Fig. 5
From: Global burden and risk factors of male cancers from 1990 to 2021, with forecasts to 2040

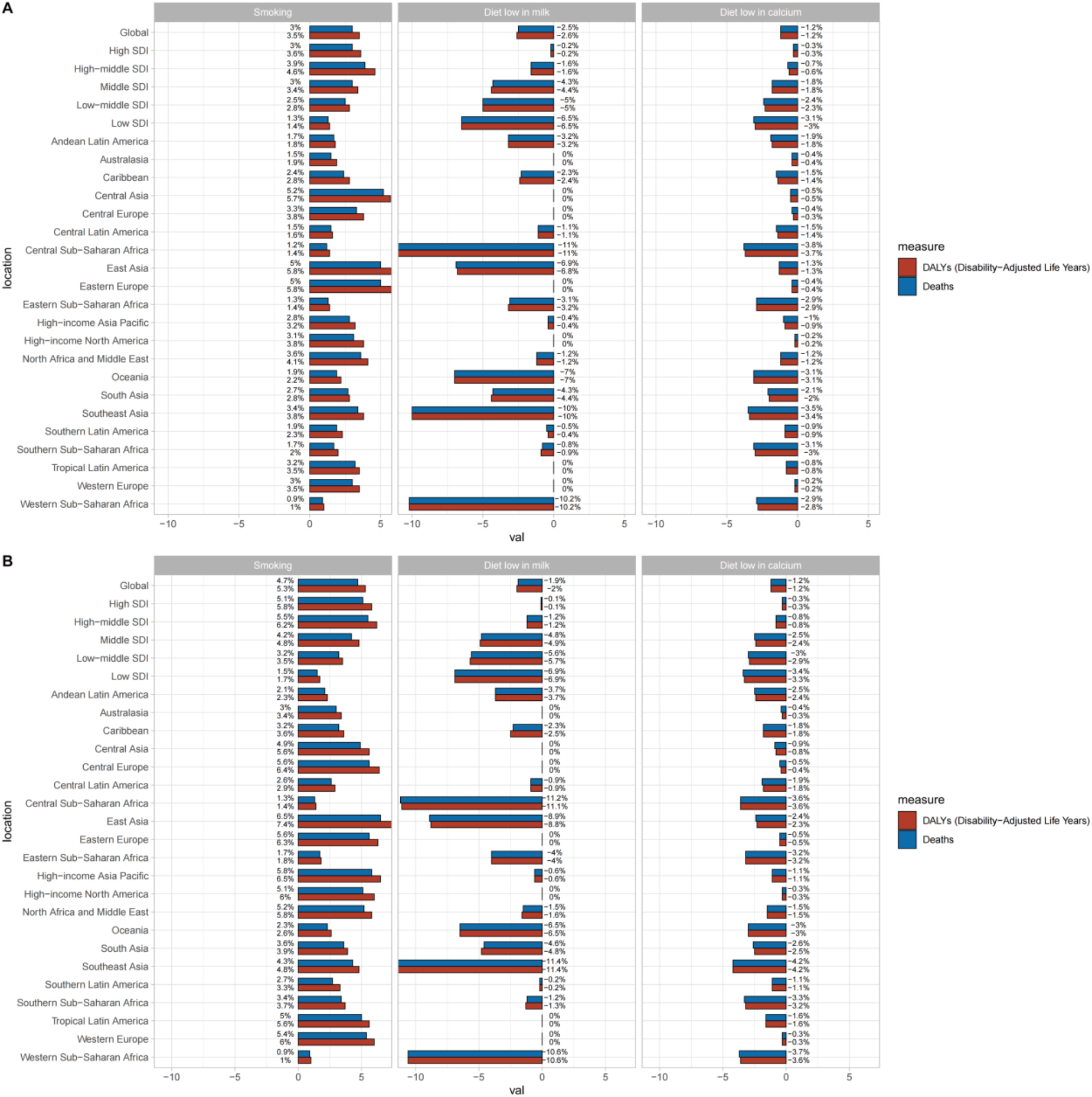
The prostate cancer DALYs and deaths attributable to risk factors compared in 2021 and 1990, globally and by 21 GBD regions. (A) DALYs and deaths attributable to risk factors in 2021; (B) DALYs and deaths attributable to risk factors in 1990. DALYs, Disability-adjusted life years.