Abstract
The effect of high-voltage electrostatic field (HVEF) on maize seeds’ resistance to chilling injury remains unclear. This study investigates the chemical and spatial changes induced by HVEF at macroscopic and microscopic levels via the combination of physiological assessments and scanning electron microscopy (SEM). Maize samples were categorized into low and normal-temperature groups. At an HVEF strength of 1.6 kV/cm, all indices in the low-temperature group significantly improved relative to the control (P < 0.01), with germination potential, rate, index, and vigor index increasing by 11.7%, 11.2%, 10.5%, and 31.7%, respectively. Root length, shoot length, and dry weight of maize seedlings rose by 20.3%, 19.2%, and 16.6%. Further analysis revealed a 62.7% increase in soluble sugar content in HVEF-treated seeds and the lowest leaching solution conductivity of 1.6 kV/cm. These results demonstrate that HVEF treatment enhances soluble sugar accumulation during seed germination, regulating osmotic balance within the cells. Furthermore, SEM assessed maize microtissue morphology after chilling injury and HVEF treatment. Optimal HVEF treatment resulted in cell wall expansion, enhanced fiber elasticity, reduced interstitial spaces, and swollen cells, indicating improved hydrophilicity and protease activity. This study offers valuable insights into the mechanisms by which HVEF improves seed performance under low-temperature stress.
Similar content being viewed by others
Introduction
Maize is of paramount importance globally, serving as a cornerstone of food security, economic stability, and agricultural sustainability. As a C4 plant, maize has high-temperature requirements for optimal growth. Imbibition chilling injury can severely impact maize’s growth and development, leading to decreased yields1. Thus, enhancing the chilling resistance of crops is imperative. Chilling injury is particularly prevalent in spring maize when exposed to temperatures ranging from 0 to 10 °C, resulting in reduced seed germination potential and rates, delayed emergence, inhibited seedling growth, and potentially culminating in seed necrosis or wilting2,3.
Implementing appropriate regulatory strategies is essential to mitigate abiotic stress during seed growth and development. Such strategies help seeds adapt to fluctuations in environmental temperatures and are critical for ensuring crop yield stability, maximizing yields, and enhancing chilling resistance4. Research by Zhang et al.5 demonstrated that various seed-soaking solutions significantly improved maize’s capacity to resist low temperatures and chilling injuries. Additionally, Qi et al.6 found that glycine betaine, salicylic acid, and abscisic acid applied during the grain-filling stage enhanced leaf photosynthesis and increased thousand-grain weight, thereby alleviating low-temperature injuries in maize seeds. Franciszek et al.2 reported that salicylic acid application could help maize seedlings accumulate more salicylic acid during their growth, which enhances chilling resistance and mitigates low-temperature impacts. Muhammad et al.7 examined the exogenous application of plant growth regulators to boost chilling resistance in hybrid maize, increase crop yields, and minimize cold stress effects on the physiological and biochemical properties of spring maize.
Currently, chemical regulation methods predominately improve the chilling injury resistance of maize seeds; however, applying chemicals often poses adverse effects on environmental and human health8. In contrast, seed pretreatment using magnetic fields has emerged as a non-invasive technique in agriculture for enhancing seed vigor9. Guo et al.10 investigated the impact of magnetic field pretreatment on maize seedlings, finding significant alleviation of chilling injury effects on seedling growth, enhanced plant height, better root vigor, and improved leaf photosynthetic efficiency. Similarly, Afzal et al.11 demonstrated that magnetic field treatment could enhance the chilling resistance of spring maize through increased chlorophyll content and improved physiological and biochemical characteristics.
The high-voltage electrostatic field (HVEF) treatment presents a pollution-free, efficient, and low-energy seed treatment method capable of positively influencing seed germination, seedling growth, and seed resilience12. Yan et al.13 examined the effects of HVEF treatment on aged cotton seeds, reporting improvements in seed vigor, germination potential, germination rate, germination index, and vigor index under suitable treatment conditions. Moreover, Imani et al.14 found that HVEF treatment resulted in significant increases in root length, seedling length, and fresh weight in alfalfa seeds compared to controls. Huang et al.15 reported that appropriate HVEF pretreatment of wheat seeds elevated soluble protein content in seedlings, enhanced the activities of metabolic and protective enzymes, and ultimately improved chilling resistance. Evrendilek et al.16demonstrated that electric field treatment under salt stress conditions could effectively enhance the germination rate and seedling emergence of corn grains, improving their salt stress resilience. Prior studies have also confirmed that HVEF pretreatment on maize seeds can enhance seed vigor, accelerate germination, and promote seedling growth and development17. However, research focusing specifically on using HVEF treatment to improve seed resistance to chilling injury remains scarce.
Recent advancements in scanning electron microscopy (SEM) have significantly enhanced our understanding of the microstructural changes in grain seeds subjected to chilling injury. SEM has been pivotal in revealing the intricate cellular architecture and surface modifications that contribute to chilling tolerance in various crops18. For example, SEM studies have shown that chilling injury leads to cellular damage characterized by disrupted cell walls and compromised membrane integrity, which adversely affects seed viability19. In the context of high-voltage electrostatic field (HVEF) treatment, preliminary findings suggest that HVEF may improve the structural integrity of seeds, thereby enhancing their resistance to chilling injury. However, the application of SEM to specifically investigate the effects of HVEF on the microstructural resilience of grain seeds against chilling injury remains underexplored20. This lack of focused research underscores the necessity for further SEM studies to elucidate the micro-level mechanisms by which HVEF treatment may bolster chilling tolerance in grain seeds, ultimately contributing to more effective agricultural practices.
