Fig. 1

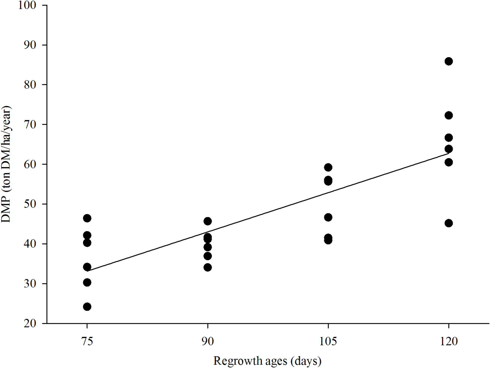
Harvested forage dry mass production of BRS Capiaçu elephant grass, harvested with different regrowth ages (days). y = 0.65774x − 16.18800, R2 = 0.59, (P < 0.0001).

Harvested forage dry mass production of BRS Capiaçu elephant grass, harvested with different regrowth ages (days). y = 0.65774x − 16.18800, R2 = 0.59, (P < 0.0001).