Fig. 2

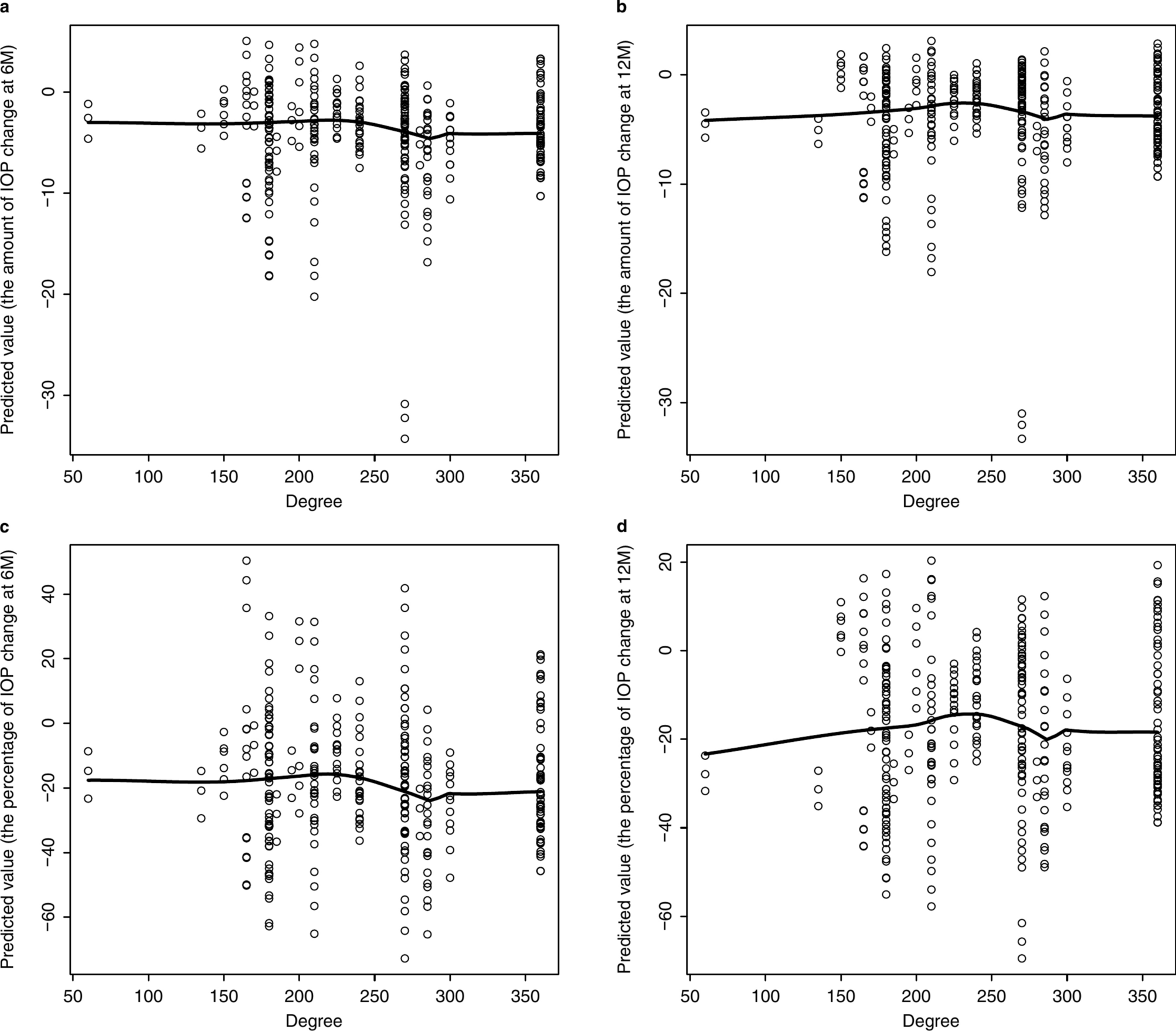
Scatter plots showing the relationship between Schlemm’s canal incision length and IOP changes.The y-axis indicates the model’s predicted IOP change. The predicted values were calculated from a model adjusted for sex, age, glaucoma type, surgical type, and number of antiglaucoma eye drops. The line represents the LOESS (locally weighted smoothing) curve fitted through the points in the scatter plots, illustrating trends between IOP change and incision width: the amount of IOP change at 6 M (a), the amount of IOP change at 12 M (b), the percentage of IOP change at 6 M (c), and the percentage of IOP change at 12 M (d).