In this study, we aim to investigate the effects of HVEF treatment on the chilling tolerance of maize seeds, focusing on physiological, biochemical, and microstructural changes. Specifically, maize seeds were pretreated with different HEVF strengths from 0.8 to 2.4 kV/cm and then put into a sprouting chamber at a low-temperature to simulate chilling injury. The germination experiments were carried out in a sprouting chamber at room temperature. The effect of HVEF pretreatment on maize seed germination indexes (germination potential, germination rate, germination index, and vigor index), seedling indexes (root length, seedling length, and dry matter weight) and physiological indexes (soluble sugar content, conductivity of leaching solution) are studied, and the effect on maize seed cold resistance treated by HVEF was explored. Furthermore, scanning electron microscopy (SEM) was employed to investigate the microstructural changes in maize seeds subjected to chilling stress. This technique allowed for the visualization of cellular damage and morphological alterations, providing insights into the mechanisms by which HVEF pretreatment may enhance chilling resistance in maize seeds.
Materials and methods
Raw material
The maize seeds (Zhengdan 985, moisture content 9.40 ± 0.03%) used in this study were hybrid seeds derived from parental lines and produced in Shouguang City, Shandong, China, in 2019. Before the experiments, the seeds were stored at room temperature in a dry place. Undamaged and full-grained seeds were manually selected.
Experiment device
In this study, the HVEF seed treatment device is mainly composed of a high-voltage power supply (self-developed by the Mechanical and Electrical Engineering, Shandong Agricultural University, China), arc-shaped electrodes, a high-voltage probe (Tektronix P6015A, Tektronix Inc., USA), oscilloscopes (Tektronix TDS1012B-SC, Tektronix (China) Inc, China) and a grounded flat electrode. The voltage output range of the power supply was continuously adjustable from 4 kV to 12 kV. The schematic diagram and the physical diagram of the electrostatic field seed treatment device are shown in Fig. 1a and b. The seed treatment device installed 10 prick electrodes, each with a thickness of 0.6 mm. The distance between every two electrodes was 24 mm, the gap between the tip of the arc-shaped electrode and the plate electrode was 50 mm, and the size of the plate electrode was 240 mm × 400 mm21.
Experiment methods
High-voltage electric field (HVEF) treatment
The entire experiment was conducted on two sets of seeds; one set was subjected to chilling temperature and the other at normal temperature. The control group of chilled seeds at low-temperature was recorded as control group 1 (CK1), and the control group of seeds at normal-temperature (without chilling injury in seeds) was recorded as control group 2 (CK2), the seeds of CK1 and CK2 were not treated with HVEF. The HVEF treatment on maize seed is carried out in a laboratory at a temperature of 25℃ ± 2 °C and a relative humidity of 30% ± 3%. The selected maize seeds are randomly divided into 12 groups, each group with 3 repetitions, and each repetition with 50 seeds. According to the laboratory research basis and the pre-test results21, it was found that the germination indexes and seedling indexes of maize seeds were satisfied when the HVEF treatment time was 3 min. Therefore, in order to explore the optimal field strength that can improve the ability of maize seeds, the gradient electrostatic field strength of 0.8, 1.2, 1.6, 2.0, and 2.4 kV/cm was set under the premise of a processing time of 3 min. The CK1 and CK2 were sealed and stored in a dry environment and at room temperature, and the seed germination experiment was carried out within 4 h after the seeds were pretreated with HVEF.
Germination test
The seeds of the HVEF treatment groups, the CK1, and CK2 were respectively disinfected in electrolyzed functional water for 15 min, and then rinsed with distilled water. Afterward, the seeds were placed on the sand bed evenly, and the standard germination experiment was carried out in the sprouting chamber at Shandong Agricultural University. Low-temperature chilling injury treatment on seeds was carried out in the sprouting chamber at the temperature of 3℃, the humidity at 85% RH, in the dark state for 24 h. The low-temperature treatment group and the normal-temperature group were carried out for germinating at 25℃ and 85% RH for 168 h in the sprouting chamber.
An appropriate amount of water was sprayed daily, to keep the sand bed moist. The number of seeds germinated and seedling length were recorded daily until the completion of germination on the seventh day. After the germination was over, sand was washed away from maize seedlings with distilled water, and the numbers of the ungerminated seeds, the abnormal seedlings, and the normal seedlings were recorded (GB/T 3543.4–1995)22. All the measurement indexes were calculated by average value. 25 seedlings were randomly selected from each repetition to measure root length, seedling length, and dry weight. Finally, the germination indexes of each group were calculated, including germination potential, germination rate, germination index, and vigor index. The formulas (1), (2), (3), and (4) are shown as follows23:
where GE is the germination potential, %; G3 is the germination number of maize seeds on the third day, pcs; GP is germination rate, %; G7 is the germination number of maize seeds at the end of the seventh day, pcs; GI is the germination index; Dt is germination days, d; Gt is the number of seed germination per day corresponding to Dt, pcs; VI is the vigor index of maize seeds; S is the average length of maize seedling, mm.
Surface morphologies alteration of maize kernels treated with HVEF after chilling injury
The microstructure of maize kernels treated with HVEF under normal and low-temperature conditions was observed using a Zeiss LSM880 confocal laser scanning microscope (LSM880, Zeiss, Oberkochen, Germany). Observations were carried out at an accelerating voltage of 15 kV. This study involves scanning maize seeds that have been subjected to an electrostatic field treatment, alongside those in the control groups CK1 and CK2, all of which were incubated for 24 h under their respective designated conditions. Before the experiment, the samples to be tested were coated with gold for 60 s at a current of 15 mA using a vacuum sputter coater. Finally, the microscopic morphology of embryo and endosperm cross sections of maize kernels treated by normal-temperature control group CK2, low-temperature control group CK1, and optimal high voltage electrostatic field were observed.
