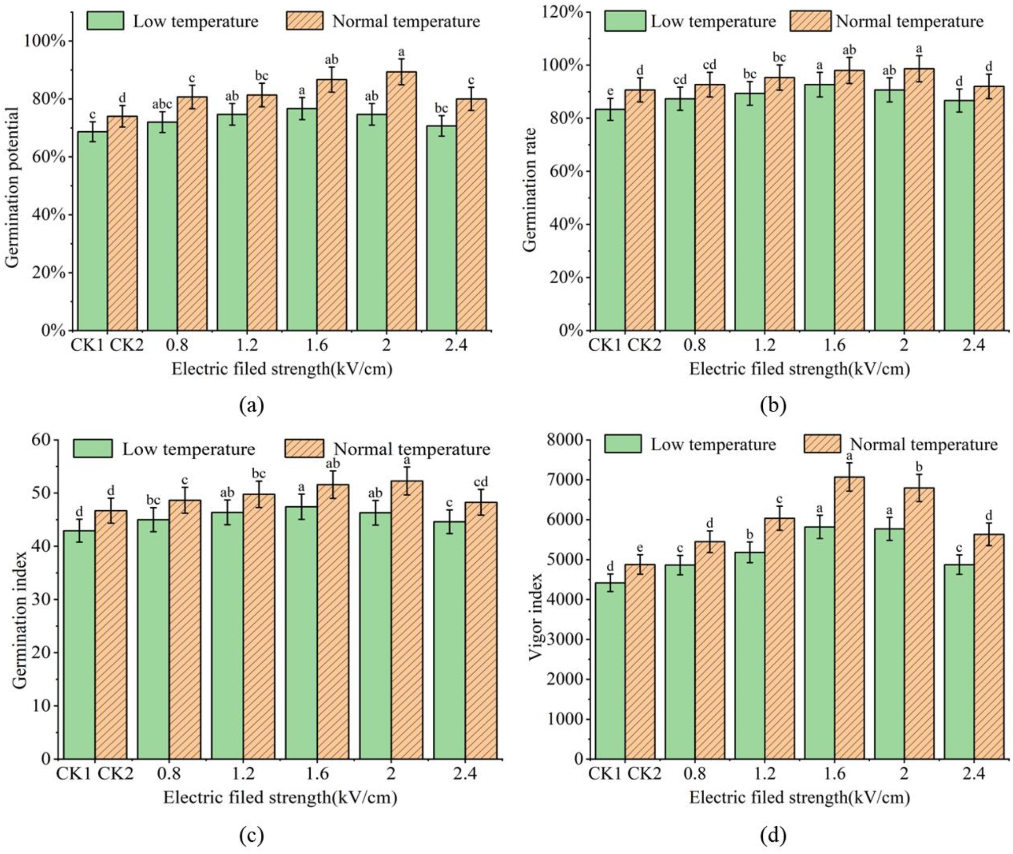
Fig. 2

Effects of chilling injury on germination index of maize seed pretreated with a high-voltage electric field (HVEF). Specifically, the germination potential (a) germination rate, (b) germination index, (c) vigor index, and (d) of maize seeds treated by HVEF varies with the increase of electric field strength under chilling stress. Different lowercase letters indicate significant differences between treatments (P < 0.05).