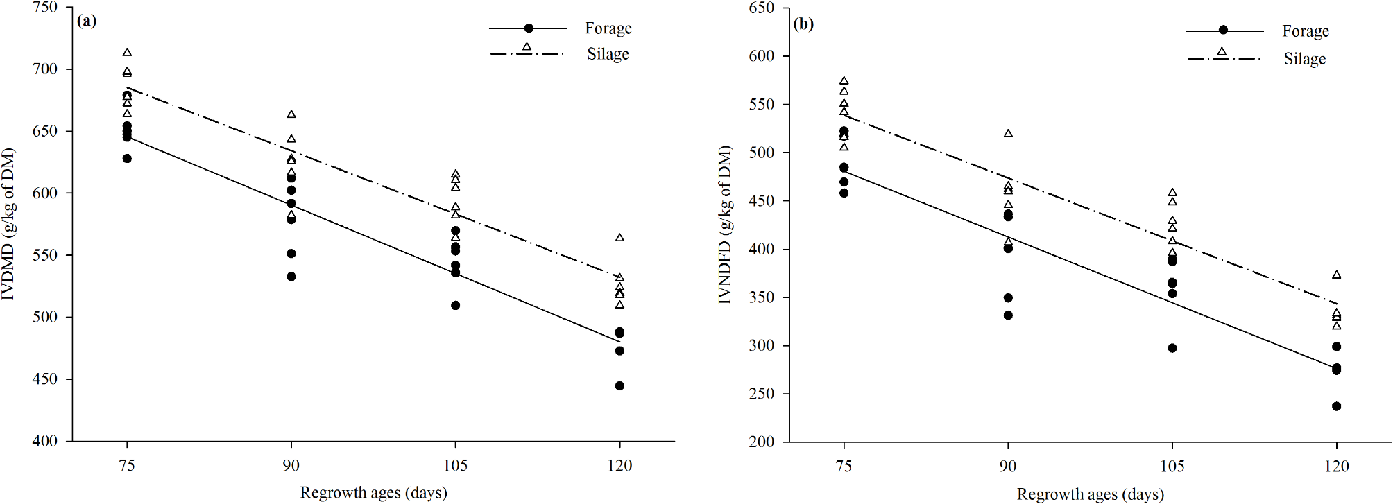
Fig. 3

In vitro DM digestibility (a) and in vitro NDF digestibility (b) from the forage and silage of BRS Capiaçu elephant grass, harvested with different regrowth ages (days). Forage: yIVDMD = -3.67460x + 921.06850, R² = 0.88, (P < 0.0001); yIVNDFD = -4.54444x + 821.56167, R2 = 0.84, (P < 0.0001). Silage: yIVDMD = -3.3979x + 939.95050, R2 = 0.88, (P < 0.0001); yIVNDFD = -4.33897x + 864.09550, R2 = 0.87, (P < 0.0001). Data that were not significant (P > 0.05) are not shown.