Water absorption test
Three dry seeds from each group were precisely weighed using an electronic balance accurate to four decimal places. The initial weight of each seed was recorded as M0. The seeds were then individually placed in test tubes containing 20 ml of water for 24 h to absorb water. After soaking, the surface moisture of the seeds was dried with filter paper. The final weight of each seed was measured and recorded as M1. The water absorption rate (WAR%) was calculated using the following formula:
Determination of physiological index
Contents of soluble sugar were determined using a plant-soluble sugar detection kit (A145, Nanjing Jiancheng Bioengineering Institute, Nanjing, China), the detection principle of the kit was the anthrone colorimetric method24. The absorbance value of the sample reagent at the wavelength of 620 nm was measured by an ultraviolet and visible spectrophotometer (UV-2600, Shimadzu Corporation, Kyoto, Japan).
Further, the conductivity of the seed leachate was measured. Specifically, the complete maize seeds pretreated with different HVEF strengths were picked out, 10 g for 1 repetition, and 3 repetitions for each group. After rinsing, each sample group was placed in a clean beaker and 100 ml of deionized water was added. The beaker was sealed and placed in a 3 °C (or 25 °C) intelligent artificial climate chamber for 24 h. The samples after chilling treatment were taken out and the maize extract was fully stirred with a glass rod, afterward, the electrodes of the desktop conductivity meter (DDS-307, Shanghai Yueping Scientific Instrument Co., Ltd., Shanghai, China) were placed in the maize seed extract to measure the conductivity. The test steps were repeated, with clean deionized water as the control group, and all test determinations were completed.
Data analysis
The study has two factors (two stress conditions and six HVEF strengths) compared with each other. A complete randomized block design with three replicates was used to evaluate the effects of the various seed treatments on the tested maize seeds. The data were presented using mean\(\:\pm\:\)standard deviation, and the statistical significances were determined according to Duncan’s multiple range test. The statistical analyses were performed using IBM SPSS statistics version 23 (SPSS, Inc., Chicago, IL, USA) and Origin 2021.
Results
Effect of chilling injury on germination indexes of maize seeds pretreated with HVEF
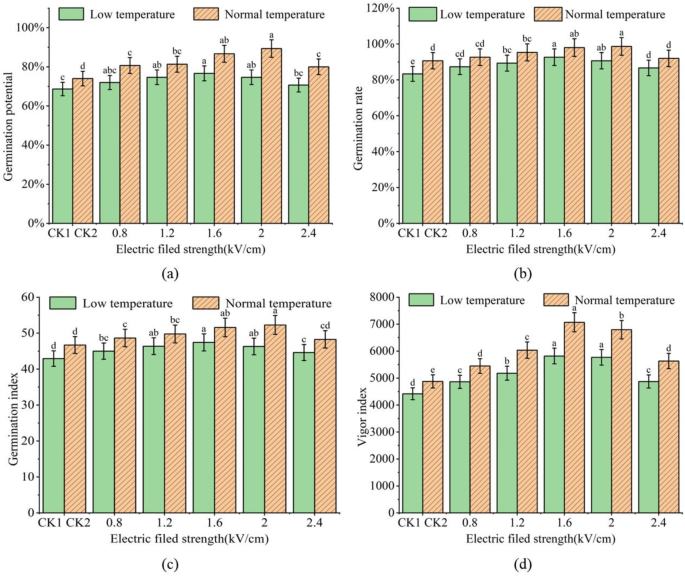
To explore the effects of HVEF treatment in improving maize seeds’ ability to resist chilling injury, the germination indicators of maize seeds with incremental HVEF strength treatment at low-temperature and normal-temperature conditions are shown in Fig. 2 (a-d). It can be seen from the figure that the germination indexes (germination potential, germination rate, germination index, and vigor index) of pretreated samples were all in line with the trend of increase first and then decrease.
For the normal-temperature group, the four germination indexes of HVEF pretreated samples all exceeded 78%, 90%, 48.0, and 4946.0, respectively, outperforming CK2. Specifically, the optimal values of germination potential, germination rate, and germination index were obtained when the electrostatic field strength was 2.0 kV/cm, with increases of 20.7%, 8.8%, and 12.0% compared with the CK2. Correspondingly, the vigor index peaked at 1.6 kV/cm, improving by 45.0%. Furthermore, a comparison of germination indicators between CK1 and CK2 revealed a significant decline in maize seeds’ performance under the action of low-temperature chilling injury. The germination index values for CK2 were higher than those of CK1 by 7.8%, 8.8%, 8.8%, and 10.4%, respectively, with statistically significant differences (P < 0.01). It indicated that chilling stress seriously inhibits seed germination performance. Furthermore, for the low-temperature group, the pretreated samples surpassed CK1 across all four germination indexes. Interestingly, the optimal electrostatic field strength for all indicators was 1.6 kV/cm, differing from the normal-temperature group. This may be due to the fact that chilling injury induction changes the molecular conformation of maize seeds so that the optimal germination rate can be catalyzed by relatively lower electrostatic field intensity. On the other hand, the four germination indexes corresponding to the optimal electrostatic field intensity were increased by 11.7%, 11.2%, 10.5%, and 31.7% compared with CK1, respectively. Then, a performance comparative analysis of the pretreated samples in normal and low temperatures was conducted. Under five gradient incremental electrostatic fields ranging from 0.8 to 2.4 kV/cm, the germination index of the low and the normal-temperature groups both have received a qualitative improvement.
In summary, chilling stress can severely inhibit the seed germination index, if the seeds were pretreated with an appropriate HVEF, the bio-electromagnetic effect produced could effectively reduce the chilling injury in seeds, and the germination index of seeds suffered chilling injury could reach or exceed the germination index of the CK2.
Improvement of seedling indexes of maize seeds with HVEF treatment after chilling injury
Studies indicate that chilling injury significantly impairs the growth and development of maize seeds, leading to uneven seedling growth and reduced quality, with severe cases resulting in seedling death (Miedema et al., 1982). According to Chap. 3.1, the germination index of maize seeds treated with 1.6 kV/cm electrostatic field strength was performed well. Therefore, the seedling growth status of seeds and CK1 under chilling stress was further explored, as shown in Fig. 3. When the seeds were cultured for 72 h, pretreated seeds exhibited faster growth of main and lateral roots, while CK1 seeds showed poor performance, with minimal germination. At 120 h, CK1 seedlings had thin, short stems and undeveloped, narrow cotyledons. In contrast, pretreated samples demonstrated uniform cotyledon expansion, wider leaf surfaces, and robust main and lateral roots. By 168 h, pretreated samples continued to grow evenly, with fully expanded cotyledons and thicker, longer stems and roots compared to CK1. Thus, electrostatic field treatment enhances seed vigor and chilling resistance.
Furthermore, the growth status of maize seeds treated with different field strengths at 168 h was compared and analyzed. In the low-temperature group, CK1 maize seedlings exhibited thin, short main roots and stems, few lateral roots, and overall poor growth. In contrast, pretreated samples showed thicker and longer main roots and stems, more lateral roots, wider leaves, and uniform growth (Fig. 4a). In the normal-temperature group (Fig. 4b), seedlings treated with the electrostatic field displayed thick, long roots and stems, increased lateral roots, wider and darker leaves, indicating better overall growth. Notably, the growth of pretreated samples in the low-temperature group was significantly enhanced compared to CK1 and approached that of CK2. Thus, under chilling stress, maize seeds treated with an appropriate electrostatic field can achieve growth comparable to or exceeding that of CK2, promoting seedling development and enhancing chilling resistance.
The effects of chilling injury on the seedling indexes (root length, seedling length, and dry matter) of pretreated samples were statistically analyzed. The results of maize seedling indexes are shown in Fig. 5(a-c). In the normal-temperature group, pretreated samples exhibited root lengths, seedling lengths, and dry matter exceeding 139.00 mm, 105.00 mm, and 21.01 g, respectively. Notably, these indexes showed significant differences from CK2 at electrostatic field strengths of 1.6, 2.0, and 2.4 kV/cm (P < 0.01), with the most pronounced improvements observed at 1.6 kV/cm. In contrast, CK1 exhibited reductions of 5.77 mm, 1.53 mm, and 1.57 g in these indexes after chilling injury compared to CK2, indicating a highly significant difference (P < 0.01), and confirming that chilling stress inhibits healthy seedling growth. Continuing the analysis in the low-temperature group, HVEF pretreated samples demonstrated significant improvements, with indexes exceeding 133.10 mm, 21.71 mm, and 3.14 g, all higher than CK1. Notably, all three seedling indexes reached their maximum values at an HVEF strength of 2.0 kV/cm. Figure 5d shows the daily seedling length data of maize seeds. During the early germination phase (72 h), the plumule length of maize seeds treated with electric fields was significantly enhanced. The 1.6 kV/cm treatment under normal-temperature conditions resulted in a 94% increase compared to CK2, while the 2.0 kV/cm treatment under low-temperature conditions showed a 100% increase compared to CK1. As the cultivation period progressed, the seedling length under electric field treatment in the low-temperature group remained consistently higher than that of CK1, while the seedling length under electric field treatment in the normal-temperature group remained consistently higher than that of CK2.
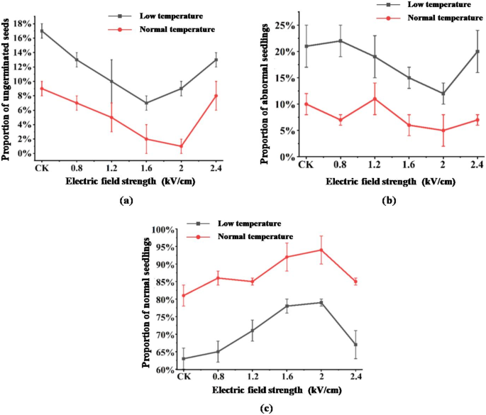
Additionally, the proportions of ungerminated seeds (Fig. 6a), abnormal seedlings (Fig. 6b), and normal seedlings (Fig. 6c) were examined in both the low and normal-temperature groups. In the normal-temperature group, electrostatic field strengths of 1.6 and 2.0 kV/cm significantly reduced the proportion of ungerminated and abnormal seedlings compared to CK2, while the number of normal seedlings increased significantly. Specifically, at 2.0 kV/cm, ungerminated seeds and abnormal seedlings decreased by 8% and 5%, respectively, while normal seedlings increased by 13%. In the low-temperature group, electrostatic field strengths of 1.6 and 2.0 kV/cm led to a significant reduction in ungerminated and abnormal seedlings compared to CK1, with a notable increase in normal seedlings. At 1.6 kV/cm, the proportion of ungerminated seeds was 9% lower than CK1, and at 2.0 kV/cm, the occurrence of abnormal seedlings decreased by 9%, while normal seedlings increased by 16% compared to CK1.
Dynamic changes of physiological indicators of maize seeds pretreated with HVEF under chilling injury
To further analyze the impact of different electrostatic field strengths on the vigor of maize seeds, we investigated the biological effects of the electrostatic field by examining the soluble sugar content and the conductivity of the leaching solution. Additionally, we explored the effect of electrostatic field treatment on chilling injury resistance. The soluble sugar content in maize seeds subjected to chilling injury under various electrostatic field intensities is presented in Fig. 7(a). As the electrostatic field strength increased from 0.8 kV/cm to 1.6 kV/cm, the soluble sugar content gradually rose. However, at 2.4 kV/cm, the soluble sugar content began to decline. The optimal electrostatic field strength for maximizing soluble sugar content was found to be 1.6 kV/cm, with a value of 36 mg/g, which is 16 mg/g higher than CK1. Significant differences in soluble sugar content were observed at 1.2 kV/cm, 1.6 kV/cm, and 2.0 kV/cm compared to CK1 (P < 0.01), and a significant difference was also noted at 2.4 kV/cm (P < 0.05).
Furthermore, we analyzed the variation in conductivity of the leaching solution with electrostatic field strength in normal-temperature groups, as shown in Fig. 7(b). As the electrostatic field strength increased from 0.8 kV/cm to 2.4 kV/cm, it exhibited a trend of decreasing and then increasing. Notably, at 1.6 kV/cm, the conductivity of the seed-leaching solution reached its lowest point, corresponding to the highest soluble sugar content. In the normal-temperature group, the minimum conductivity was 7.80 µS/(cm·g), a reduction of 22.8% compared to CK2. These results indicate that appropriate electrostatic field strength treatment effectively reduced the conductivity of the leaching solution in maize seeds. With a treatment time of 3 min at an electrostatic field strength of 1.6 kV/cm, the electrostatic field treatment provided the best repair effect on the cell membrane. Under fixed temperature and treatment time conditions, the conductivity of the seed leachate was significantly lower than that of the control group when maize seeds were treated with various electrostatic field intensities. This suggests that during the soaking process, electrostatic field treatment resulted in a uniform seed imbibition rate, minimal cell structure damage, and allowed cells to gradually achieve a hydrated state conducive to germination.
Effect of HVEF on water absorption of maize seeds
The water absorption rate of maize seeds from both the low-temperature and normal-temperature groups treated with HVEF is shown in Fig. 8. The results indicated that, as the electrostatic field strength increased, the water absorption rate of the seeds initially rose and then decreased, a trend consistent with the germination and seedling growth indices. For maize seeds subjected to chilling stress, the water absorption rate was significantly enhanced after electrostatic field treatment. This suggested that electrostatic field treatment can effectively promote the water absorption rate, increase hydrophilicity, and facilitate rapid germination.
Surface morphologies alteration of maize seed in response to chilling injury and HVEF using SEM
To illustrate the changes in the surface morphology of maize seeds before and after electrostatic field treatment and low-temperature exposure, scanning electron microscopy (SEM) was employed. Following water absorption, the seeds activate internal enzymes and metabolic processes, leading to the breakdown of stored nutrients such as starch and proteins25. SEM analysis after 24 h of incubation revealed significant changes in the internal structure of the maize seeds. The endosperm starch granules of seeds subjected to chilling stress (Fig. 9b) displayed notable shrinkage compared to those under normal-temperature conditions (Fig. 9a), with increased gaps between the granules, as indicated by the yellow dashed lines26. A similar trend was observed in the embryo tissue, where chilling-stressed seeds (Fig. 9e) exhibited larger boundary gaps than those at normal temperatures (Fig. 9d). Interestingly, comparing the starch granules of maize seeds incubated at low temperatures after HVEF treatment (Fig. 9c) to those under chilling stress without HVEF (Fig. 9b) revealed reduced gaps in the HVEF-treated seeds, resembling those of CK2. The boundary gaps in the embryo tissue were also diminished. This reduction may be attributed to increased hydrophilicity of the seeds post-HVEF treatment, facilitating greater water absorption during incubation, thereby enhancing cell wall expansion and fiber elasticity, resulting in turgid cells27.
The schematic diagram (a) and the physical diagram (b) of the high-voltage electric field (HVEF)seed treatment device. In Fig. 1, number 1 refers to high-voltage power supply, number 2 refers to arc-shaped prick electrodes, number 3 refers to high voltage probe, number 4 refers to oscilloscope, number 5 represents to grounded plate electrode, and number 6 represents to maize seeds.
Effects of chilling injury on germination index of maize seed pretreated with a high-voltage electric field (HVEF). Specifically, the germination potential (a) germination rate, (b) germination index, (c) vigor index, and (d) of maize seeds treated by HVEF varies with the increase of electric field strength under chilling stress. Different lowercase letters indicate significant differences between treatments (P < 0.05).
Seedling growth diagram of maize seeds under chilling stress without (a) or with (b) proper electric field treatment at different growth stages. Specifically, the appropriate field strength shown in Fig. 3 was 1.6 kV/cm, and the seed germination and growth stages correspond to 72 h, 120 h, and 168 h.
Seedling growth map of low-temperature group (a) and normal-temperature group (b) of maize seeds cultivated for 168 h treated by typical strength electric field. Only the typical seedling growth maps of 1.6 kV/cm, 2.0 kV/cm, and control groups were shown in the diagram, and the growth of seedlings gradually deteriorated from left to right.
Effect of electric field treatment of maize seeds on seedling indexes under chilling injury. Specifically, (a), (b), and (c) represented root length, seedling length, and dry matter weight, respectively. Different lowercase letters indicate significant differences between treatments (P < 0.05).
Proportion analysis of different germination status of maize seeds treated by electric field under chilling stress. Specifically, (a) corresponds to the proportion of ungerminated seeds, (b) displays the proportion chat of abnormal seedlings, and (c) represents the proportion of normal seedlings.
The effects of electric field treatment on physiological indexes in maize seeds. Specifically, (a) chilling injury on soluble sugar content, (b) conductivity of leaching solutions. Different lowercase letters indicate significant differences between treatments (P < 0.05).
Changes in water absorption of maize seeds after HVEF treatment (Different letters indicate statistically significant differences between treatments (p < 0.05)).
The SEM microscopic morphology of endosperm (a-c) and embryo (d-f) cross-sections of maize kernels treated by normal-temperature control group CK2 (a, d), low-temperature control group CK1(b, e) and optimal high voltage electrostatic field (e, f).
Discussion
An electrostatic field is a crucial environmental factor for plant growth and development28. Prior to sowing, the internal positive and negative charges of seeds are disordered and can be considered inert. Once sown, these charges gradually align under the influence of the natural electrostatic field, promoting germination and growth in response to external conditions29. During germination, the phospholipid molecular conformation of the seed cell membrane rapidly transitions from a hexagonal crystal to a bilayer structure, shifting the membrane phase from gel to liquid crystal state, thereby restoring selective permeability30. However, if seeds experience chilling injury during this process, the water potential difference between the interior and exterior of the cell increases the likelihood of membrane damage31. The HVEF seed treatment technology enhances this process by quickly organizing the internal charges under a much stronger electrostatic field than that of nature, promoting growth32,33. At the microscopic level, this treatment alters the biological membrane potential within the seed, facilitating the movement of lipid polar end groups and inducing a phase transition in the membrane34. Consequently, cell membrane phospholipid molecules return rapidly to a hydrated state, increasing membrane permeability and reducing damage35.
Based on the above theoretical framework, it can be inferred that seeds treated with high-voltage electrostatic fields (HVEF) exhibit earlier, fuller, and more uniform emergence compared to untreated seeds under the natural electrostatic field. In this experiment, the germination potential, rate, index, and vigor index of pretreated samples were significantly enhanced relative to the control group, supporting this hypothesis. Furthermore, under low-temperature stress, all indices initially increase with rising electrostatic field strength before declining after reaching a maximum. The optimal electrostatic field strength for HVEF treatment of maize seeds was determined to be 1.6 kV/cm, at which point the germination potential, rate, index, and vigor index increased by 11.7%, 11.2%, 10.5%, and 31.7%, respectively, compared to the control group, with significant differences (P < 0.01). These results demonstrate that appropriate HVEF treatment mitigates damage to the seed membrane system caused by imbibition and chilling injury, enhancing cell membrane permeability. This aligns with the findings by Cheng, et al.36. The treatment improved the seeds’ tolerance to rapid imbibition and their germination vigor under chilling conditions, thereby enhancing chilling resistance. Additionally, SEM images of maize seed slices showed reduced gaps between starch granules in pretreated samples after chilling injury, a phenomenon also observed in embryo tissues. This reduction may be attributed to the optimal electrostatic field treatment enhancing the seeds’ hydrophilicity and enzyme activity, thereby accelerating metabolic processes.
Early studies have demonstrated that chilling injury significantly impairs the germination and development of maize seeds, leading to uneven seedling growth, compromised quality, and, in severe cases, seedling mortality37. Notably, chilling injury adversely affects root structure and leaf morphology, resulting in slower root growth, more complex primary and lateral root structures, and reduced dry matter accumulation38,39. In this experiment, the root length, seedling length, and dry matter weight of pretreated samples after chilling injury increased by 20.3%, 19.2%, and 16.6%, respectively, compared to the control group. As the electrostatic field strength increased from 0.8 kV/cm to 2.4 kV/cm, the effects on seedling indices initially rose before declining, with optimal results observed at 1.6 kV/cm. These findings suggest that appropriate HVEF treatment enhances root water and nutrient absorption and actively regulates the internal physiological metabolism of seeds. Consequently, root activity in the seedlings improved, leading to longer primary roots, denser lateral roots, and thicker stems, thereby promoting overall seedling growth and development.
Under low-temperature stress, the physiological and biochemical properties of maize seeds change, necessitating an investigation into the impact of high-voltage electrostatic fields on their chilling injury resistance through physiological indices such as soluble sugar content Soluble sugars serve as crucial osmotic regulators, maintaining cell turgor and mitigating chilling injury damage40. This study indicates that appropriate electrostatic field treatment promotes soluble sugar accumulation in maize seeds. During germination, soluble sugar content increased by 62.7% and remained elevated, balancing osmotic pressure across cell membranes, facilitating normal metabolic processes, and enhancing chilling resistance.
Conclusions
This study investigated the effects of high-voltage electrostatic field (HVEF) treatment on maize seeds subjected to chilling stress, focusing on germination, seedling growth, and microstructural changes. The germination index, seedling index, and physiological parameters were evaluated to elucidate the mechanisms by which HVEF enhances chilling stress resistance. Scanning electron microscopy (SEM) was employed for microstructural analysis.
(1) Impact on Germination and Seedling Indices: HVEF treatment significantly improved the germination and seedling indices of chilled maize seeds, effectively reducing the inhibitory effects of chilling and enhancing seed vigor. Optimal results were observed with a 3-minute treatment at an electrostatic field strength of 1.6 kV/cm, yielding significant differences from the control group (P < 0.01).
(2) Effects on Soluble Sugar Accumulation and Conductivity: HVEF treatment promoted the accumulation of soluble sugars and reduced the conductivity of seed extracts. This altered the membrane potential, enhanced permeability, and minimized energy loss within the cells.
(3) Microstructural Changes Observed by SEM: SEM analysis revealed significant microstructural alterations in maize embryos and endosperms following chilling injury and HVEF treatment. Low-temperature-treated kernels displayed starch granule shrinkage and enlarged interstitial spaces, alongside contraction in the embryos. These findings confirm the potential of HVEF treatment to mitigate the adverse effects of chilling stress on maize seed microstructure.
The findings underscore the potential of HVEF as an effective pre-sowing treatment to promote seed germination and enhance stress tolerance, particularly under low-temperature conditions, demonstrating its practical significance for improving crop cultivation in challenging environmental conditions.
Data availability
Data is provided within the manuscript or supplementary information files.
References
Soualiou, S., Duan, F. Y., Li, X. & Zhou, W. B. Crop production under cold stress: an understanding of plant responses, acclimation processes, and management strategies. Plant. Physiol. Biochem. 190, 47–61. https://doi.org/10.1016/j.plaphy.2022.08.024 (2022).
Franciszek, J., Britta, M. & Karl, D. Importance of abscisic acid for chilling tolerance of maize seedlings. J. Exp. Bot. 159, 635–643. https://doi.org/10.1078/0176-1617-0638 (2002).
Canak, P., Mirosavljevic, M., Ciric, M., Keselj, J. & Mitrovic, B. Effect of seed priming on seed vigor and early seedling growth in maize under optimal and suboptimal temperature conditions. Selekcija I Semenarstvo. 22, 17–25. https://doi.org/10.5937/SelSem1601017C (2016).
Chen, H. Y. Effects of exogenous silicon on physiological and biochemical characteristics of rice under low-temperature stress at seedling stage. Northeast Agric. Univ. 2-6 (2018). https://doi.org/CNKI:CDMD:2.1018.091202
Zhang, X., Gao, Z. H., Han, Z. P., Zhang, P. & Wang, P. Effect of different soaking agent on germination characteristics of maize seed under low-temperature stress. Seed 37, 12–17. https://doi.org/10.16590/j.cnki.1001-4705.2018.09.012 (2018).
Qi, L. F. et al. Effects of chemical regulation on maize photosynthesis and yield under low-temperature stress during grain filling stage. J. Maize Sci. 21, 52–56. https://doi.org/10.13597/j.cnki.maize.science.2013.03.012 (2013).
Muhammad, A. W., Imran, K., Muhammad, J. A., Mehmood, A. N. & Umair, A. Exogenous application of plant growth regulators (PGRs) induces chilling tolerance in short-duration hybrid maize. Environ. Sci. Pollut Res. 24, 11459–11471. https://doi.org/10.1007/s11356-017-8768-0 (2017).
Jin, S. Q. & Fang, J. Environmental impact and health hazards of pesticide-scientific evidence and reduction control suggestions. Environ. Prot. 44, 34–38. https://doi.org/10.14026/j.cnki.0253-9705.2016.24.005 (2016).
Sunita, K., Lokesh, B. & Guruprasad, K. N. Pre-treatment of seeds with static magnetic field improves germination and early growth characteristics under salt stress in maize and soybean. Biocatal. Agric. Biotechnol. 10, 83–90. https://doi.org/10.1016/j.bcab.2017.02.010 (2017).
Guo, Z. S. et al. Effects of magnetic field on maize seedling growth and photosynthesis under cold stress. J. Henan Agric. Univ. 47, 241–244. https://doi.org/10.16445/j.cnki.1000-2340.2013.03.016 (2013).
Afzal, I., Noor, M. A., Bakhtavar, M. A., Ahmad, A. & Haq, Z. Improvement of spring maize performance through physical and physiological seed enhancements. Seed Sci. Technol. 43, 238–249. https://doi.org/10.15258/sst.2015.43.2.02 (2015).
Sun, S. et al. Study on the effect of different high-voltage electric field polarization process parameters on the vitality of dried Chili pepper seeds. Sci. Rep. 14, 7223. https://doi.org/10.1038/s41598-024-57978-z (2024).
Yan, Y. F., Han, S. Q., Zhou, S. X., Song, Z. & Wang, J. Parameter optimization on improving aged cotton seeds vigor by extremely low frequency high voltage pulsed electric field. Trans. Chin. Soc. Agric. Eng. 33, 301–307. https://doi.org/10.11975/j.issn.1002-6819.2017.22.039 (2017).
Imani, S. The effect of electric field on the germination and growth of Medicago sativa, as a native Iranian alfalfa seed. Acta Agric. Serb. 17, 105–115. https://doi.org/10.1209/0295-5075/24/2/002 (2012).
Huang, H. Y., Du, N. & Han, Z. Effect of wheat seedling cold resistance through pretreatment of seeds with high voltage electrostatic field. Seed 35, 24–26. https://doi.org/10.16590/j.cnki.1001-4705.2016.08.024 (2016).
Evrendilek, G. A., Atmaca, B. & Uzuner, S. Corn processing by pulsed electric fields with respect to microbial inactivation and improvement of seed vigour. Comput. Electron. Agr. 219, 108830. https://doi.org/10.1016/j.compag.2024.108830 (2024).
Sun, Y. C. et al. Effects of high voltage prick electrostatic fields on sprouts of corn seeds. J. Northeast Normal Univ. (Nat Sci. Ed). 38, 84–86. https://doi.org/10.3321/j.issn:1000-1832.2006.01.019 (2006).
Huang, H. & Wang, L. Alteration of surface morphologies and chemical composition of cuticle in response to chilling injury in papaya (Carica papaya L.) after harvest. Food Chem. 416, 135751. https://doi.org/10.1016/j.foodchem.2023.135751 (2023).
Acosta-Ramírez, C. I. et al. A comprehensive study from the micro- to the nanometric scale: evaluation of chilling injury in tomato fruit (Solanum lycopersicum). Food Res. Int. 176, 113822. https://doi.org/10.1016/j.foodres.2024.113822 (2024).
Yang, C. et al. Effects of high voltage pulsed electric field on structural properties and immune reactivity of arginine kinase in Fenneropenaeus chinensis. Food Chem. 44, 139304. https://doi.org/10.1016/j.foodchem.2024.139304 (2024).
Yan, Y. F., Zhou, S. X., Song, Z. H. & Li, F. D. Effects of frequency and voltage of high voltage pulsed electric field on improving vigor of aged cotton seed. Trans. Chin. Soc. Agric. Eng. 33, 310–314. https://doi.org/10.11975/j.issn.1002-6819.2017.13.041 (2017).
GB/T 3543.4–1995. Rules for agricultural seed testing-Germination test. China. (1996).
Xu, J., Tan, M., Zhang, C. Q. & Li, F. D. Improving paddy seed vigor by corona discharge field processing and dielectric separation. Trans. Chin. Soc. Agric. Eng. 127, 233–240. https://doi.org/10.3969/j.issn.1002-6819.2013.23.032 (2013).
Zou, Q. Plant physiology experiment guidance. Beijing: China Agric. Press. (2010).
Bewley, J. D., Bradford, K. J., Hilhorst, H. W. M. & Nonogaki, H. Germination. In (eds Guo, H. H. & Peng, Y. G.) J. Y.,Ou X. J. Seeds. Physiology of Development, Germination and Dormancy. (118–157). Beijing: Science. (2017).
Pang, L. et al. Physiological and biochemical characteristics of sweet potato (Ipomoea batatas (L.) Lam) roots treated by a high voltage alternating electric field during cold storage. Postharvest Biol. Technol. 180, 111619. https://doi.org/10.1016/j.postharvbio.2021.111619 (2021).
Xu, W. et al. Biological effects of high-voltage electric field treatment of naked oat seeds. Appl. Sci. 9, 3829. https://doi.org/10.3390/app9183829 (2019).
Zhao, Y. X. et al. Postharvest storage properties and quality kinetic models of cherry tomatoes treated by high-voltage electrostatic fields. LWT-Food Sci. Technol. 176, 114497. https://doi.org/10.1016/j.lwt.2023.114497 (2023).
Dannehl, D. Effects of electricity on plant responses. Sci. hortic-amsterdam. 234, 382–392. https://doi.org/10.1016/j.scienta.2018.02.007 (2018).
Sudsiri, C. J., Jumpa, N., Kongchana, P. & Ritchie, R. J. Stimulation of oil palm (Elaeis guineensis) seed germination by exposure to electromagnetic fields. Scientia Hortic. 220, 66–77. https://doi.org/10.1016/j.scienta.2017.03.036 (2017).
Wang, G. et al. The effect of high-voltage electrostatic field (HVEF) on aged rice (Oryza sativa L.) seeds vigor and lipid peroxidation of seedlings. J. Electrostatics. 67, 759–764. https://doi.org/10.1016/j.elstat.2009.05.004 (2009).
Kao, N. Y., Tu, Y. F., Sridhar, K. & Tsai, P. J. Effect of a high voltage electrostatic field (HVEF) on the shelf-life of fresh-cut broccoli (Brassica oleracea var. italica). LWT-Food Sci. Technol. 116, 108532. https://doi.org/10.1016/j.lwt.2019.108532 (2019).
Jia, G. L., Sha, K., Meng, J. & Liu, H. J. Effect of high voltage electrostatic field treatment on thawing characteristics and post-thawing quality of lightly salted, frozen pork tenderloin. LWT-Food Sci. Technol. 99, 268–275. https://doi.org/10.1016/j.lwt.2018.09.064 (2019).
Priatama, R. A., Pervitasari, A. N., Park, S., Park, S. J. & Lee, Y. K. Current advancements in the molecular mechanism of plasma treatment for seed germination and plant growth. Int. J. Mol. Sci. 23, 4609. https://doi.org/10.3390/ijms23094609 (2022).
Shi, M. F., Fan, J. J., Li, S. J., Yu, X. L. & Liang, X. M. The influence of high voltage electric field for barley seed germination and its mechanism. Appl. Mech. Mater. 675, 1142–1145. https://doi.org/10.4028/www.scientific.net/AMM.675-677.1142 (2014).
Cheng, R. Y. et al. Low voltage electrostatic field treatment of fresh-cut pineapples with slightly acidic electrolytic water: influence on physicochemical changes and membrane stability. Sci. hortic-amsterdam. 308, 111602. https://doi.org/10.1016/j.scienta.2022.111602 (2023).
Miedema, P. The effects of low-temperature on Zea mays. Adv. Agron. 3, 93–128. https://doi.org/10.1016/S0065-2113(08)60322-3 (1982).
Cao, Q. J. et al. Seed priming with melatonin improves the seed germination of waxy maize under chilling stress via promoting the antioxidant system and starch metabolism. Sci. Rep. 9, 15044. https://doi.org/10.1038/s41598-019-51122-y (2019).
Song, H. X. & Li, S. X. Effects of root growing space on maize its absorbing characteristics. Appl. Mech. Mater. 36, 899–904 (2003).
Eveland, A. L. & Jackson, D. P. Sugars, signalling, and plant development. J. Exp. Bot. 63, 3367–3377. https://doi.org/10.1093/jxb/err379 (2012).
Acknowledgements
This work was supported by the National Key Research and Development Program of China (No. 2022YFD2001902, No. 2022YFD2001902-05), the Natural Science Foundation of Shandong Province, China (No. ZR2019MEE065), and the Natural Science Foundation of Shandong Province, China (ZR2023QC074).
Author information
Authors and Affiliations
Contributions
L. Y.: Data curation, Formal analysis, Writing–original draft; L. Y, Y.: Software, Methodology, Formal analysis, Writing–original draft; P. Q.: Conceptualization, Formal analysis, Data curation; S. X.Y.: Software, Visualization; Y. Q.L. : Supervision, Software, Writing–original draft; S. Z.H.: Methodology, Data curation; T. F. Y.: Formal analysis, Data curation; L. M. C.: Software, Visualization; Y. Y. F.: Conceptualization, Project administration, Writing–original draft.All authors reviewed the manuscript.
Corresponding authors
Ethics declarations
Competing interests
The authors declare no competing interests.
Additional information
Publisher’s note
Springer Nature remains neutral with regard to jurisdictional claims in published maps and institutional affiliations.
Electronic supplementary material
Below is the link to the electronic supplementary material.
Rights and permissions
Open Access This article is licensed under a Creative Commons Attribution-NonCommercial-NoDerivatives 4.0 International License, which permits any non-commercial use, sharing, distribution and reproduction in any medium or format, as long as you give appropriate credit to the original author(s) and the source, provide a link to the Creative Commons licence, and indicate if you modified the licensed material. You do not have permission under this licence to share adapted material derived from this article or parts of it. The images or other third party material in this article are included in the article’s Creative Commons licence, unless indicated otherwise in a credit line to the material. If material is not included in the article’s Creative Commons licence and your intended use is not permitted by statutory regulation or exceeds the permitted use, you will need to obtain permission directly from the copyright holder. To view a copy of this licence, visit http://creativecommons.org/licenses/by-nc-nd/4.0/.
About this article
Cite this article
Lu, Y., Li, Y., Peng, Q. et al. Enhancing maize seed resistance to chilling stress through seed germination and surface morphological changes using high voltage electrostatic field. Sci Rep 15, 3972 (2025). https://doi.org/10.1038/s41598-025-88346-0
Received:
Accepted:
Published:
Version of record:
DOI: https://doi.org/10.1038/s41598-025-88346-0











